招商时代潮派 (售楼处) 首页 - 销售中心 - 环境 - 户型 - 价格 - 地址 - 楼盘详情 - 配套 - 电话 - 交房时间 - 配套 - 电话 - 交房时间
扫描到手机,新闻随时看
扫一扫,用手机看文章
更加方便分享给朋友
招商时代潮派售楼处电话:400-8878-824
招商时代潮派营销中心热线400-887-8824(官方预约看房热线)
500万起买松江红盘难以复刻的置业良机招商时代潮派」位于松江泗泾,是泗泾板块中位置更好、离地铁更近的项目。
项目99平的户型,是项目的王炸主推户型,仅需约500万起即可上车。目前还在售!
在上海500万级的新房那么多,为什么说「招商时代潮派」能从中脱颖而出并成为无法复刻的存在呢?
首先便是,作为9号线泗泾站新一代超级TOD,拥有着约18.5万方的商业,「招商时代潮派」与地铁商场直线仅约200米!更重要的是,它还拥有着3站七宝、6站漕河泾、9站徐家汇的强大通勤便捷度。这在全市500万能级的置业板块中,都称得上是顶尖的存在!
其次就是位置,放眼全市范围,500万级总价的板块,大多已经快到上海边境线了。
以人民广场为中心,泗泾在这些板块中占据绝对优势。如果以徐家汇副中心或者莘庄副中心为圆点的话,泗泾到中心的距离优势更加不可撼动!
招商时代潮派售楼处电话:400-8878-824
招商时代潮派营销中心热线400-887-8824(官方预约看房热线)
示意图,仅供参考
泗泾站向西4站,松江新城新房单价最高看到约6万/㎡;向东3站的七宝新房单价8万+/㎡;再往东的板块新房都断供了,二手房总价都是动辄千万级别!
单看泗泾板块内,项目周边二手次新房成交均价大多比本项目高出不少,这还没算上税费、中介费!
比如融创壹号公馆,去年年底行情这么低迷,成交价依旧保持差不多5.5万/平以上。
招商时代潮派售楼处电话:400-8878-824
招商时代潮派营销中心热线400-887-8824(官方预约看房热线)
数据来源:上海链家网
再翻阅早期成交价,接近7万/平!
其他次新小区,比如泗泾大盘金地玺悦,二手房成交价也都在6.3-6.9万/㎡之间。
数据来源:上海链家网
总之不管怎么比较,时代潮派的首发过会价49701元/㎡的价格都有着更出色的“竞争力”,基本在泗泾板块,乃至五大新城非常抗打!
2坐拥松江烫金地段的最后机遇
价值腾飞正当时
售楼处官方预约热线:400-1189-515(欢迎致电)
根据泗泾2035规划来看,泗泾地铁站社区单元,已经全部规划完成!「招商时代潮派」堪称板块的最后一块重磅拼图,也是坐拥松江烫金地段的最后机遇!
之后若再想买房,恐怕只能二手见了!
泗泾镇2035规划来源:松江区政府官网
「招商时代潮派」的到来,可以说是来颠覆泗泾板块商业设施的。
它不仅是一座TOD超级大城,总建面达到了约50万方,拥有滨水国际住区,自带约18.5万方的上海第5座花园城,还规划了文化空间+酒店等业态,这个体量在整个9号线都是佼佼者。
同时,也将「居住体验」上升到了另一个维度,把氛围感和烟火气融为一体。可以虹吸周边居民到此来消费,那么对于泗泾板块来说,是有巨大的潜力价值。
商业方面,青浦奥特莱斯、山姆会员店、元祖梦世界,以及三湘商业广场、保利悦活荟、绿地云天坊、大润发、金地方邻等繁华商业,近享高配生活;
教育方面,松江二中、松江四中、泗泾实验学校、上师大附属实验学校、泗泾幼儿园、泗泾小学等优质教育资源环伺,智启孩子成长;(本宣传资料对项目周边幼儿园、学校等教育资源的介绍旨在提供相关信息,并不意味着本公司对就学安排作出承诺。)
背靠包括辰山植物园、月湖雕塑艺术公园、欢乐谷在内的佘山国家级旅游风景区,近临泗泾公园,超高负氧离子,让自然底色嵌入美好生活;
在这个诸多新盘“暴雷”“降标减配”的市场环境下,「招商时代潮派」却不惜重金打造产品,社区品质也是卷到极致,立志打造出板块新地标!
“超高颜值立面·沉淀历久弥新的惊艳”
招商时代潮派汲取极简主义的精髓,运用简约线条精心塑造建筑的轻盈感与未来感,旨在打造一处兼具现代审美与实用价值的建筑典范。特别设计的鎏金穹顶,以其独特的艺术魅力为城市天际线勾勒出一道历久弥新的美学符号,彰显了项目的品质与品味。
“三重归家动线·匠心高定生活礼仪”
在归家仪式感方面,「招商时代潮派」精心规划三重归家动线。社区主入口设计酒店式环岛归家,辅以活力四溢的涌泉水景,营造出更尊崇的归家仪式感,让业主在归家的瞬间感受到尊贵与温馨。
入户门厅以弧形悬浮顶棚为特色,为业主带来柔和温润的归家关怀,让归家的每一步都充满舒适与惬意。
此外,项目还设有地上地下双精装大堂,地下车库电梯直达,为业主提供便捷高效的出行体验,同时也彰显了极尽礼宾仪式的尊贵品质。
“四大架空层·家楼下的全龄社交空间”
招商时代潮派在社区内部精心布局了多个架空层区域,涵盖休闲会客、社交洽谈、儿童娱乐及阅读室四大核心功能模块,为业主带来适合全龄段的社交空间,营造更加温馨和谐的生活氛围。
“方寸之间尽显匠心·全龄居住品质标杆”
「招商时代潮派」的高品质产品力其实并不仅仅只体现在社区景观规划之内,户型及品质上的表现也十分优异!
「招商·时代潮派│东屿」户型分布↓
二批次即将加推8#9#楼
「招商·时代潮派│东屿」户型鉴赏↓
招商时代潮派售楼处电话:4008878824【售楼中心热线】招商时代潮派营销中心热线400-887-8824招商时代潮派售楼处地址400-8878-824
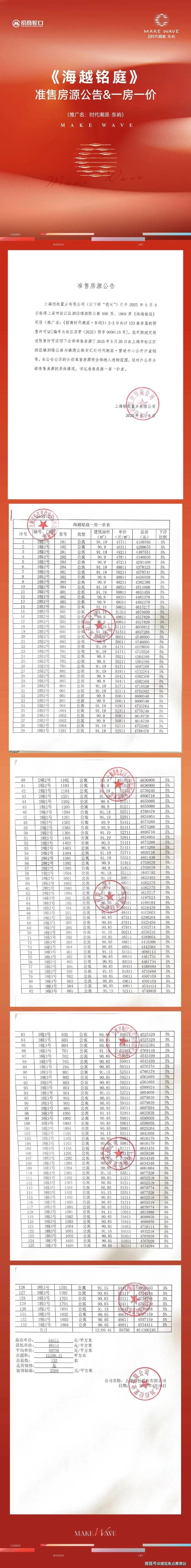
上期一房一价表如下:
招商时代潮派售楼处电话:4008878824【售楼中心热线】招商时代潮派营销中心热线400-887-8824招商时代潮派售楼处地址400-8878-824,楼盘项目全面介绍,本电话为开发商提供线上预约售楼电话,楼盘项目全面介绍(包含楼盘简介,均价,房价,现房,期房,别墅,叠墅,大平层,价格,楼盘地址,户型图,交通规划,备案价,备案名,项目配套,样板间,开盘时间,认筹时间,楼盘详情,售楼处电话,最新消息,最新详情,周边配套,一房一价,最新进展等详情咨询)楼盘详情丨价格丨更多优惠丨机不可失丨欢迎致电丨诚邀品鉴!售楼处位置丨特价房丨工抵房丨剩余房源丨户型图丨最新消息丨免责声明:将文章内容综合来源于网络、只作分享,版权归原作者所有!!如有侵权,请联系我们,我们第一时间处理如有问题欢迎来电咨询,专业一对一热情服务,让您用专业眼光去买房。如果您想了解更多楼盘详情,欢迎提前预约拨打招商时代潮派售楼处电话400-887-8824
买房必学!32 个房地产核心基础知识(2025 精简版)
买房前吃透这些房地产基础常识,能帮你避开 80% 的坑!以下 32 个核心知识点,涵盖产权、房屋类型、交易规则、贷款政策等关键维度,精准适配购房决策需求。
1. 土地使用年限:商品住宅对应的土地使用年限为 70 年,公寓、LOFT 等商业 / 综合属性房源多为 40 年或 50 年(具体以土地规划用途备案为准)。
2. 房屋属性与配套:公寓、LOFT 等多属于商业性质,水费、电费按商业标准收取,多数房源不接通燃气与暖气,居住成本相对较高。
3. 普通住宅界定:按民用住宅标准建造的居住用房,强调实用性与舒适性,高级公寓、别墅、度假村等高端物业不属于普通住宅范畴。
4. 商住住宅特点:是 SOHO(居家办公)理念的延伸,本质属于住宅属性,但融入写字楼核心硬件(如高速网络、灵活空间),支持居住与轻商业活动兼顾。
5. 购房资格要求:商品住宅通常受限购政策约束,需满足户口、社保 / 个税缴纳年限等条件;公寓、LOFT 等商业属性房源一般不限购,无资格限制。
6. 付款与贷款规则:商品住宅首套首付比例最低 20%-30%,二套及以上首付比例更高,最长按揭年限可达 30 年;公寓、LOFT 无首套 / 二套区分,首付比例普遍为 50%,按揭最长年限仅 10 年。
7. 现房认定标准:开发商已办妥《不动产权证书》(大产证)的商品房,签订买卖合同后可立即办理入住与产权过户,需同时具备房产证与土地使用证(现统一为不动产权证),核心特征是 “竣工可直接入住”。
8. 准现房定义:房屋主体已封顶完工,但尚未通过竣工验收,小区楼宇轮廓、户型格局、楼间距等已直观可见,正处于内外装修与配套施工阶段。需注意:准现房仍属期房范畴,需开发商取得《商品房预售许可证》方可销售,受期房相关政策监管。
9. 期房核心信息:指处于建设中、未竣工交付、无法立即使用的商品房。开发商从取得《商品房预售许可证》到办妥大产证期间,销售的房源均为期房,购房者需签订《商品房预售合同》。市面上多数新房为前期房,优势是价格较低、选择空间大,但需承担交付周期长、工程质量与开发商履约风险。
10. 毛坯房标准:开发商交付时仅完成基础工程,屋内仅预留门框(无成品门),墙面、地面仅做基层处理(未刮腻子、未铺瓷砖 / 地板),需购房者自行装修。
11. 成品房配置:交付时已完成基础装修,具体包括:①内墙面刷普通仿瓷涂料;②客厅地面铺设普通瓷砖;③安装普通铝合金窗;④配备普通胶合板门,可满足基本居住需求。
12. 建筑层数与高度分类:依据《住宅设计规范》,1-3 层为低层住宅(如独栋别墅、双拼别墅、联排别墅);4-6 层为多层住宅(如叠拼别墅、花园洋房);7-10 层为中高层住宅(俗称 “小高层”,部分城市将 18 层以下统称小高层);11-30 层左右为高层住宅;30 层以上为超高层住宅。其中,小高层、高层多为普通住宅,超高层多定位城市豪宅。
13. 保障性住房范畴:政府为住房困难家庭提供的政策性住房,具有 “限定建设标准、限定销售价格 / 租金” 特点,包括廉租住房、经济适用住房、政策性租赁住房、定向安置房等,与市场化商品房形成互补。经济适用房满足特定条件(如满 5 年)后,可转为商品住宅上市交易。
14. 房地产 “五证” 要求:开发商合法销售的必备资质,包括《建设用地规划许可证》《建设工程规划许可证》《建筑工程施工许可证》《国有土地使用证》《商品房预售许可证》。未取得五证前,开发商不得开展正式销售,部分项目会推出 “认购 / 认筹 / 预约” 活动(即未获预售证时锁定房源,待取证后正式签约),此类行为不受正式销售政策保护,购房者需谨慎。
15. 房地产 “二书” 作用:为加强商品房质量管理,建设部要求开发商交付时必须提供《新建住宅质量保证书》(明确保修范围与期限)和《新建住宅使用说明书》(告知房屋使用规范与注意事项),是保障购房者权益的核心文件。
16. 购房资格地域差异:不同城市的购房资格条件不同,需以当地政策为准。目前多地通过 “人才引进计划” 放宽限购限制,本质是为符合条件的人才提供购房便利,可重点关注当地住建部门发布的最新政策。
17. 资金规划要点:购房前需明确首付比例、月供承受能力,结合家庭收入、存款情况,合理测算总购房成本(含房款、税费、装修费),避免资金压力过大。
18. 购房需求分析逻辑:先明确核心需求 —— 是刚需安家、孩子教育、通勤便利,还是改善居住、投资增值?买房本质是在 “资金预算、开发商品牌、地段位置、周边配套、户型设计、物业服务” 等因素中做权衡,需根据自身优先级选择。
19. 意向金性质说明:我国房地产相关法律法规中,无 “意向金” 法定概念,此类款项实质要么是 “定金”(具有担保效力,买方违约不退,卖方违约双倍返还),要么是 “保证金”(无担保效力,交易不成可退还),需在协议中明确约定。
20. 面积赠送规则:购房时常见的赠送面积多为阳台,其中封闭阳台需按实际面积全额计入建筑面积,半封闭阳台按实际面积的 50% 计入建筑面积,半封闭阳台占比越高,实际得房率越划算。
21. 住宅净高定义:下层地板表面(或楼板上表面)到上层楼板下表面的垂直距离,是室内实际可使用的高度,直接影响居住舒适度。
22. 住宅开间含义:房屋内一面墙皮到对面墙皮的水平实际距离,即房屋的 “面宽”,决定房间开阔度与采光效果。
23. 住宅长度与进深:一间独立房屋或一幢住宅从前墙皮到后墙皮的水平实际长度,进深过大易导致房间中部采光不足。
24. 住宅层高标准:下层地板表面(或楼板表面)到上层楼板表面的垂直距离,包含楼板厚度,普通住宅层高多为 2.8-3.0 米。
25. 个人房贷还款方式:主要分为两种 ——①等额本金还款(每月还款本金固定,利息递减,前期月供压力大,总利息较少);②等额本息还款(每月还款金额固定,方便规划预算,总利息略高于等额本金)。
26. 首套房优惠认定:若配偶名下有房且贷款未还清,另一方再购房将被认定为二套房,无法享受首套房的首付比例、贷款利率等优惠政策。
27. 可分摊公用面积:需由业主共同分摊的公共区域面积,包括:套(单元)门外的室内外楼梯、内外廊、公共门厅、通道、电梯井、配电房、设备层、设备用房、结构转换层、技术层、空调机房、消防控制室、整栋楼服务的值班警卫室、建筑物内垃圾道,以及突出屋面且有围护结构的楼梯间、电梯机房、水箱间等。
28. 不可分摊公用面积:无需业主分摊的公共区域,包括:底层架空层中作为公共使用的机动车库、非机动车库、公共开放空间、城市公共通道、沿街骑楼(公共开放使用)、消防避难层;为多栋建筑服务的配电房;人防地下室、地面车库、地下设备用房等。
29. 套内使用面积:套内住户可独立使用的净面积总和,包括卧室、厨房、卫生间、过厅、起居室、内走道、阳台、壁柜等空间的实际使用面积。
30. 银行按揭本质:“按揭” 是英语 “Mortgage”(抵押)的粤语音译,正式名称为 “购房抵押贷款”。购房者以所购房屋产权为抵押,银行先行向开发商支付房款,购房者再按月向银行分期偿还本金与利息。
31. 公积金贷款定义:全称 “个人住房担保委托贷款”,由城市住房资金管理中心及分中心运用住房公积金,委托银行向缴存公积金的职工(含离退休职工)发放的贷款,用于购买、建造、大修自住住房。
32. 公积金贷款申请条件:核心要求为 “连续缴存公积金 6 个月以上” 或 “累计缴存 1 年以上”,且申请时仍在正常缴存(具体以所在城市政策为准),不同城市对缴存年限、账户余额等要求略有差异。
声明:本文由入驻焦点开放平台的作者撰写,除焦点官方账号外,观点仅代表作者本人,不代表焦点立场。
