大华公园柏翠400-8567-004大华公园柏翠售楼处电话400-8567-004大华公园柏翠售楼处热线☎:400-8567-004大华公园柏翠【开发商售楼处预约看房热线】(一对一热情服务)
楼盘项目全面介绍,本电话为开发商提供线上预约售楼电话,楼盘项目全面介绍(包含楼盘简介,均价,房价,现房,期房,别墅,叠墅,大平层,价格,楼盘地址,户型图,交通规划,备案价,备案名,项目配套,样板间,开盘时间,认筹时间,楼盘详情,售楼处电话,最新消息,最新详情,周边配套,一房一价,最新进展等详情咨询)楼盘详情丨价格丨更多优惠丨机不可失丨欢迎致电丨诚邀品鉴!售楼处位置丨特价房丨工抵房丨剩余房源丨户型图丨最新消息丨免责声明:将文章内容综合来源于网络、只作分享,版权归原作者所有!!如有侵权,请联系我们,我们第一时间处理如有问题欢迎来电咨询,专业一对一热情服务,让您用专业眼光去买房。如果您想了解更多楼盘详情,欢迎提前预约拨打
最新消息!
大华公园柏翠
收官房源火热认购中
主推建面约101-142㎡3-4房
总价约520万起

全市为数不多的限价楼盘
距离静安400米,中环旁
抓住上车中环的仅剩机会
对项目感兴趣的小伙伴
大华公园柏翠400-8567-004大华公园柏翠售楼处电话400-8567-004大华公园柏翠售楼处热线☎:400-8567-004大华公园柏翠【开发商售楼处预约看房热线】(一对一热情服务)

总价约520万起,在中环旁买正3房
只有大华公园柏翠能满足你!
有一个前提大家一定要清楚: 大华公园柏翠是整个中环线上,距离市区更近的新房。
这个项目与很多千万以上的豪宅处于同一纬度:

中环的地段价值+总价约500万+起的价格,大华公园柏翠妥妥的价格洼地!
但在这样的洼地价格上,大华还为购房者带来了比肩千万级豪宅的产品力,真的是非常惊艳:
先来看户型:
建面约101㎡的3房!
大华公园柏翠400-8567-004大华公园柏翠售楼处电话400-8567-004大华公园柏翠售楼处热线☎:400-8567-004大华公园柏翠【开发商售楼处预约看房热线】(一对一热情服务)

稀缺属性上:
目前上海中小套配比已经改变了,小高层和高层产品未来的门槛将会是建面约110㎡起。
这意味着,未来不仅将增加10-20㎡置业成本,并且百平米左右的3房将成为市场臻稀产品。

产品力上:
如果你熟悉上海市场,你会发现目前市面上的户型普遍会面临:利用率低、有连廊、采光不足、卫生间少/功能性差、卧室太小不够等问题。
但大华公园柏翠的建面约101㎡3房2卫,却很好的解决了以上所有问题:
约5.3米的大横厅、整体约11.5米的巨型南向面宽!
大华公园柏翠400-8567-004大华公园柏翠售楼处电话400-8567-004大华公园柏翠售楼处热线☎:400-8567-004大华公园柏翠【开发商售楼处预约看房热线】(一对一热情服务)

一方面,在整个中环甚至是整个上海, 百平米3房能做到约11.5米面宽的新房,只有大华公园柏翠。
另外一方面,这个南向采光面带来的居住舒适度是MAX级的。
尤其是 约5.3米的大横厅+超大阳台的设计,撑起气场的同时,也能为家庭带来更多的生活想象。
大华公园柏翠400-8567-004大华公园柏翠售楼处电话400-8567-004大华公园柏翠售楼处热线☎:400-8567-004大华公园柏翠【开发商售楼处预约看房热线】(一对一热情服务)

实景图
小高层+飞机户型造就真3房的实用性!

小高层的天然高得房率+飞机户型带来的0走道优势,让这个百平米户型做到了 真正的3房!
相比竞品户型的 2房+1个功能房,其功能性天壤之别。
大华公园柏翠400-8567-004大华公园柏翠售楼处电话400-8567-004大华公园柏翠售楼处热线☎:400-8567-004大华公园柏翠【开发商售楼处预约看房热线】(一对一热情服务)


实景图
南北通透带来极为宜居的居住环境!

大华公园柏翠的客餐厅以及厨房一脉相连,中间套也能实现完全的南北通透,出色的空气流动性能为业主带来更加舒适、宜居的居住氛围。
LDKB的设计,在撑起气场的同时,也增加了更多的生活想象!
还有细节方面的设计,例如:次卫的干湿分离保证室内的干燥;入户的玄关、主卧的套房,保证了主人的私密空间...
这个户型拥有一个“好户型”的所有特质,上车必看的首选户型!
样板间看房视频独家首发!
大华公园柏翠400-8567-004大华公园柏翠售楼处电话400-8567-004大华公园柏翠售楼处热线☎:400-8567-004大华公园柏翠【开发商售楼处预约看房热线】(一对一热情服务)
建面约142㎡类一梯一户顶奢4房:

稀缺属性上:
2021年至今,整个上海140-145㎡新房仅供应532套,占比 不足5%。光这个产品在整个市场中就已经足够稀缺了。
产品力上:
说实话,到建面约142㎡的维度,各个项目的户型设计都很不错。
但有几点真的是大华公园柏翠独有的。
类一梯一户,享独立电梯厅,在入户仪式感和私密性拉满的同时, 增加了实际使用面积,变相提高了“得房率”。
四开间朝南, 南向面宽达约15.4米,其中三卧朝南。一般来说,4房户型中2房朝北是逃不掉的问题,但大华公园柏翠长面宽短进深的设计,让这个户型的 得房率、采光度更上一层楼。
约5.9米面宽的巨幕横厅,加上同样面宽的宽绰阳台,为业主带来更多的生活想象。
这个户型拥有一个好户型应该拥有的所有特质!



实景图
这两个产品,真的是如今上海市面上,同级别户型中设计感最强的户型。
最后,还有一点: 项目将标配国际家装大牌、臻选精奢材质。
再来看比肩千万级豪宅的奢华公区:
在归家动线上特别打造了“三进式”归家礼序,并且每一层归家礼序的打造,都是按照千万级豪宅才有的规格。
一进:宽约80米、高约6米的气派大门。
并且在选材上选用来自吴哥窟的 进口石材,尽显静谧奢华的气质。
主入口利用 108片伯爵灰大理石打造12座景墙单元,辅以 香槟色不锈钢修饰。
整体迎宾空间耗材 约1800片大理石,这样的大门规格、石材用料以及用心程度, 无不体现出大华公园柏翠对标豪宅的决心。

实景图
二进:围合庭院。
庭院由 4处归家通道、8扇造型屏风和1座水景雕塑的一体化设计打造而成。
用料上,庭院两侧设计师选用 大理石与镂空铝板虚实结合,利用2层柏翠造型铝线条错拼而成,更显精致;
大华公园柏翠400-8567-004大华公园柏翠售楼处电话400-8567-004大华公园柏翠售楼处热线☎:400-8567-004大华公园柏翠【开发商售楼处预约看房热线】(一对一热情服务)

实景图
三进:宅门。
整座大堂外墙 采用伯爵灰大理石满铺高墙,电动门镶嵌 宝格绿奢石,实现无感通行;
这些用料和最终呈现出来的浓郁海派氛围,是对大华集团实力和匠心最好的体现。
另外,大华公园柏翠利用12级叠水、2座树池、9步水上汀步,运用六重造景的手法打造近500平的中央水景!

实景图
用一颗柏翠树型的构筑物形成独具艺术气质的“大树咖啡厅”,不仅拔高了社区的整体审美艺术和品味,也可供业主闲时聊天赏景、遛宠遛娃。

并且将中心场地抬高1米,在水系池底通铺1300多片的PRADA绿石(仿石砖)、精选斜飘乌桕、造型紫薇等名贵树种...
不难看出,大华公园柏翠不仅卷用料,更在审美艺术、生活方式上接轨国际前沿,拔升了高端住宅的品味和调性,整体的公区用料更是媲美高端豪宅!
大华公园柏翠400-8567-004大华公园柏翠售楼处电话400-8567-004大华公园柏翠售楼处热线☎:400-8567-004大华公园柏翠【开发商售楼处预约看房热线】(一对一热情服务)


实景图
总的来说,大华公园柏翠的产品力,有着不输任何对手的底气!一旦步入二手,这就是整个中环旁的王者,拥有极强的未来潜力。

大宁市北高新产业区辐射
距离市区更近的约500万+起新房
一个好房子除了优质的产品外,地段也是非常关键的因素。
而大华公园柏翠的地段,有几个关键词:
静安400米!
大华公园柏翠距离静安区只有约400米左右的直线距离,是整个宝山距离中心城区最近的新房。
加上周边1号线、18号线、南北高架等城市主动脉的加持,整个大华公园柏翠去哪儿都方便。
大华公园柏翠400-8567-004大华公园柏翠售楼处电话400-8567-004大华公园柏翠售楼处热线☎:400-8567-004大华公园柏翠【开发商售楼处预约看房热线】(一对一热情服务)

大宁市北高新产业区外溢首站!
市北高新以数字经济全生态+数据要素创新等产业形态,与张江科学城(硬科技)、漕河泾(电子信息)形成错位竞争.
其能级位居上海中心城区科技园区第一梯队,更是上海数字化转型的核心引擎之一。
大华公园柏翠400-8567-004大华公园柏翠售楼处电话400-8567-004大华公园柏翠售楼处热线☎:400-8567-004大华公园柏翠【开发商售楼处预约看房热线】(一对一热情服务)
要知道,在漕河泾的辐射下,像闵行七宝、徐汇长桥都已经是千万级的置业区了。
而大宁这两年不断加码,区域内的新房目前放风价已经来到了约16万+的水平,作为大宁下一站,大华公园柏翠已经周边未来的发展,更是潜力十足!
大华公园柏翠400-8567-004大华公园柏翠售楼处电话400-8567-004大华公园柏翠售楼处热线☎:400-8567-004大华公园柏翠【开发商售楼处预约看房热线】(一对一热情服务)

商业、教育、生态不断落地!
当然,产业利好外溢是一方面,打铁还需自身硬,整个大华公园柏翠周边的居住价值,同样在不断升温。
商业方面,项目不仅近邻宝山万达, 东侧一街之隔规划有约2.5万平方米商业综合体,繁华生活咫尺之间。
教育方面,大华公园柏翠 南侧九年一贯制公办学校已经在建,未来的学府氛围将非常浓厚。
免责声明: 以上教育资源整理仅代表楼盘与学校的距离,该房屋所在项目暂未划分学区,开发商不对项目交房后所属学区、学校做任何承诺。教育资源分配或学校/学区划分以及学校的具体招生规则等请以政府相关主管部门、教育机构公开的最新信息为准。
生态方面, 西南两侧还有规划的大体量生态绿化。
最后, 大华公园城市前期千人摇号的一二三期均已交付入住,整个大社区的居住环境、氛围已经非常浓郁。四期大华公园柏翠这个王冠之上的作品一旦交付,即刻就能享受生活。
这个地段,不管是从交通、产业、配套还是生活环境来看,都是无懈可击的。是约500万+起能买到的,最好的地段!
大华公园柏翠400-8567-004大华公园柏翠售楼处电话400-8567-004大华公园柏翠售楼处热线☎:400-8567-004大华公园柏翠【开发商售楼处预约看房热线】(一对一热情服务)

三大利好加持
约500万+起的价格,真的错过就不再有
宝山其实从去年南北转型开始,就展现出了完全不同以往的发展势头来。
对于大华公园柏翠而言,周边更是三大利好加持:
中环北抬箭在弦上!
军工路快速路新建工程预计今年年内完工,意味中环北抬今年将迈出重要一步。
而长江西路快速路已被列入2025年上海市重大工程清单,预计即将开工。
一旦落地,大华公园柏翠就真的是中环内的新房了!
大华公园柏翠400-8567-004大华公园柏翠售楼处电话400-8567-004大华公园柏翠售楼处热线☎:400-8567-004大华公园柏翠【开发商售楼处预约看房热线】(一对一热情服务)

“一江两河”的城市脉络,正在孕育!
一江一河作为上海的顶层规划风光无限,但同样作为上海三大干河之一的蕴藻浜却一直默默无闻。
直到2024年,宝山公示了 《吴淞江-蕰藻浜沿线地区专项规划》,上海北部这条主干河道的开发建设提上日程!
上海,有望从现在的“一江一河”,发展成为“一江两河”!
而蕰藻浜就在大华公园柏翠 北侧。
将规划整体打造一条蓝绿交织、清新明亮、连湖串链、通江达海和水韵特色鲜明、创新功能集聚、滨水活力彰显的上海大都市江南水廊发展带,体现中华风范、江南风光、创新风尚。
大华公园柏翠400-8567-004大华公园柏翠售楼处电话400-8567-004大华公园柏翠售楼处热线☎:400-8567-004大华公园柏翠【开发商售楼处预约看房热线】(一对一热情服务)

图片来源网络
蕰藻浜将于黄浦江、苏州河一同组成钻石三角,支撑起上海的顶层规划。
而大华公园柏翠所在的位置,正好是蕴藻浜和东茭泾组成的t字水网,步行范围内遍布公园、河道,生态居住氛围浓郁。
最后,还有一点,就是: 大场机场的搬迁!
总结一下,以大华公园柏翠为核心,周边聚集了宝山最重要的科创产业、资源能级。
同时,项目又是整个北中环距离静安、大宁,以及上海主动脉南北高架更近的项目。

示意图
可以预想到,未来以项目为中心,周边未来聚集的高薪产业、高知人口以及城市菁英不计其数。
而大华公园柏翠遥遥领先的产品力,未来将吸引这些改善置业客户的不断追逐,直至将其顶上北境之王的价格和地位。
这样的潜力和未来预期,是其他单核发展的板块所无法比拟的。
大华公园柏翠400-8567-004大华公园柏翠售楼处电话400-8567-004大华公园柏翠售楼处热线☎:400-8567-004大华公园柏翠【开发商售楼处预约看房热线】(一对一热情服务)
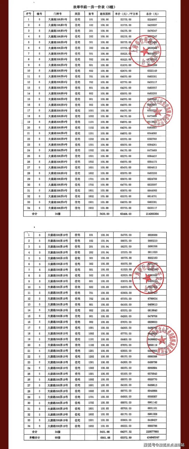
完整一房一价表如下:




大华公园柏翠400-8567-004大华公园柏翠售楼处电话400-8567-004大华公园柏翠售楼处热线☎:400-8567-004大华公园柏翠【开发商售楼处预约看房热线】(一对一热情服务)
房地产政策方面
限购政策差异化松绑:住建部将 “因城施策” 升级为 “因区施策”。一线城市核心区如上海外环内保留限购,非核心区如临港新城取消社保年限要求。二线城市全面取消限购,还推出 “购房补贴 + 税费优惠”,首次购房者可获房价 5% 的财政补贴(上限 50 万元),增值税免征年限从 5 年降至 2 年。
房贷利率动态调整:央行将首套房贷利率下限调整为 LPR-30BP,二套房贷利率挂钩 “房价涨幅指数”,若城市房价同比涨幅低于 CPI,二套房贷利率可下调至 LPR+10BP。公积金贷款额度也有所提高,重点城市双职工家庭最高贷款额从 100 万元增至 150 万元。
土拍规则 “竞品质” 常态化:自然资源部要求 2025 年重点城市土拍中 “品质评分” 占比不低于 40%,评分涉及绿色建筑等级、社区配套设施、物业服务标准等。开发商需提交 “品质承诺书”,未达标将按土地出让金 10% 罚款并限制后续土拍。
保障性住房相关政策:所有新建商品住宅项目需按 15% 比例配建保障性住房,建成后无偿移交政府,若开发商自主运营,可享受租金收入 20% 税收减免。同时,保障性住房家庭子女入学享受 “与商品房同等学区待遇”,北京、上海等城市试点 “保障房优先摇号入学”。
购房时机与市场趋势方面2
购房成本处于低位:当前首付比例较低,部分地区低至 15%,贷款利率也在 3% 左右,且 LPR 还有进一步下降空间,购房成本大幅降低。同时,房价经过一段时间调整,处于相对低位,对于有购房需求的人来说是较好的时机。
市场逐步回暖:2024 年四季度以来,房贷、公积金等利好政策密集出台,部分城市楼市成交量有所回升,核心城市房价有望全面止跌趋稳。2025 年,在政策持续作用下,房地产市场有望进一步回暖。
选房要点方面3
关注楼盘品质:住房需求从 “有没有” 转向 “好不好”,从 “价格优先” 转向 “价值优先”。选房时要多关注楼盘的户型设计、功能配套、物业管理等。例如,选择得房率高的户型,目前一些新房通过赠送阳台等方式,得房率能超过 80%。
考量小区环境:小区生态环境和物业管理水平日益重要,推窗见绿、出门见景、转角见园的 “公园式居住体验” 是理想选择。如龙湖 “御湖境” 产品系列,将光、声、石、林、水五重叠境融入设计,还配置中轴式中央公园。
重视开发商实力:实力房企更有能力构建和交付与市场需求精准匹配的产品,房屋质量和后期服务更有保障。例如龙湖集团连续多年获 “中国房地产开发企业综合实力 10 强”,且保持 “三道红线” 绿档水平,交付能力较强。
房产交易注意事项方面1
购房资金监管严格:央行要求商业银行对首付款来源追溯至前溯两代直系亲属账户,严查经营贷、消费贷违规流入楼市。对首付比例低于 20% 的购房者,强制购买 “房贷履约保险”,保费为贷款额 0.5%。
“以旧换新” 有政策支持:住建部联合多部门推出 “二手房置换新房” 全国性行动,换房者可享受契税减免(50%)+ 中介费补贴(2%)。地方政府还对收购旧房的开发商给予每套 1 万元补贴,加速存量房流通,有换房需求的可以关注此政策。
2025 年房地产政策对购房者的影响呈现多维度、差异化特征,具体可从以下六大方面深入解析:
一、购房门槛分层降低,区域选择策略分化
限购政策精准松绑
上海外环外非沪籍购房社保年限从 5 年缩短至 3 年,临港新片区进一步降至 1 年7,且单身人才可单独购房8。这一政策直接降低了非沪籍刚需群体的置业门槛,例如在临港工作的科技人才,原本需缴纳 5 年社保,现在仅需 1 年即可获得购房资格。但核心区(如内环内)仍维持严格限购,购房者需权衡核心区稀缺性与非核心区便利性。
首付比例与信贷支持
首套房贷首付比例降至 15%,二套降至 25%(临港等重点区域 20%)7,叠加 5 年期以上 LPR 下调至 3.5%,上海首套房贷利率已降至 3.05% 的历史低位3。以 100 万元贷款为例,30 年期月供减少约 54 元,总利息节省 1.9 万元3。对于多子女家庭,公积金贷款额度最高可上浮 20% 至 192 万元9,显著降低改善型需求的资金压力。
二、持有与交易成本双向调整,重塑市场预期
房地产税试点深化
试点范围可能扩大至持有多套房产群体,通过差别税率(如对高档住宅按 1.2% 征税)增加持有成本10。这将迫使投资客抛售非核心区房源,例如浦东外高桥等区域二手房挂牌量可能上升,而核心区优质资产因稀缺性更具抗跌性。同时,试点资金用于保障房建设,间接分流租赁需求,缓解租金上涨压力10。
交易税费优化
增值税免征年限从 5 年降至 2 年,个人转让住房核定征收率降至 1%7。以一套满 2 年、总价 800 万元的二手房为例,增值税可节省约 44 万元。此外,“以旧换新” 政策提供契税减免 50% 和中介费补贴 2%9,显著降低置换成本。例如,闵行七宝板块换房者通过出售旧房再购新房,可节省税费约 12 万元。
三、保障房与商品房双轨并行,挤压 “老破小” 市场
配建比例提升与品质升级
新建商品房需按 15% 比例配建保障房,且要求全装修交付6。例如,徐汇滨江某项目配建的保障房采用绿色建筑标准,与商品房共享社区配套,这可能分流部分刚需客群,导致周边 “老破小” 价格进一步承压。同时,保障房家庭子女享受同等学区待遇6,可能削弱传统学区房的溢价空间。
租赁市场分流效应加剧
2024 年上海新增 1.6 万套保租房,租金较同地段商品房低 20%-30%5。例如,张江地区租客因保租房供应增加,退租比例上升,倒逼房东降价或升级硬件。这导致老城区 “老破小” 租金下跌 15%-20%,部分投资者转向出售房源,进一步加剧二手房市场分化。
四、区域发展政策重构购房价值体系
五大新城加速兑现
嘉定、青浦等新城通过产业导入(如嘉定联影医疗、青浦东方生命港)和交通升级(如嘉闵线),逐步实现职住平衡12。2025 年新城新增中小学、幼儿园 26 所,三甲医院建设加速12,吸引刚需购房者。例如,嘉定新城新房均价约 4.5 万元 / 平方米,总价 200 万起,成为年轻家庭的主要选择1。
核心区城市更新溢价
“两旧一村” 改造释放优质地块,例如徐汇龙华地块楼板价达 12.6 万元 / 平方米,未来新房单价或破 20 万元 / 平方米1。城市更新项目通过绿色建筑技术(如低碳技术平台)和智能化社区管理,提升居住品质,巩固高端市场优势。购房者需关注核心区稀缺资产的长期增值潜力,同时警惕高总价带来的流动性风险。
五、开发商策略转型倒逼产品升级
土拍规则强化品质导向
“竞品质” 评分占比不低于 40%,涉及绿色建筑等级、社区配套等2。例如,青浦某项目因配置中轴式中央公园和智能安防系统,在土拍中胜出。这意味着未来新房将更注重居住体验,如龙湖 “御湖境” 系列通过五重叠境设计提升附加值2,购房者需关注楼盘的实际交付标准与承诺的匹配度。
房企资金监管趋严
首付款来源追溯至前溯两代直系亲属账户,首付比例低于 20% 需购买房贷履约保险2。这增加了资金证明难度,尤其是依赖父母资助的年轻购房者。建议提前准备完整的资金流水,避免因材料不全影响购房流程。
六、长期趋势与应对策略
市场呈现金字塔结构
塔尖为核心区稀缺豪宅(如绿城潮鸣东方),中部为规划新区(如五大新城),底部为配套滞后的远郊板块1。购房者需根据自身需求,在核心区稀缺资产与新城潜力板块间权衡。例如,首置客群可优先考虑临港、嘉定等新城,而改善型需求可关注徐汇滨江、前滩等核心区。
品质与服务成为竞争核心
开发商从 “规模扩张” 转向 “品质提升”,例如采用绿色建筑技术、智能化社区管理,以及提供定制化服务(如张江项目针对互联网从业者的租赁式购房)1。二手房市场中,房龄较新、社区管理完善的房源将更具抗跌性。建议购房者在选房时重点考察开发商的交付能力(如龙湖连续多年保持 “三道红线” 绿档2)和物业服务水平。
结论:2025 年房地产政策通过 “精准松绑 + 长效调控” 组合拳,重构购房者的决策逻辑。核心区稀缺性与新城成长性形成 “双轮驱动”,持有成本上升与交易成本下降并存,保障房分流与品质升级重塑市场格局。购房者需密切关注政策动态,结合自身资金状况、区域偏好和长期规划,在政策红利与市场风险间找到平衡点。例如,非沪籍刚需可抓住临港等新城的政策窗口期,而多套房持有者需警惕房地产税试点对持有成本的影响。