上海浦东金桥碧云澧悦售楼处电话☎:400-8558-224【预约☎】金桥碧云澧悦售楼处电话400-8558-224预约,金桥股份打造低密小高层阔奢社区,面积99-165平方米,预计5.6万/平,精装修交付。上海浦东金桥碧云澧悦售楼处电话400-8558-224预约。
金桥碧云澧悦
售楼处电话☎:400-8558-224【预约☎】
上海浦东 金桥碧云澧悦售楼处电话☎:400-8558-224【预约☎】
温馨提示:提前预约来电看房尊享售楼处内部优惠折扣!
如有问题可来电咨询,线上售楼中心,预约销售专员,一对一为您服务!
免责声明:将文章内容综合来源于网络、只作分享,版权归原作者所有!!如有侵权,请联系我们,我们第一时间处理!
「金桥碧云澧悦」
浦东周康板块全新盘
建面约93-165㎡3-4房户型
均价5.6万/㎡ 精装修交付
国企匠心·双轨臻品住宅

上海浦东 金桥碧云澧悦售楼处电话☎:400-8558-224【预约☎】
项目基本信息
开发商:上海金桥集团
产品类型:住宅70年
占地面积:约5.6万方
总建面:约15.5万方(地上约10.6万方,地下约4.9万方)
均价:5.6万
总价:430-965万
在售面积:99(12套1-2楼)、165平(35套)135+139(共计26套中、低楼层)
总户数:843户
楼栋数:15栋
物业类型:高层
总高:14层
层高:99、135、139平高3.05米/165平层高3.15米
容积率:1.8
拿地时间:2022年
得房率:99平约76%、135-139约81%、165平约83%
绿化率:35%
物业公司:金桥物业
物业费:5.6元/月*㎡
占地面积:约5.6万方
装修状况:99平精装/135、139、165平毛坯
车位:1202个
车位比:1:1.3
上海浦东 金桥碧云澧悦售楼处电话☎:400-8558-224【预约☎】

上海浦东 金桥碧云澧悦售楼处电话☎:400-8558-224【预约☎】
低密小高层阔奢公园社区产品
【碧云澧悦】由由金桥股份打造,总占地面积约5.6万平方米,容积率1.8,总建筑面积15.5万平方米,其中地上建筑面积10.6万平方米,地下建筑面积为4.9万平方米。

上海浦东 金桥碧云澧悦售楼处电话☎:400-8558-224【预约☎】
上海金桥出口加工区开发股份有限公司(以下简称“ 金桥股份 ”)成立于 1992 年11月,注册资本 11.22 亿元,1993年3月,公司在上海证券交易所 A 股市场上市(浦东金桥,600639);同年5月,在B股市场挂牌(金桥 B股,900911)。上市30 多年来,公司抓佳浦东开发开放契机,依托上市公司的品牌优势、资金优势,积极承担上海金桥自由贸易试验区范国内的开发建设、招商引资、产业发展和载体运营管理着力打造产城融合的示范园区。2015 年6月,按照浦东新区国资国企改革要求,金桥股份作为首批改革试点企业之一,成为浦东新区直属企业。

上海浦东 金桥碧云澧悦售楼处电话☎:400-8558-224【预约☎】
展望末来,金桥股份将按照 “新兴城区开发运营商”的总体定位,深耕金桥、走向市场,不断巩固和提升国有上市公司的地位和作用,将金桥开发区建设成为宜居宜业的现代化城区。

上海浦东 金桥碧云澧悦售楼处电话☎:400-8558-224【预约☎】
【碧云澧悦】项目打造了清一色的总高11-14层的高层社区,容积率仅1.8,拥有疏阔楼间距,与市面上高层新房普遍容积率2.2-2.5相比,更大程度上拉开了楼间距,优化视野和采光,居住体验更加舒适!
示意图,仅供参考

上海浦东 金桥碧云澧悦售楼处电话☎:400-8558-224【预约☎】社区大门 完全区分人行、车行入口,人行入口采用石材与玻璃搭配设计,大气恢弘!门厅景观水院精致高级,入户仪式感满满!

上海浦东 金桥碧云澧悦售楼处电话☎:400-8558-224【预约☎】

示意图,仅供参考

上海浦东 金桥碧云澧悦售楼处电话☎:400-8558-224【预约☎】
车行入口也设计了保安门岗,业主驾车入库安全有保障!车库地下入户大堂也是设计感十足!

上海浦东 金桥碧云澧悦售楼处电话☎:400-8558-224【预约☎】
示意图,仅供参考

上海浦东 金桥碧云澧悦售楼处电话☎:400-8558-224【预约☎】
项目精心规划 “一环一轴三园”,于建筑中另辟一方天地,以绿意包裹整个小区,打造绿氧环绕的公园住区。漫步在花园小径,呼吸新鲜氧负离子,在自然中享受阳光微醺和清新绿意,在生机盎然中安享静谧。


上海浦东 金桥碧云澧悦售楼处电话☎:400-8558-224【预约☎】
用极简主义描摹生活美学概念打造项目外观,在上世纪的德国建筑大师密斯·凡德罗,“Less is more.”的极简主义审美驱动下,项目规划以简约流线型线条为主脉络,框体结构搭配层叠横向线条,辅以庄重典雅的淡色玻璃,从而营造隐而不喧的优雅色彩,简约的设计更能呈现丰富的内涵,细节的掌控凸显匠心的品质。


上海浦东 金桥碧云澧悦售楼处电话☎:400-8558-224【预约☎】

上海浦东 金桥碧云澧悦售楼处电话☎:400-8558-224【预约☎】
奢阔空间绘就品质人居:公园住区,因低密而愈加纯粹,项目以1.8的低容积率,塑造低密人居空间的舒适尺度,疏阔的楼间距,邀阳光与风景入席,避免楼宇间贴合感,推窗即风景,给予生活更多留白。



上海浦东 金桥碧云澧悦售楼处电话☎:400-8558-224【预约☎】
产品方面,项目规划建面约93-165㎡四种主力户型,家族的生活奢想在此皆有可能。 项目二期加推394套房源!
约93㎡ 3房2厅2卫▼

上海浦东 金桥碧云澧悦售楼处电话☎:400-8558-224【预约☎】
U形厨房设计,动线合理,煎炒烹炸空间充足。
客、餐厅联通绰约尺度阳台,促进家人间沟通交流。
主卧套房设计,隐私性较好, 飘窗设计更有效延申室内空间,也可以作为休闲区域使用, 收纳空间设计的也比较充足,切实考虑年轻人买买买的购物习惯。
双次卧均设计了衣帽收纳空间, 居住舒适度较高。
270度转角阳台更是设计了 洗衣空间,非常实用!
约99㎡ 3房2厅2卫▼

上海浦东 金桥碧云澧悦售楼处电话☎:400-8558-224【预约☎】
入户玄关设计有效隔离室内外空间,增添归家仪式感,玄关处还设计了收纳空间,细节满满!
次卫三段式分离设计, 干湿分离的同时还能有效避免使用冲突,可见开发商的匠心考虑。
动静分区设计; 主卧套房设计隐私性更强;在 玄关、厨房、卫浴等功能区域,充分考量生活场景细节,随时随地满足收纳所需, 细节满分!上海浦东 金桥碧云澧悦售楼处电话☎:400-8558-224【预约☎】
约135㎡ 3房2厅2卫▼

上海浦东 金桥碧云澧悦售楼处电话☎:400-8558-224【预约☎】
此户型可以说是改善人群非常喜欢的户型,建面约135㎡3房2厅2卫设计,动静分区,四开间朝南,各空间尺度奢阔,还有一个超大面宽的景观阳台,实现功能性和舒适度兼得。
约165㎡ 4+1房2厅2卫▼

上海浦东 金桥碧云澧悦售楼处电话☎:400-8558-224【预约☎】
装修标准参考:
外立面:真石漆+少量铝板+格栅+金属包边+楼顶光伏板、没有连廊
阳台门窗:三玻两腔、未封阳台
三大件:中央空调、地暖、没有 新风
客厅:岩板背景墙
入户:玄关柜
厨房:西门子(抽烟烟机 燃气灶 烤箱)、吊柜、底柜、操作台
卫生间:台盆柜、镜面柜、杜拉维特马桶、汉斯格雅花洒(具体交付标准以预售合同为准)
样板实景图▼上海浦东 金桥碧云澧悦售楼处电话☎:400-8558-224【预约☎】


上海浦东 金桥碧云澧悦售楼处电话☎:400-8558-224【预约☎】

上海浦东 金桥碧云澧悦售楼处电话☎:400-8558-224【预约☎】


上海浦东 金桥碧云澧悦售楼处电话☎:400-8558-224【预约☎】

上海浦东 金桥碧云澧悦售楼处电话☎:400-8558-224【预约☎】
项目区位配套
【碧云澧悦】项目位于浦东周浦镇,在《上海市浦东新区国土空间总体规划(2017-2035)》中,再次重点强调了周浦的定位:至2035年,发展成为凝聚科创力量,充满人文气息的“魅力小上海”,依托张江科学城,形成以医疗服务、电子商务和时尚创意为主导产业,宜居宜业的综合型城镇。


【交通配套方面】:距离16号线周浦东站约1.8公里、18号线繁荣路站约2.6公里。

【商业配套方面】:3km范围内有万达广场,小上海步行街,绿地缤纷广场,印象生活广场等商业中心。

【教育资源方面】:澧溪幼儿园、傅雷幼儿园、澧溪小学、周浦第二小学、周浦实验学校、澧溪中学、傅雷中学、进才繁荣实验中学等教育配套。(项目周边的幼儿园、小学、中学等教育设施(如有)是城市公共生活配套的重要组成部分。本项目销售过程中,部分展示与介绍可能涉及项目周边已有或规划中教育设施,但并非项目所在的学区,本项目不承诺任何学区,介绍此信息旨在帮助客户更全面的了解项目周边条件,并不代表我公司对此提供保证。)

【医疗资源方面】:浦东新区周浦医院,周浦社区医院,国龙医院,上海中医药大学附属龙华医院(在建)。

【休闲娱乐方面】:周浦文化公园,周浦体育中心已经运营,憩园,周浦花海,浦江郊野公园。


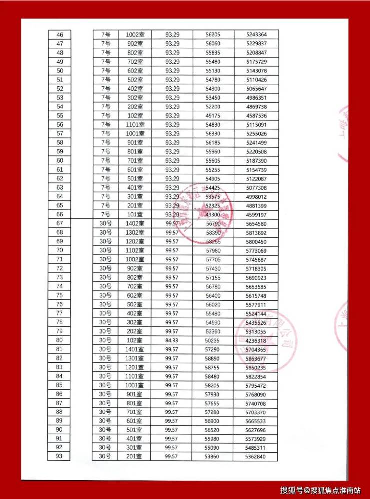
项目一房一价表▼






上海浦东 金桥碧云澧悦售楼处电话☎:400-8558-224【预约☎】

上海浦东 金桥碧云澧悦售楼处电话☎:400-8558-224【预约☎】

上海浦东 金桥碧云澧悦售楼处电话☎:400-8558-224【预约☎】

上海浦东 金桥碧云澧悦售楼处电话☎:400-8558-224【预约☎】

上海浦东 金桥碧云澧悦售楼处电话☎:400-8558-224【预约☎】

上海浦东金桥碧云澧悦售楼处电话☎:400-8558-224【预约☎】上海浦东金桥碧云澧悦售楼处电话☎:400-8558-224【预约☎】上海浦东金桥碧云澧悦售楼处电话☎:400-8558-224【预约☎】【售楼处电话☎】4008558224✔✔【营销中心电话】400-8558-224✔✔【售楼处位置】400-8558-224✔✔,楼盘项目全面介绍,本电话为开发商提供线上预约售楼电话,楼盘项目全面介绍(包含楼盘简介,均价,房价,现房,期房,别墅,叠墅,大平层,价格,楼盘地址,户型图,交通规划,备案价,备案名,项目配套,样板间,开盘时间,认筹时间,楼盘详情,售楼处电话,最新消息,最新详情,周边配套,一房一价,最新进展等详情咨询)楼盘详情丨价格丨更多优惠丨机不可失丨欢迎致电丨诚邀品鉴!售楼处位置丨特价房丨工抵房丨剩余房源丨户型图丨最新消息丨免责声明:将文章内容综合来源于网络、只作分享,版权归原作者所有!!如有侵权,请联系我们,我们第一时间处理如有问题欢迎来电咨询,专业一对一热情服务,让您用专业眼光去买房。如果您想了解更多楼盘详情,欢迎提前预约拨打售楼处电话☎400-8558-224✔✔✔
买房须知的18个常识
1、查看五证,所谓五证就是指《国有土地使用证》、《建筑用地规划许可证》、《建筑工程规划许可证》、《建筑工程施工许可证》和《商品房预售许可证》。
2、买房其实选择口碑好的开发商很有必要。一般好的开发商资质高、资金充足。
3、评估购房能力,对于刚需族来说,由于他们的经济能力有限,所以都会采取贷款的方式买房。而贷款每个月需要交一定数额的月供,为了保证生活质量不受影响,避免断供的风险,小编建议月供的数额最好控制在总收入的50%以内。
4、选户型,挑选户型时,首先要看户型的朝向。朝向优劣的顺序依次为:正南、东南、东、西南、北、西。
5、选楼层,中间层房屋的空气质量相较于低层更好,出行较高层更方便,可以说是折中。
6、很多购房者认为,当下房价过高,所以买房时,一般会在同等区域、同等地段选择价位便宜的楼盘。正确的做法是多学习选房知识,关注户型好坏,房屋质量等干货。
7、莫心急,年轻人置业时,不宜好大喜贵,应抛弃置业必须一步到位的思想,根据自身所能承受的范围,作出合理的决策。
8、看优惠,对于开发商给出的优惠,要多打听,多分析,多判断,不要盲目追风。
9、不可一味买大,看房一定要综合考虑,不可片面。首先是面积,面积以适用为原则,不可为大而大。
10、看规划,买房当然要挑楼盘,挑小区,挑户型,但是也不能只看房子,还要看房子的位置。毕竟,决定房子价值最大的因素便是地段,建议在购置房产时,要切记紧跟城市发展的方向。
11、看价格,价格挑选比较个人承受范围、交通状况、社区环境、户型结构等条件衡量楼盘价格。
12、小区环境,小区景观、绿化、配套等与生活密切相关,更是楼盘质量的体现。
13、避免极端层,顶层和底层不建议买,底层不仅容易潮湿,发霉,滋生蚊子,光线也不好,顶层一到大夏天,不仅闷热,不透气,还容易漏水。
14、远离设备层,设备层是专门供水,供电的中间楼层,要是常年居住在设备层的附近的话,不仅机器设备的噪音把人折磨得无法休息,连机器的辐射也会影响人的身体健康。
15、考虑孩子问题,买地产要考虑孩子路上的安全问题,尽量选择距离近的房子。这样可以给孩子节约大量的时间,让孩子有充裕的时间学习和休息。
16、物业,不同的物业公司所做的服务千差万别,物业公司能否尽善尽美地完成自己的任务牵扯到小区的整体质量。
17、购房定金,定金对买受人是极为不利的,使买受人在签约的时候处于不利的境地,买受人往往在定金不退的压力下,违心地接受开发商的不平等条款。
18、签认购书,认购书基本条款要约定详细,对所要购买的房屋的主要情况在认购书中予以约定。条款内容约定要合法有效,要求开发商提供作为正式签约的商品房买卖合同文本。

内行人买房的“5句口诀”
内行人买房可简单概括为“5句口诀”,即“一看地段、二看配套、三看楼层,四看户型,最后看价格”。
1、一看地段
内行人买房首先看的是地段,华人首富李嘉诚也说过:“决定房地产价值的因素,第一是地段,第二是地段,第三还是地段。”虽然这个地段论更适合用于投资房产,但是不得不说刚需买房选择区域(地段)也很重要。因为好地段的房产保值或升值的空间更大,购房风险相对城市偏远郊区较小,就算未来房价暴跌,首先下跌的也是地段较偏的房产,地段好的房产房价一般都是最后下降的。
2、二看配套
买房绝对不能忽视楼盘内部和周边的配套设施,不然小区的配套设施不完善,不仅孩子读书不方便,甚至连你想吃个饭,看个病都很麻烦。好小区内部和周边的配套设施就相对完善一些,不仅水、电、燃气、煤气、宽带、停车场、公共厕所、多功能儿童活动空间、园区休闲场所、物业公司等内部配套设施能满足业主的日常居住需求,周边还有便利店、菜市场、食品店、药店、小型超市、学校、公交站点或者地铁站点等多功能服务配套满足业主以及孩子的衣食住行的更高需求。
3、三看楼层
不同的楼层,房子的通风采光、视野景观以及业主的私密性、居住舒适度,甚至噪音污染、出行便利性等都或多或少有所不同。一般来说,低楼层出行更方便,如遇意外也更容易逃生,但是通风、采光、视野等相对高楼层较差,私密性较差,噪音污染也严重;高楼层视野好、空气清新,通风采光都更佳,但是如果电梯故障,可能会影响出行。总的来说,一栋楼的1/3至2/3之间的楼层是较好的楼层,属于不高不低的“黄金楼”。
4、四看户型
不同朝向、不同通风采光的户型也能影响业主的居住舒适度,一般来说“南北通透”、户型方正、设计布局合理、干湿分明的户型才是好户型,这样住起来更舒服,而“西晒”户型、阴暗潮湿的“中间户”则被很多人所不喜。
5、最后看价格
很多购房者认为房价才是买房最关键的因素,其实不然,适不适合自己才是最关键的。在自己能力范围内,如果房价偏高你也能接受,这样你就会觉得地段好、配套好、户型好、楼层好的房子才是最好的,就算房价贵点也愿意买。
但是,如果你能力有限、购房资金有限,那么估计买哪里都会觉得贵,甚至觉得房价越便宜越好。不过“一分钱一分货”,好地段的房价贵也有贵的道理,而有些房子之所以便宜也是因为有明显的缺点,具体还是看个人的接受程度。如果你完全不介意这些房子的缺点,那就可以买,如果你介意建议还是不要买了,免得后悔。