龙湖·御湖境售楼处电话☎:400-998-9694龙湖·御湖境售楼处电话400-998-9694,位于奉贤新城,均价4.55万/㎡,总价430万起,热销揽金,获8月上海成交三冠王。
龙湖·御湖境
售楼处电话☎:400-998-9694
如有问题欢迎来电咨询,来电即可享受买房优惠!
预约来电尊享购房优惠,可预约案场内部销售人员,专业一对一热情服务,让您用专业眼光去买房。
龙湖·御湖境售楼处电话☎:400-998-9694
龙湖·御湖境售楼处电话☎:400-998-9694
奉贤新城 上海之鱼旁
建面约107-175㎡高层/洋房
均价4.55万/㎡ 总价430万起
1500方海派会馆+低密滨湖墅境
龙湖·御湖境售楼处电话☎:400-998-9694
龙湖·御湖境售楼处电话☎:400-998-9694

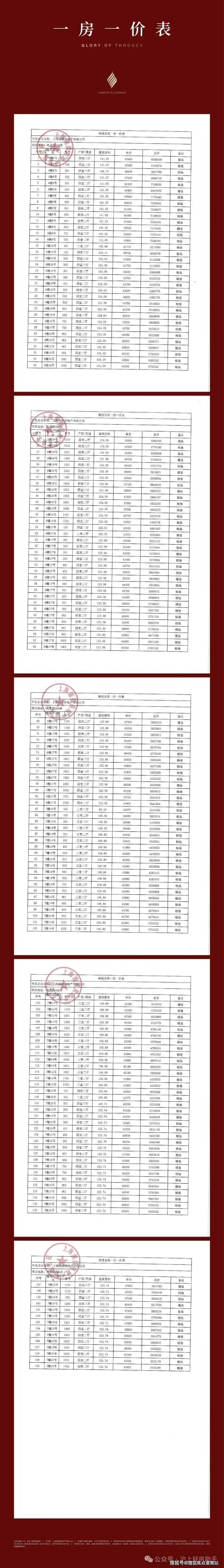
项目一房一价表:


龙湖·御湖境售楼处电话☎:400-998-9694
近日,奉贤现象级红盘——龙湖·御湖境再次引发市场关注!
龙湖·御湖境售楼处电话☎:400-998-9694
两开两捷,轰动奉贤楼市!首开十亿登顶奉贤,二开热销5亿续写热销传奇,造就 8月上海全市成交套数TOP3,8月外环外成交套数TOP1,荣居五大新城销量TOP1,持续霸榜奉贤成交套数面积金额三冠王,万众瞩目的沪上红盘!这印证了龙湖御湖境强大市场号召力及硬核产品力。

龙湖·御湖境售楼处电话☎:400-998-9694
这般奇绩,源于龙湖超级的产品力+超前的兑现力,也是征服塔尖的本质与价值。
项目基本信息
项目名称:龙湖·御湖境
项目位置:奉贤新城
总套数:364户
产品:小高层&洋房
户型:建面约107㎡、123㎡、140㎡、175㎡
得房率:78%-82%
交付标准:精装&毛坯
均价:45200元/㎡
售价:430万起
梯户比:一梯两户
容积率:2.2
绿化率:35%
车位配比:1:1.3
龙湖·御湖境售楼处电话☎:400-998-9694
开发公司:龙湖集团&建华地产
交付日期:2026年12月
01.产品规划
龙湖·御湖境售楼处电话☎:400-998-9694
御湖境,地处奉贤芯绝版宅地,占据南奉公路+金海公路黄金十字中轴,距奉贤天街直线仅约 300 米,地铁 5 号线奉贤新城站、奉贤中学、奉贤中心医院等高能级配套如众星捧月环绕。该项目占地23460㎡,总建面51611.16㎡,容积率2.2,绿化率30%,规划330户品质住宅。

龙湖·御湖境售楼处电话☎:400-998-9694
02.建筑设计
奉贤御湖境以“馆藏”为概念,重写顶级豪宅会所的表达规则。长约54米、高约8米的「殿堂级门扉」,两侧铺陈“奢石之王”蓝翡翠,磅礴气场扑面而来。举首仰望,约300㎡璀璨星空顶模拟出浩瀚银河的深邃意境。正面是由1286块浅米色瓷筒融合在地非遗“锔瓷”技艺打造的艺术瓷墙。

龙湖·御湖境售楼处电话☎:400-998-9694
来到致敬金贝尔美术馆打造的「天穹光廊」,地面由蓝翡翠+汉白玉+温德姆灰3种奢石精细切割拼花而成,长廊尽头景墙精选龙纹绿奢石,中轴对称的庄严格局,仿佛漫步博物馆。

龙湖·御湖境售楼处电话☎:400-998-9694
现代极简建筑,米白石材与深灰金属线条相得益彰,窗墙比0.45,部分楼栋更享270°全景视野,颜值与视野双重享受。


龙湖·御湖境售楼处电话☎:400-998-9694
项目对标顶奢酒店礼序,项目前瞻性地打造「奉贤首座中央车站」,将社区地库与地下会所的接待序厅无缝衔接,车行道+人行道区隔设计,归家不受风雨影响,指尖轻抚源自非洲的卡里冰玉奢石,将每日必经之路升华为沉浸式美学体验。

深藏于建筑怀抱之中的下沉式「琉璃光院」,是历经数十版方案淬炼出的灵魂之作。御湖境标志性汉白玉玄月族徽,与高10米的蓝水晶奢石光幕,共同演绎“日月同辉”的震撼场景。庭院深处50年乌桕树王矗立。

龙湖·御湖境售楼处电话☎:400-998-9694
一汪深邃的「宇宙之心」漩涡水景,灵感源自梵蒂冈博物馆举世闻名的双螺旋楼梯,模仿宇宙星系流转的宏大景象,纳藏天地万物生生不息的力量。

03.会所设计
龙湖·御湖境售楼处电话☎:400-998-9694 御湖境斥巨资打造约1500㎡「海派泳池会馆」——泳池会所,涵盖健身、瑜伽、社交、阅读等八大功能空间,如同一座生活的博物馆,为奉贤顶层人物提供全方位奢享!

龙湖·御湖境售楼处电话☎:400-998-9694

龙湖·御湖境售楼处电话☎:400-998-9694

「奉贤首个无边际恒温泳池」是整个会所的灵魂所在。
泳池设计以“水韵织构”为核心理念,其视觉焦点在于穹顶,连续流畅的曲面拱顶如同被风吹皱的巨大水幕,又似凝固的海浪,与下方波光粼粼的泳池水面形成上下呼应的绝妙韵律,无边泳池又与琉璃光院在视觉上无缝衔接,在乌桕树的冠盖浓荫下恣意游弋,营造出泳池与天地共呼吸的震撼体验。

龙湖·御湖境售楼处电话☎:400-998-9694
移步森氧无界全景健身房,顶级健身器械一应俱全。在负氧离子机创造的富氧森林般环境中挥汗如雨,欣赏着全落地窗外琉璃光院的如画景致,身心与视野同频升华,疲惫瞬间消解。

龙湖·御湖境售楼处电话☎:400-998-9694
午后时分,邀二三挚友落座行政酒廊。暖阳斜照,在优雅的环境中洽谈要事,或细细品味一杯手冲瑰夏咖啡的精致花果香,或小酌珍藏年份的单一麦芽威士忌,琥珀色的酒液在杯中折射岁月的光芒。

龙湖·御湖境售楼处电话☎:400-998-9694
项目推售详情
据悉,【龙湖·御湖境】规划2栋7层洋房、5栋14 - 17层小高层 ,共348户 ,居住密度低,舒适度直线拉满。现推出107-123-140-175四种户型,共150套房源,均价54200元/㎡,正在认购中,总价430万起!

龙湖·御湖境售楼处电话☎:400-998-9694
全套户型图如下:

龙湖·御湖境售楼处电话☎:400-998-9694
龙湖御湖境,精装107㎡大三房,呈现跃级享受的奢华场景,打造PLUS超奢尺度,如约10.8米跃级南向采光,阔享市面120㎡户型的尺度感;约4.75m真横厅,从容聚会、开派对,大有排面,尽情摆阔。越是跃级,越是难求,精装107㎡大三房,只此最后一栋,限量34席!

龙湖·御湖境售楼处电话☎:400-998-9694
约 123 ㎡全能四房 , 致献奉贤塔尖,以全能大四房的形态,重新定义实用主义天花板,约 45m ² LDKG 客餐厨全打通,约 6.4m 巨幕面宽,一键切换轰趴、闺蜜局、生日宴等模式。奢配博世厨电 4 件套,烟机、灶具、洗碗机、蒸烤一体机,百年德系经典,经久耐用,妥妥的满分爆款!
龙湖·御湖境售楼处电话☎:400-998-9694

龙湖·御湖境售楼处电话☎:400-998-9694


龙湖·御湖境售楼处电话☎:400-998-9694


龙湖·御湖境售楼处电话☎:400-998-9694

龙湖·御湖境售楼处电话☎:400-998-9694


龙湖·御湖境售楼处电话☎:400-998-9694



约 140 ㎡超配四房洋房,奢阔双厅南北通透,还可改造成约8m巨幕宽厅,
一线进口的博士厨电四件套,约 2 5 ㎡的臻奢套房主卧等高光标签,洋房更臻稀。
龙湖·御湖境售楼处电话☎:400-998-9694

龙湖·御湖境售楼处电话☎:400-998-9694


龙湖·御湖境售楼处电话☎:400-998-9694

龙湖·御湖境售楼处电话☎:400-998-9694

龙湖·御湖境售楼处电话☎:400-998-9694




龙湖·御湖境售楼处电话☎:400-998-9694

龙湖·御湖境售楼处电话☎:400-998-9694


龙湖·御湖境售楼处电话☎:400-998-9694
城芯 传世孤品175㎡ 大平层,整个奉贤新城 20-25 年供应 4 551 套新房, 1 50 ㎡以上仅 1 50 套,供应占比不足 3% 的,每一席皆稀贵。其一宅一格局,为奉贤大人物量身定制,可谓真正的传世孤品。
龙湖·御湖境售楼处电话☎:400-998-9694
项目区位配套
交通方面:主出入口与轨交奉贤新城站1号口仅300米步行距离,真正实现“出家门即入站台”的地铁房标准。这里是上海首个三轨交汇的新城片区,分别是5号线、15号线延伸段、南枫线,未来30分钟可直达莘庄、前滩等城市副中心,45分钟贯通虹桥枢纽。

龙湖·御湖境售楼处电话☎:400-998-9694
商业方面:项目东西两侧分别与龙湖天街、新世界休闲生活广场无缝衔接,形成“商业双核驱动”格局。其中龙湖天街作为区域旗舰商业体,已引入超200家品牌,从高端餐饮到亲子教育一应俱全。这种“下楼即繁华”的配置,即便放在中环内也属稀缺资源。
龙湖·御湖境售楼处电话☎:400-998-9694
教育方面:背靠奉贤顶级学府奉贤中学,奉贤中学附属初中、奉贤中学附属小学、金海幼儿园,幼小初高教育资源环侧

龙湖·御湖境售楼处电话☎:400-998-9694
医疗配套:奉贤中心医院、奉贤中医医院、上海交通大学医学院附属新华医院(即将开业)、国际妇幼和平保健院奉贤分院等

1、什么是房产:房屋产权的简称。
2、什么是地产:是指土地财产。
3、什么是房地产:是房产和地产的总称。
4、什么是房地产业:从事房地产开发、建设、经营、管理以及维修、装饰和服务的综合性产业。
5、什么是房地产开发:是指在依法取得土地使用权的土地上按照使用性质的要求进行基础设施、房屋建筑的活动。
6、什么是土地开发:是将“生地”开发成可供使用的土地。
7、集体土地是指:农村集体所有的土地。
8、征用土地是指:国家为了公共利益的需要,可依照法律规定对集体所有的土地实行征用。
9、什么是土地所有权:是指国家或集体经济组织对国家土地和集体土地依法享有的占有、使用、收益和处分的权能。
10、什么是土地使用权的出让:指国家以协议、招标、拍卖的方式将土地所有权在一定年限内出让给土地使用者,由使用者向国家支付土地使用权出让金的行为。
11、什么是土地使用权转让:是指土地使用者通过出售、交换、赠与和继承的方式将土地使用权再转移的行为。
12、什么是地籍、产籍:是对在房地产调查登记过程产生的各种图表、证件等登记资料,经过整理、加工、分类而形成的图、档、卡、册等资料的总称。
13、生地是指:不具备开发条件的土地。
14、熟地是指:已完成三通一平(水、电、道路,土地平整)或七通一平,具备开发条件的土地。
15、什么是宗地:是地籍的最小单元,是指以权属界线组成的封闭地块。
16、什么是宗地图:是土地使用合同书附图及房地产登记卡附图。它反映一宗地的基本情况。包括:宗地权属界线、界址点位置、宗地内建筑位置与性质、与相邻宗地的关系等。
17、证书附图是指:房地产后面的附图,主要反映房地产情况及房地产所在宗地情况。
18、什么是物业管理:泛指一切有关房地产开发、经营、商品房销售、租赁及售后服务。
19、什么是业主委员会:是在物业管理区域内代表全体业主实施自治管理的组织。是代表
物业全体业主合法权益的社会团体,其合法权益受国家法律保护。
20、业主委员会是如何产生的:由业主大会从全体业主中选举产生。
21、住房补贴是指:国家为职工解决住房问题而给予的补贴资助。
22、房屋的所有权是指:对房屋全面支配的权利。
23、房地产交易的两种主要形式是:地产交易形式与房产交易形式。
24、建筑物是指:人工建造而成的房屋和构筑物。
25、构筑物是指:建筑物中除房屋以外的东西。
26、什么是期房:是指消费者在购买时不具备即买即可入住的商品房。
27、期房是如何介定的:房地产开发商拿到商品房预售许可证开始至取得房地产权证大产证或竣工验收合格可以直接入住使用)为止。
28、什么是预售合同:消费者在购买期房时签定的销售合同。
29、什么是现房:是指消费者在购买时具备即买即可入住的商品房,即开发商已办妥所售的商品房的大产证(或已经竣工验收合格并交付使用)的商品房。
30、什么是毛坯房:房地产商交付屋内只有门框没有门,墙面地面仅做基础处理而未做表面处理的房叫毛坯房。
31、什么是成品房:是指对墙面、天花、门套、地板实行装修。
32、什么是商品房:是指以完全的市场价格向购房者出售的房子。
33、商品房预售是指:在房地产尚未建成以前,房地产的经销商在取得受买人一定数量的定金后,将期房出售给受买人。
34、商品房现售是指:指房地产开发企业将竣工验收合格的商品房出售给买受人。
35、二手房通常指的是:再次进行买卖交易的住房。
36、经济适用房指的是:面向中低收入家庭的普通住宅。
37、例出3种以上的安居房的种类:准成本房、全成本房、全成本微利房和社会微利房。
38、低层住宅的介定:1-3层的住宅。
39、多层住宅的介定:4-6层的住宅。
40、小高层住宅的介定:7-11层的住宅。
41、中高层住宅的介定:12-16层的住宅。
42、高层住宅的介定:16层以上为高层住宅。
43、超高层建筑的介定:总高度超过100米的建筑。
44、商品房的结构是指:房屋主体所使用的施工工艺和用材。
45、钢结构的意思是:承重的主要结构是用钢材料建造的,包括悬索结构。
46、钢混结构的意思是:承重的主要结构是用钢和混凝上建造的。
47、砖木结构的意思是:承重的主要结构是用砖、木材建造的。
48、砖混结构的意思是:主要是砖墙承重,部分是钢盘混凝土承重的结构。
49、框架结构的意思是:以钢筋混凝土浇捣成承重梁柱,再用预制的隔墙分户的结构。
50、开间指的是:一间房屋内一面墙的定位轴线到另一面墙的定位轴线之间的实际距离。
龙湖·御湖境
售楼处电话☎:400-998-9694
如有问题欢迎来电咨询,来电即可享受买房优惠!
预约来电尊享购房优惠,可预约案场内部销售人员,专业一对一热情服务,让您用专业眼光去买房。
龙湖·御湖境售楼处电话☎:400-998-9694
楼盘项目全面介绍,本电话为开发商提供线上预约售楼电话,楼盘项目全面介绍(包含楼盘简介,均价,房价,现房,期房,别墅,叠墅,大平层,价格,楼盘地址,户型图,交通规划,备案价,备案名,项目配套,样板间,开盘时间,认筹时间,楼盘详情,售楼处电话,最新消息,最新详情,周边配套,一房一价,最新进展等详情咨询)楼盘详情丨价格丨更多优惠丨机不可失丨欢迎致电丨诚邀品鉴!售楼处位置丨特价房丨工抵房丨剩余房源丨户型图丨最新消息丨免责声明:将文章内容综合来源于网络、只作分享,版权归原作者所有!!如有侵权,请联系我们,我们第一时间处理如有问题欢迎来电咨询,专业一对一热情服务,让您用专业眼光去买房。如果您想了解更多楼盘详情,欢迎提前预约拨打