万科中興傲舍售楼处电话:400-887-5663,万科中興傲舍位于静安内环内,主打豪宅建面约100-356平方米,总价约1300万-4360万,全球顶尖设计师 一线品牌豪装交付。开盘房源83套,去化率约82%,两周劲销68.2亿。
静安内环内翡翠系豪宅
建面约100-356㎡房源
总价约1300万-4360万
全球顶尖设计师 一线品牌豪装交付
万科中興傲舍售楼处电话:400-887-5663
万科中興傲舍二期已开盘。本次开盘房源83套房源,均价约13.3万/㎡。共计99组认购,未触发积分制。开盘当天售出约68套,去化率约82%,开盘销售18.2亿,两月劲销68.2亿;二批次加推倒计时!


万科中興傲舍售楼处电话:400-887-5663
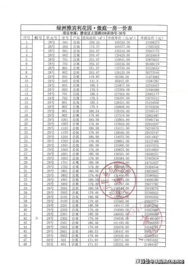
万科中兴傲舍一房一价表▼



项目基本信息
开发商:上海万科、北方集团
示范区:静安区止园路208弄2号
住宅套数:560套
层数:7-33层(实际住宅层数4-30层)
首开:4号5号楼共186套
加推:央景楼王3号楼共86套
主力面积:180/200/250/280平
万科中興傲舍售楼处电话:400-887-5663 联动价:13.3万/平

万科中興傲舍售楼处电话:400-887-5663
项目推售详情
【万科中興傲舍】为开放式社区设计,采用空中花园将社区立体连接在一起:推出100㎡2房,140㎡2房、180㎡3-4房,250㎡4房。321㎡4房楼栋户型, 首开建面约180-321㎡3-4房户型,仅剩余建面约321㎡户型在售,加推央景楼王3号楼建面约180-280㎡3-5房,产品分布如下:

万科中興傲舍售楼处电话:400-887-5663
【万科中兴傲舍】二期户型面积段有建筑面积约180㎡3房,建筑面积约200㎡3房,建筑面积约250㎡4房,建筑面积约280㎡4+1房。
建面约170㎡3房户型▼

建面约180㎡3房户型▼

万科中興傲舍售楼处电话:400-887-5663

该户型为内环内舒适大三居,性价比超高,据悉约13万/㎡单价,享双主卧尺度。
万科中興傲舍售楼处电话:400-887-5663


万科中興傲舍售楼处电话:400-887-5663
建筑面积约180㎡样板间效果图,仅供参考,以实际交付为准

建筑面积约200、250㎡则是内环内·小洋房户型,有很强臻稀性。
建面约200㎡户型▼

万科中興傲舍售楼处电话:400-887-5663
市面上该面积段普遍4房配置,导致各空间较为局促。
而万科深谙改善的本质就是住得更舒适、更体面、生活场景更丰富,因此不去做功能间的妥协,设计了一个大三房。
客餐厨阳台一体化+大面宽,放大了社交空间尺度,这样的空间即使二胎共同玩耍都绰绰有余。厨房可开可合,使烹饪不再是孤独一人,下厨时也能和家人情感互动。
约270°弧形观景阳台,赋予居住者看景观的超宽广视觉享受。
双套房设计,各家庭成员都能拥有自己的小天地,尤其南向主卧,可容纳L型衣帽间以及豪华主卫。
全卧飘窗,增加室内使用面积。
建面约250㎡户型▼

万科中興傲舍售楼处电话:400-887-5663
双主卧套房、约270°弧形阳台在该户型都是标配。
此外,格局为四房配置,更好满足三代同堂/二胎家庭的居住功能。
并在功能性做足的前提下,舒适度上佳,据悉主卧和客厅面宽都达到5米+。
另外,该户型为边套, 享受约270°舒适采光和视野。
万科中興傲舍售楼处电话:400-887-5663
建面约276㎡4+1房▼

万科中興傲舍售楼处电话:400-887-5663
该户型为内环内·大师定制艺术·强功能性宅。
五房空间尺度、可根据自身需求调整功能;
边套约270°景观,拥有出众的景观和视野;
超大舒适厨房,兼具中西双厨,满足业主个性化烹饪需求;
豪华主卧,带双衣帽间,男女主人都有了私密的收纳空间,其中带一个U型步入式衣帽间,巨能装;主卫带双台盆、淋浴、浴缸、马桶四件套;
双动线设置,可分别连通两侧卧室空间及客厅, 两条动线不交叉,从空间体验感和视觉效果上实现动静分区。
万科中興傲舍售楼处电话:400-887-5663
除了二期加推户型,一期还有少量建面约321㎡户型在售,总价约3500万~4360万,可直接认购
建面约321㎡4房2厅5卫▼

万科中興傲舍售楼处电话:400-887-5663



主卧特别打造的假玄关,为每一次归家都增添了一份仪式感,让居住者在踏入家门的那一刻,便能感受到家的温暖与尊贵。浅淡的配色方案,与主卧安静私密的氛围相得益彰,进一步凸显了空间的舒适与宁静。




次卧的色调相对更为深邃,设计师通过不同的色彩选择,为静谧的氛围赋予了别样的诠释。有的空间明亮温暖,有的则内敛深沉,各种高品质材料相互搭配,编织出柔软而舒适的触感,再辅以恰到好处的艺术装饰,将空间的高级感提升到新的高度。






在这个空间里,随处可见的反差感构建起丰富的生活层次。色彩、材质、肌理各具特色,却又在设计师的巧妙搭配下,于差异中达成和谐统一。这一切都源于设计师对美学的精准把握和精湛技艺,他们用恰到好处的设计手法,将每一个细节都雕琢得尽善尽美,让整个空间的魅力在无声中尽显。



室内效果图,仅供参考,非交付标准

万科中興傲舍售楼处电话:400-887-5663
央座 直面约4500㎡中央公园
二期推出的3#楼是整盘C位,拥有近70米超大栋距,直面约4500㎡商业森感中央公园。且这个观感是立体式的,颇具层次感。
项目效果图

商业裙楼约15米挑高空间内做了错层和跃层的绿化设计,其中穿插三个“树屋”,既是景观又是商业。
值得一提,商业景观有三大主场景, 分别为森感公园、九曲花街、花园大道。其中森感公园里约 40%都是超过十米的大树,绿意盎然。
这也与住宅绿化体系、中兴公园的城市山林景融为一体,营造出丰富的垂直绿意体验。

万科中興傲舍售楼处电话:400-887-5663
项目效果图,仅供参考,以实际交付为准
地面上还有可游玩、具有参与感的水景,比如森感公园有一个休闲戏水景观,彷佛走到欧洲罗马的大广场一样,气场十足。

项目效果图,仅供参考,以实际交付为准
万科中興傲舍售楼处电话:400-887-5663上海其实不缺高楼大厦,缺的是能调节快节奏,调节996的慢生活。
项目约6100㎡高线公园+约4500㎡商业森感中央公园,好比城市核心的一片森林绿洲,穿行其间,绿意渗透,回到社区就能卸下一天疲惫。

高线公园实景图
万科中興傲舍售楼处电话:400-887-5663 项目开盘吸引了一大批海归,归根结底它的审美、居住理念都是超前的,接轨国际的。
从项目设计天团来看, 万科中興傲舍的初衷就是瞄准国际前沿生活,打造上海地标艺术奢宅。

项目设计师天团示意图
因此你能看到会所立面所展现的 美学弧形玻璃+流光幻彩铝板。
项目实景图

万科中興傲舍售楼处电话:400-887-5663
住宅立面颜色 以珍珠蓝为核心,搭配香槟金、海派红,两侧还采用弧形设计,比方正的建筑看起来更柔和,也让视野更大化,实现约270°观景。

项目效果图
豪宅中,会所+泳池已经成为市场标配。但是万科中興傲舍,真正做到了 “把艺术作为生活的一部分” 。
比如,上海首个植物园泳池。

实景图,仅供参考
比如,弧形、奢石与灯光等相得益彰且设计感满满的架空层。

实景图,仅供参考
比如,艺术感与质感并存的车库,以及全石材地面铺装的车库大堂。

效果示意图,仅供参考
万科中興傲舍售楼处电话:400-887-5663 除了约2000㎡美术馆级会所, 项目还有约4000方超尺度公区很打动年轻人。
比如进入楼栋后,会有一处属于本楼业主的 共享休闲空间,为业主创造了家与外部空间中,具象化的一处交互空间。
另外,楼栋的一楼公区中,还有海派历史感拉满的补妆间,业主信箱墙等,审美在线。

项目实景图
万科中興傲舍售楼处电话:400-887-5663 “星耀式”物业服务
对于业主来说,开发商与物业不分家是最好的,因为 “一贯式”的连续服务最能保证服务质量。 万科深耕上海多年,有丰富的物业管理经验。
从翡翠系圈层服务,到中興路一號的卓越人居服务体系,再到中興傲舍星耀服务体系,它总是致力于给业主更优质的生活体验。

万科物业 示意图
项目区位配套
【万科中兴傲舍】位处静安区中兴路699号近西藏北路,为内环内北区经典品牌豪宅。项目距离人民广场约2500米,离苏河湾仅1000米。
项目周边环伺南京路商圈、陆家嘴商圈、静安寺商圈、苏河湾商圈、四川北路商圈、大宁商圈等多个市级商圈,居住氛围成熟。

万科中興傲舍售楼处电话:400-887-5663
轨道交通方面:项目属地铁8号线中兴路站上盖物业,距离1号口仅620米,两站路即可到达人民广场;距离4号线宝山路站721米,3号线东宝兴路站990米。对于市中心拥堵的交通情况来看,三线环绕,地铁更方便出行。

自驾方面:项目毗邻南北高架、内环高架,距离南北高架永兴路口仅500米,可快速到达苏河湾、人民广场、陆家嘴、静安寺等多个市级商圈,出行便利。
商业配套方面:项目一公里范围内就有虹口龙之梦及大悦城两大购物中心,且尤其是在大悦城二期开业的情况下,整体生活氛围充分提升,市中心的便捷生活触手可及。

万科中興傲舍售楼处电话:400-887-5663
医疗资源方面:第一人民医院、长征医院、闸北区中心医院、中医医院、上海市第十人民医院

万科中興傲舍售楼处电话:400-887-5663
绿地休闲方面:除项目自身配有4万方中兴绿地外,还有大宁绿地、浙北绿地、四川北路绿地、延中绿地、海伦公园、鲁迅公园、闸北公园。
教育资源方面:周边还有市北高级中学、青云中学、闸北区第三中心小学、上外附属苏河湾实验学校、芷江中路幼儿园、永兴路幼儿园等。
图源网络

万科中興傲舍售楼处电话:400-887-5663(预约热线)✔✔✔
如有问题欢迎来电咨询,专业一对一热情服务,让您用专业眼光去买房。
万科中興傲舍售楼处电话☎:400-887-5663【售楼热线】✔✔✔万科中興傲舍营销中心热☎400-887-5663万科中興傲舍售楼处地址☎400-887-5663本电话为开发商提供线上售楼电话,楼盘项目全面介绍(包含楼盘详情,最新房价,户型图,容积率,小区配套环境,楼盘简介,售楼处位置,户型图,交通规划,备案价,项目配套,楼盘详情,售楼处电话,最新消息,最新详情,最新进展等详情咨询
房产知识
1、土地产权年限:商品住宅为70年,公寓、LOFT等多为40年或50年。
2、房屋性质:公寓、LOFT等主要为商业性质,水电均为商业,一般不通燃气、暖气。
3、普通住宅:是指按一般民用住宅标准造的居住用住宅,高级公寓、别墅、度假村等不属于普通住宅的范畴。
4、商住住宅:是SOHO(居家办公)住宅观念的一种延伸,它属于住宅,但同时又融入写字楼的诸多硬件设施,尤其是网络功能的发达,使居住者在居住同时又能从事商业活动的住宅形式。
5、购买条件:商品住宅会有较多限制条件,户口、社保、纳税证明等;公寓、LOFT一般不需要,基本上不在限购范围。
6、付款条件:商品住宅首套较低首付比例为总价的20%--30%,且非首套房的首付比例更高,按揭年限最长可达30年;公寓、LOFT等没有首套和非首套之分,首付比例一般为总价的50%,按揭年限最长为10年。
7、现房:指开发商已办妥房地产权证(大产证)的商品房,与消费者签订商品房买卖合同后,立即可以办理入住并取得。只有拥有房产证和土地使用证才能称之为现房。通常意义上的现房是指项目已经竣工可以入住的房屋。
8、准现房:指房屋主体已基本封顶完工但未竣工验收,小区内的楼宇及设施的大致轮廓已初现,房型、楼间距等重要因素已经一目了然,工程正处在内外墙装修和进行配套施工阶段的房屋。(但是这种房产的性质仍然属于期房,政府按照期房进行管理,必须办理商品房销售许可证才能销售。)
9、期房:指在建的、尚未完成建设的、不能交付使用的房屋。即指开发商从取得许可证开始至取得房地产权证(大产证)为止,在这一期间的商品房称为期房,消费者在这一阶段购买商品房时应签预售合同。目前市面上销售的新房基本上都是期房。一般情况下,期房的价格较低,挑选余地较大,但由于是先付款后交房,因此消费的过程和结果要依赖于购房合同约定的权利义务的履行,而购房合同的履行,不仅受开发商自身经营的影响,还受到许多客观因素的制约。
10、毛坯房:房地产商交付屋内只有门框没有门,墙面地面仅做基础处理而未做表面处理的房叫毛坯房。
11、成品房:是指对墙面、天花、门套、地板实行装修。
(1) 内墙面为普通仿瓷涂料
(2) 客厅楼地板为普通瓷砖
(3) 普通铝合金窗
(4) 普通胶合板门
12、民用建筑高度与层数,根据《住宅设计规范》划分为:1-3层为低层住宅,产品主要为独栋别墅、双拼别墅、联排别墅等。4-6层为多层住宅,产品主要为叠拼别墅、花园洋房(有的有大平层概念)等。7-10层为中高层住宅(也叫小高层),很多城市广义上将18层以下的住宅也称之为小高层。11-30层左右为高层;30层以上为超高层。小高层及高层一般为普通住宅,超高层一般为城市豪宅
13、保障性住房:指政府为住房困难家庭所提供的限定标准、限定价格或租金的住房,一般由廉租住房、经济适用住房、政策性租赁住房和定向安置房等构成。这种类型的住房有别于完全由市场形成价格的商品房。经济适用房在满足一定条件的情况下可以转变为商品住宅。
14、房地产”五证“:《建设用地规划许可证》、《建设工程规划许可证》、《建筑工程施工许可证》、《国有土地使用证》和《商品房预售许可证》。开发商再取得五证之前,是不允许销售的,一般会有认购行为(一种是在开发商未拿到预售证,而向购房者预约房源,待拿到预售证正式销售时正式成交。即在没有正式的销售许可的情况下,开发商与购房者达成购买协议。也叫认筹、预约、预定。)
15、房地产“二书”:是指建设部为了加强对商品房的质量管理与监督,要求发展商必须提供的新建住宅质量保证书和新建住宅使用说明书。
16、购房资格:各个城市的条件不一样,因地制宜。目前可多关注当地人才引进计划,实际上是尽可能放开限购的伎俩。
17、资金情况:对于首付比例及月供有一个相对明确的概念。
18、购房需求分析:先安家?孩子教育?工作较近?改善?投资等等。明确以上问题后,接下来要在市面的产品上进行考察、选择。买房就是资金、品牌、地段、配套、户型、物业等方面做权衡,根据自己的情况选择。
19、买房意向金:在国家有关房地产法律法规中,没有“意向金”的提法,要么是定金,要么是保证金。
20、面积赠送:购房时大都会有一些面积是赠送的,如阳台。阳台分为封闭和半封闭两种,封闭阳台要全部算面积,半封闭阳台只算一半面积,半封闭阳台越多越超值。
21、住宅的净高:是指下层地板表面或楼板上表面到上层楼板下表面之间的距离。
22、住宅的开间:是指一间房屋内一面墙皮到另一面墙皮之间的实际距离。
23、住宅的长度和进深:是指一间独立的房屋或一幢居住建筑从前一墙皮到后一墙皮之间的实际长度。
24、住宅的层高:是指下层地板表面或楼板表面到上层楼板表面之间的距离。
25、个人住房贷款还款方式:分为等额本金还款和等额本息还款两种。
26、首套房优惠:配偶买过房且贷款未还清,另一方买房仍算作二套房,不能享受首次购房的各种优惠政策。
27、哪些公用面积应分摊:应分摊的公用建筑面积包括套(单元)门以外的室内外楼梯、内外廊、公共门厅、通道、电梯、配电房、设备层、设备用房、结构转换层、技术层、空调机房、消防控制室、为整栋楼层服务的值班卫室、建筑物内的垃圾以及突出屋面有围护结构的楼梯间、电梯机房、水箱间等。
28、哪些公用面积不能分摊:不能分摊的公用面积为底层架空层中作为公共使用的机动车库、非机动车库、公共开放空间、城市公共通道、沿街的骑楼作为公共开放使用的建筑面积、消防避难层;为多栋建筑物使用的配电房;公民防护地下室以及地面车库、地下设备用房等。
29、套内使用面积:指套内住户独自使用的面积,一般包括卧室、厨房、卫生间、过厅、起居室、内走道、阳台、壁柜等净面积的总和。
30、银行按揭:按揭是英语“Mongase”(抵押)一词的粤语音译,因此,银行按揭的正确名称是购房抵押贷款,是购房者以所购房屋之产权作抵押,由银行先行支付房款给发展商,以后购房者按月向银行分期支付本息。
31、公积金贷款:公积金贷款也就是个人住房担保委托贷款,是由城市住房资金管理中心及所属分中心运用房改资金委托银行向购买(含建造、大修)自住住房的公积金交存人和离退休职工发放的贷款。
32、申请住房公积金贷款的条件:凡住房公积金连续缴存6个月以上或累计缴存公积金一年以上,并且目前仍在缴存公积金,才有资格申请,每个城市政策可能有所不一样。
买房要买楼王吗? 是宣传陷阱还是真的赚到
作为购房者,在接收到的各种房产营销信息中一定看到过类似“xxx项目楼王加推,只此一栋,错过不再有!”这样的宣传语。其中“楼王”两个字特别引人注意,一旦带上这个字眼就表明该楼栋是整个项目中最优质的一栋。具体优质在哪,下文会介绍。
从情感角度来说,好东西人人都有兴趣,尤其在听完置业顾问的介绍后普遍都会动心。但较好的东西往往也标上了最贵的价格。房子不同于普通商品,其单价高,每平米贵1000,整套房就要多出十几万。多花一笔大价钱买一份长久的“王者”体验到底值不值呢?你需要知道以下几点:
什么是“楼王”
“楼王”的概念来源于香港,原是指楼房顶层面积较大、定价最贵的一两种户型。现在我们说的“楼王”通常是指社区里所有楼栋中综合条件较好的那一栋建筑,“楼王”一般占据着整个小区较好的资源。
根据楼盘的规模差异,还会细分出更多品类,例如“楼王组团”,泛指超级大盘中的较佳区域内多个楼座共同组成的部分,楼王组团中往往还会出现“楼王之王”;再如一期楼王、二期楼王等等,泛指分期开发的楼盘中每一个开发周期内的楼王。
“楼王”的特点
位置较好:“楼王”通常是位于小区的“C位”。排名前列不会离小区外围很近,避免车来人往的噪音干扰和空气污染。第二离小区各个出口都较近,保证进出方便,去地铁站、超市、幼儿园都不会走很长。
景观较佳:“楼王”一般离相邻的楼栋会较宽一些,视野更开阔;不会被其它建筑大面积遮挡,保证采光不受影响;另外,对外,如果楼盘本身就靠近山、海、江、湖、林等自然景观,那“楼王”基本也会占据欣赏景观较佳的位置。对内,“楼王”通常靠近中央园林,能欣赏到较佳的小区内部园林景观。
配套最全:“楼王”通常可享受最完备的小区内部基本配套,如健身设施、游乐设施、休闲设施、景观设施、生活设施等。
户型最优:一般楼王的产品会是整个楼盘中较高端的,如面积较大、装修标准较高,户型设计较好的产品。另外,楼王的梯户比一般也会是小区比较好的。
朝向较好:通常是坐北朝南,保证空气流通,光照适宜。
价格较高:开发商深知自己楼盘优劣势,也知道每栋楼、每套房子的优劣势,楼王占据较佳资源,所消耗的内部资源往往都是最多的。为了使商品房价值与价格相匹配,达到收益较大化;楼王位置的标价往往较高,与其它楼栋拉开一定差距。
“楼王”不是特别的
排名前列,我们需要清楚的是,“楼王”一说,原本就是从香港传过来的一个概念,现在常被房产商用作宣传房屋时的一个亮点。有时,开发商会宣传他的多个楼栋都为“楼王”,用这样的噱头去吸引购房者,利用购房者“害怕错过”的心态,催促购房者尽快成交。有时,是借着楼王的名号,名正言顺地卖出高价。所以,宣传中所谓的“楼王”也许并非真“楼王”,需要购房者仔细辨别。
第二,“楼王”并非会在每一个方面都达到较佳,比如有一线江景景观的楼栋也许离地铁站比较远。“楼王”只是一个综合下得出的相对最优结果。购房者要根据自身需求进行选择。
第三,“楼王”概念不是所有小区都适用。有的楼盘只有几栋建筑,每一栋都临街,位置、楼间距、景观都差不多,这种情况下,购房者千万不要被商家所谓的话术牵着鼻子走。
第四,“楼王”不一定对所有人都是较好的,也千万不要认为买房就一定要买“楼王”。如果购房是为了长期居住,那就从自身的预算、交通需求、生活需求等出发去评定选择即可。预算够,又要追求较高的居住体验,买“楼王”当然可以。预算不够,可以考虑“楼王”邻近的几栋。如果购房是为了投资的话,更需要考虑几年后出手,你所购买的“楼王”的价格能不能与同小区的其它楼栋拉开差距。
万科中興傲舍售楼处电话:400-887-5663(预约热线)✔✔✔
如有问题欢迎来电咨询,专业一对一热情服务,让您用专业眼光去买房。
万科中興傲舍售楼处电话☎:400-887-5663【售楼热线】✔✔✔万科中興傲舍营销中心热☎400-887-5663万科中興傲舍售楼处地址☎400-887-5663本电话为开发商提供线上售楼电话,楼盘项目全面介绍(包含楼盘详情,最新房价,户型图,容积率,小区配套环境,楼盘简介,售楼处位置,户型图,交通规划,备案价,项目配套,楼盘详情,售楼处电话,最新消息,最新详情,最新进展等详情咨询