溢泽华庭(售楼处)首页网站-2025溢泽华庭销售中心(营销中心)溢泽华庭楼盘欢迎您-小区环境-户型-价格-地址-楼盘详情-周边配套
扫描到手机,新闻随时看
扫一扫,用手机看文章
更加方便分享给朋友
溢泽华庭售楼处电话:400-8878-824
溢泽华庭营销中心热线400-887-8824(官方预约看房热线)
溢泽华庭售楼处电话:400-8878-824
溢泽华庭营销中心热线400-887-8824(官方预约看房热线)

溢泽华庭售楼处电话:400-8878-824
溢泽华庭营销中心热线400-887-8824(官方预约看房热线)
溢泽华庭位于浦东周浦板块,与18号线周浦站直线距离约1.3公里,可以通过共享单车或公交车接驳。溢泽华庭一期是2017建成的动迁房,已交付入住。
溢泽华庭二期项目西侧就是小上海步行街,周边更有万达广场、上海绿地缤纷广场(周浦店)、永乐广场、海印又一城等商业,配套非常成熟。项目在售建面约55-131㎡1-3房,均价5.6万/㎡总价271万起!目前已开盘,现直接认购。
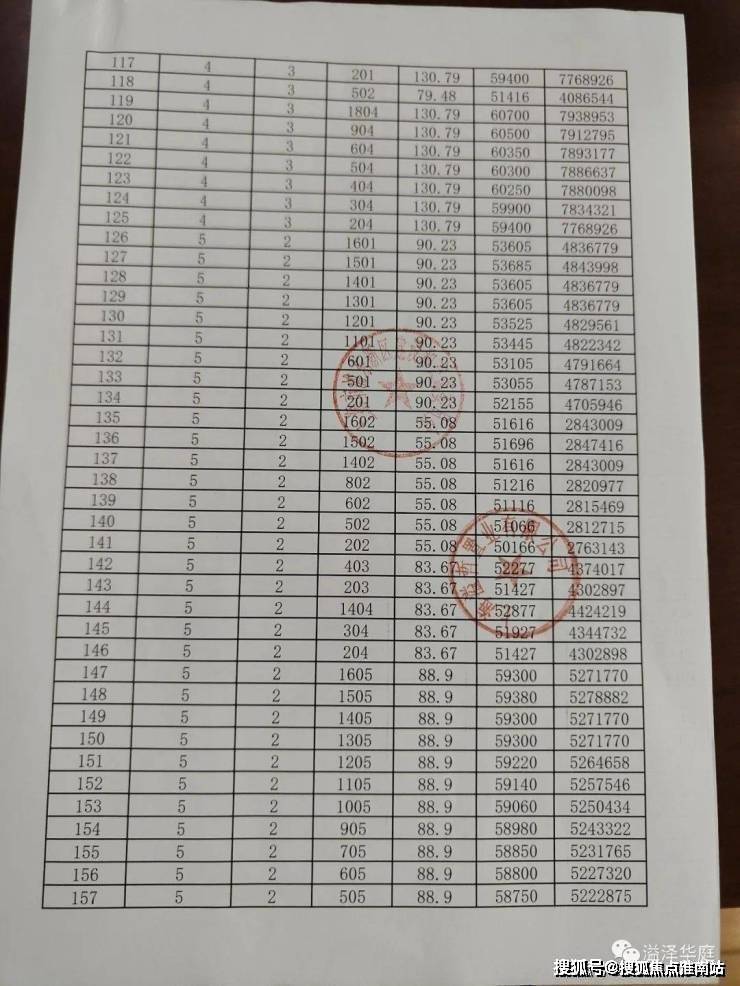
全套户型图如下:(共15个户型)
该项目位于宝燕商城的南侧,紧紧挨着溢泽华庭一期。

据了解,项目由6栋16-20F的高层住宅组成,为原拆原建的回迁安置房小区,动迁户已经完成了签约。此次名单中的185套房源,便是完成签约后的剩余房源。
从当初的文件来看,大约是在2018年年底左右开始动工的。整个小区由2幢20层住宅、2幢18层住宅、1幢16层住宅、6幢5层住宅、1座4层商场、1座开关站、1座生活垃圾压缩站、3座独立门卫、1座地下机动车库(含人防)构成。

现在,从现场的施工情况来看,整个小区已经处于一个准现房的状态。建筑的外立面和玻璃窗也都已经弄得差不多了,但是小区内部绿化还在施工建造中。
项目大体是2梯4户的设计。毕竟是动迁房小区,社区虽然和近几年的商品房社区还是有一定差距的,但是与隔壁的一期相比还是强上不少的。
在二期里面,东门位置就是浦东新区的文物保护点——怡蘐小筑!相传是一位朱姓人家的老宅,是近现代重要史迹及代表性建筑中的传统民居。
前后二进院落,共有房12间,占地面积559.75平方米,建筑面积455.9平方米,坐北朝南。钢筋混凝土结构,硬山灰瓦顶。门面为欧式风格,门廊雕饰精美,入内是一大院子和第一进面阔3间二层大厅,第二进正房面阔3间,西厢房面阔2间,东面为直上二楼木楼梯,具中西合壁风格。
2017年1月25日,怡蘐小筑被浦东文广影视局公布为浦东新区文物保护点,未来会派什么用处还不得而知。
而这位朱姓人家,也喜欢种牡丹,在溢泽华庭一期西门位置,就有过百年牡丹,算是周浦一处小有名气的打卡点。
说实话,这个地方,关岳路康沈路,是周浦老镇的核心地段。小上海步行街就在关岳路南边,这可以说是周浦老镇以前最为繁华的地段了,不过现在已经没落了!现在随着万达广场、绿地缤纷广场、印象生活广场等商业的崛起,日常生活的大部分需求都能得到满足。
项目距离18号线周浦站直线距离大约1.3公里,步行要2公里与地铁盘感觉上还是相差比较远的。
此外项目周边还有周浦小学文康路校区、上海市傅雷中学等学校以及周浦医院等配套。项目2公里范围内有周浦文化公园、周浦体育中心(在建)等配套。
项目周边多是一些像周东公寓、周东二村等老旧小区,挂牌均价大多都在4.5万+/㎡左右;而再南侧一点的莫奈庄园、印象春城这类房龄稍微新一点的小区,价格大多在6万+/㎡。
考虑到这些项目的房龄都偏大,价格比较起来可能有失偏颇。如果参照物挪到小上海步行街的地方,像绿地东上海、东原印柒雅的二手价格可以看到6.6万/㎡,或者6.7万/㎡,倒挂可以看到约1万/㎡!
溢泽华庭售楼处电话:4008878824【售楼中心热线】溢泽华庭营销中心热线400-887-8824溢泽华庭售楼处地址400-8878-824,楼盘项目全面介绍,本电话为开发商提供线上预约售楼电话,楼盘项目全面介绍(包含楼盘简介,均价,房价,现房,期房,别墅,叠墅,大平层,价格,楼盘地址,户型图,交通规划,备案价,备案名,项目配套,样板间,开盘时间,认筹时间,楼盘详情,售楼处电话,最新消息,最新详情,周边配套,一房一价,最新进展等详情咨询)楼盘详情丨价格丨更多优惠丨机不可失丨欢迎致电丨诚邀品鉴!售楼处位置丨特价房丨工抵房丨剩余房源丨户型图丨最新消息丨免责声明:将文章内容综合来源于网络、只作分享,版权归原作者所有!!别抄了,用点脑子自己做行么?只会改号码?如有侵权,请联系我们,我们第一时间处理如有问题欢迎来电咨询,专业一对一热情服务,让您用专业眼光去买房。如果您想了解更多楼盘详情,欢迎提前预约拨打溢泽华庭售楼处电话400-887-8824
声明:本文由入驻焦点开放平台的作者撰写,除焦点官方账号外,观点仅代表作者本人,不代表焦点立场。
