静安玺樾售楼处电话☎:400-998-9694静安玺樾售楼处电话☎:400-998-9694静安玺樾加推户型98-107㎡,均价125000元/㎡,享购房优惠,配套齐全。
静安玺樾
售楼处电话☎:400-998-9694
如有问题欢迎来电咨询,来电即可享受买房优惠!
预约来电尊享购房优惠,可预约案场内部销售人员,专业一对一热情服务,让您用专业眼光去买房。
静安玺樾售楼处电话☎:400-998-9694
4009989694
静安玺樾售楼处电话☎:400-998-9694
静安内环内 国际中兴城
加推约97-106㎡2-3房海派著品
8号线中兴路站距离约330米
均价124191元/㎡ 共165套
另前期少许94-165㎡2-4房在售
均价125777元/㎡ 总价约945万起
奢华地库+海派园林+万科物业
静安玺樾售楼处电话☎:400-998-9694

静安玺樾售楼处电话☎:400-998-9694
静安玺樾售楼处电话☎:400-998-9694



静安玺樾售楼处电话☎:400-998-9694

静安玺樾售楼处电话☎:400-998-9694

静安玺樾售楼处电话☎:400-998-9694
最新消息:静安玺樾三期加推2号楼的18单元和20单元、7号楼的2单元,主力户型包括建面约98-107㎡2-3房,3房总价约千万级起!

静安玺樾售楼处电话☎:400-998-9694

静安玺樾售楼处电话☎:400-998-9694
2号楼18单元和20单元:往外可瞰芷江绿地,内可赏入口中轴景观。

静安玺樾售楼处电话☎:400-998-9694
项目社区景观效果示意图,仅供参考,以实际交付为准
7号楼2单元:可远眺三件套、中兴公园,楼下还有中心景观。

静安玺樾售楼处电话☎:400-998-9694
项目基本信息
开发商:上海市静安城市更新投资发展有限公司
板块:静安内环内•国际中兴城板块
在售面积:94㎡/98㎡/100㎡2房2厅2卫
103㎡/104㎡/122㎡/134㎡3房2厅2卫
165㎡4房2厅3卫
总价:945-2354万
均价:125000元/㎡
静安玺樾售楼处电话☎:400-998-9694 总体量:926套
总层数:17层、19层、33层
层高:3-3.1m
交房时间:2026年6月
物业公司:上海万科物业服务有限公司(一级资质)
物业费:9.8元/m/月
在售楼栋:1号/2号/4号/5号/7号,3号/6号 待加推(预计10月底)
总用地面积:31352.4㎡
静安玺樾售楼处电话☎:400-998-9694 总建筑面积:152702.85㎡
住宅建筑面积:91316.33㎡
得房率:75-79%
容积率:3.05
绿化率:35.25%
静安玺樾售楼处电话☎:400-998-9694 车位总数:1150个

静安玺樾售楼处电话☎:400-998-9694
【静安玺樾】是位于上海市静安区中兴城社区内的典型城市更新项目,是继佘山玺樾后,又一top系力作,代表着北方集团在静安内环标杆项目,以好的产品力,高标准的实力呈现。

静安玺樾售楼处电话☎:400-998-9694
里面/地库/园林/样板间正式公开
众所周知,示范区是整个项目未来品质的超前剧透,它究竟为你带来了怎样的惊喜呢?它没有去考验业主的想象力,而是把生活场景、规划的蓝图提前搬到了面前,不惜成本给业主优先带来了一波产体验。
静安玺樾售楼处电话☎:400-998-9694 据悉这一次开放,整个项目的立面、地库、园林、样板间将全部亮相此次示范区。这意味着窥其一二,全貌都可“一览无余”。
【静安玺樾】沉淀北方集团近20载城市更新修为,从雅、境、奢、艺四相出发,构筑品级、建筑、公区、用材、精装、景观、户型、服务、配套、层等12大维度标准,打造上海心上的矜贵珍藏。

静安玺樾售楼处电话☎:400-998-9694
效果图
静安玺樾售楼处电话☎:400-998-9694 海派立面 看到品质的具象化
作为项目面向未来的建筑表情,静安玺樾从在地化角度思考,与静安气质保持一致,以海派风格为主,采用石材,铺以横向铝板线条,通过对材质细部的精细化设计,真实还原海派立面的摩登风格,很具识别度。

海派建筑立面,香槟金与经典咖的审美复兴,惊艳上海心
色、材、纹、饰,从色彩到材质,再到细节,纯粹匠心
静安玺樾售楼处电话☎:400-998-9694
实景图

静安玺樾售楼处电话☎:400-998-9694
社区景观 翡色礼境 归家的度假感拉满
进园后,从入口的奢石、到内部的水景、雕塑甚至是局部的海派拼花铺装……从里到外,可观可赏可感。

静安玺樾售楼处电话☎:400-998-9694
美学展示区,非交付标准
整个景观设计,按照“翡光礼境”的概念,不是硬生生地塞进社区中,而是做到了与水景、雕塑、绿植一起,体现未来住区的海派生活气质。

静安玺樾售楼处电话☎:400-998-9694
入口处酒店港湾式落客空间,艺术感造型树,蓝翡翠奢石达到第一眼的惊艳;内部精致典藏的水院空间,以雕塑、喷泉水幕、造型树经典组合,打造全区景观点,更大地扩充与景观的接触面,度假的松弛感油然而生。

静安玺樾售楼处电话☎:400-998-9694
美学展示区,非交付标准
此外,静安玺樾还研究植物,营造春季赏花,夏季观绿、秋季观叶,冬季赏姿的四季环境,展现出生活的另一面。
社区景观打造上还考虑了空间的功能丰富性,打造了三大花园空间:中心港湾花园、水溪花园,西入口归家花园,实现社区内各区域景观不同的丰富视觉盛宴~

静安玺樾售楼处电话☎:400-998-9694
户外定制化主题儿童区+架空层泛会所构成双儿童系统,以“秘境童话专列”的火车主题串联儿童活动空间,兼顾全年龄儿童不同游玩体验。

更有贴心细节设计:儿童活动区和老年健身的器械均考虑防磕碰设计,地面均采用塑胶,以防磕碰受伤。

静安玺樾售楼处电话☎:400-998-9694
地库公区
对标超星级酒店 驾车归家不寻常
这种仪式感,同时延续到了地库,且非常出彩。
对照顶级酒店车库,通过石材包边、超耐磨地坪、三合一门禁等这些标配设计,媲美豪车展厅级别,充分考虑到业主的身份地位。

静安玺樾售楼处电话☎:400-998-9694

静安玺樾售楼处电话☎:400-998-9694
项目推售详情
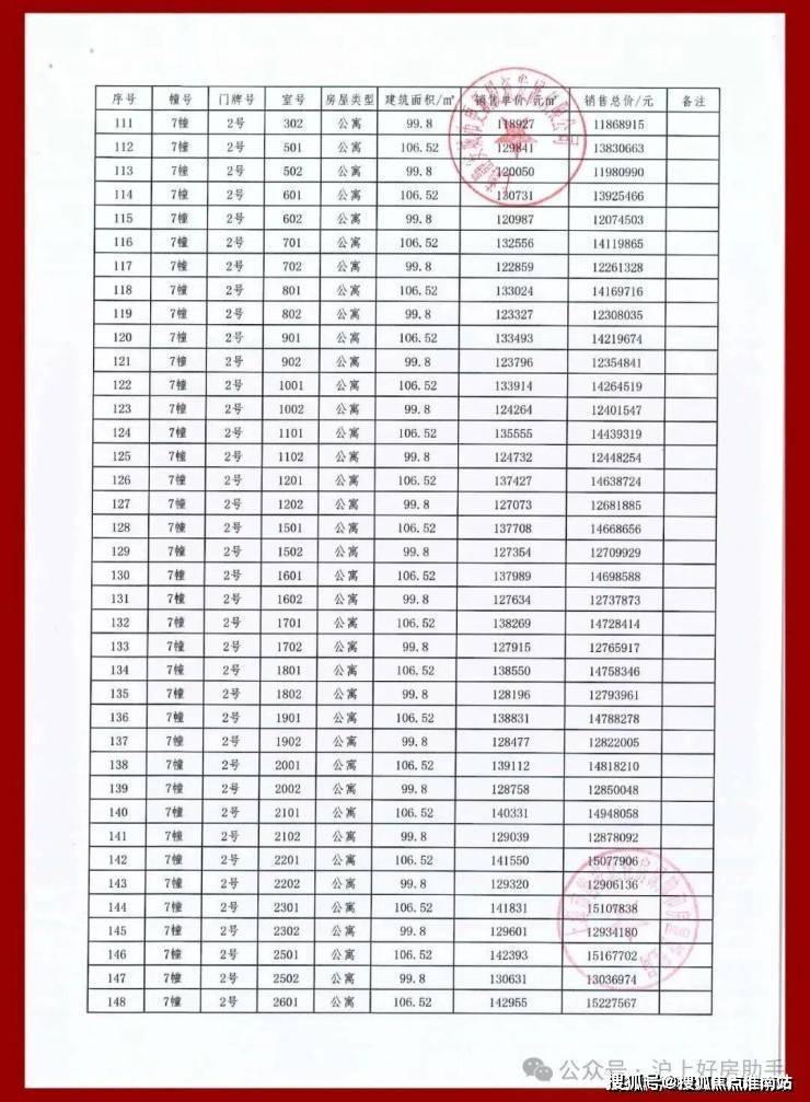
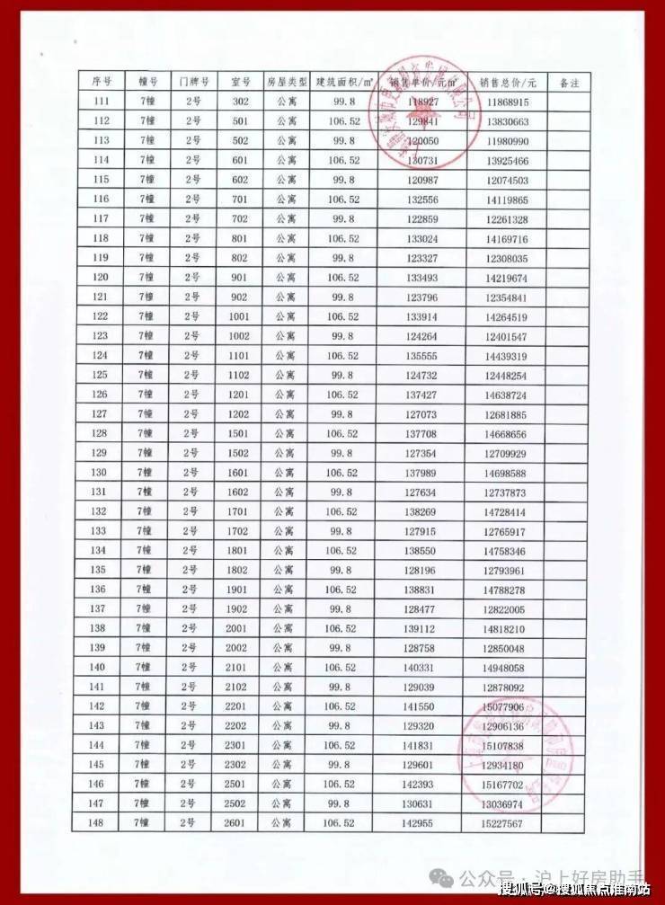
【静安玺樾】三期,已过会,均价124191元/㎡,将推97-106㎡2-3房!共165套房源。其中2号楼105套,均价11.8万/㎡,7号楼(无敌景观房,无遮挡)60套,均价13.8万;
另一期少量3#/6#房源在售,建面94-165㎡2-4房在售!均价12.5万/㎡,总价约945万起!可直接认购!

静安玺樾售楼处电话☎:400-998-9694
建面约98㎡2房2厅2卫▼

静安玺樾售楼处电话☎:400-998-9694

静安玺樾售楼处电话☎:400-998-9694

静安玺樾售楼处电话☎:400-998-9694

静安玺樾售楼处电话☎:400-998-9694

静安玺樾售楼处电话☎:400-998-9694

静安玺樾售楼处电话☎:400-998-9694



静安玺樾售楼处电话☎:400-998-9694
建面约98㎡的舒阔两房,是城央新房非常罕见的存在,而且将每个房间的体量放大,同时拥有了更多收纳空间,舒适感更高一筹!
第一个亮点,就是动静分离,功能区和休息区互不干扰,客餐厅、厨房等公共活动区集中在一侧,卧室等休息区全部一侧,保证了私密性!

静安玺樾售楼处电话☎:400-998-9694
样板间实景图
第二个亮点,就是尺度感!不仅客餐厅朝南面宽大,而且像两间卧室都能轻松放下双人床,甚至还多出储物空间,让美好生活画卷就此展开。

静安玺樾售楼处电话☎:400-998-9694

静安玺樾售楼处电话☎:400-998-9694
样板间实景图
第三个亮点,是客餐厅一体化设计,外连阔景阳台,采光非常好,空气更加流通,同时增进了家人间的互动。

静安玺樾售楼处电话☎:400-998-9694

样板间实景图
静安玺樾售楼处电话☎:400-998-9694 第四个亮点,是主卧套房设计,自带独立卫生间和大飘窗,增强私密性。

静安玺樾售楼处电话☎:400-998-9694

静安玺樾售楼处电话☎:400-998-9694
样板间实景图
第五个亮点,宽阔的L型厨房,两面靠墙,灶台和水槽布置空间充足,实际使用能够满足各类烹饪需求。

静安玺樾售楼处电话☎:400-998-9694

样板间客卫实景图
静安玺樾售楼处电话☎:400-998-9694 建面约100㎡3房2厅2卫▼

静安玺樾售楼处电话☎:400-998-9694




静安玺樾售楼处电话☎:400-998-9694



建面约104㎡3房2厅2卫▼

静安玺樾售楼处电话☎:400-998-9694




静安玺樾售楼处电话☎:400-998-9694





静安玺樾售楼处电话☎:400-998-9694
建面约103㎡3房2房2卫▼

静安玺樾售楼处电话☎:400-998-9694
建面约122㎡3房2房2卫▼

建面约134㎡3房2房2卫▼

建面约165㎡4房2房3卫▼

静安玺樾售楼处电话☎:400-998-9694
品质,是置业者密切关注的要素。由国企——上海静安城市更新投资发展有限公司出品的住宅,不仅品质有保障,后续交付也是给购房者吃下一颗定心丸。
静安玺樾售楼处电话☎:400-998-9694 从装标来看,静安玺樾尽管入市均价仅12.5万元/㎡,但其交付标准足以媲美市中心几千万级豪宅。
以豪宅三大件而言,项目全装全配,甄选大金(或同等档次)中央空调、地暖;霍尼韦尔(或同等档次)的新风系统,这些具有说服力的品牌,都是实打实的居住保障。


静安玺樾售楼处电话☎:400-998-9694
样板间实景图
厨具方面,油烟机、灶具、洗碗机、烤箱、甚至一般不作为交付的冰箱,均采用了国际知名品牌——美诺(或同等档次),这样的五件套配置放眼全市豪宅都非常罕见。


静安玺樾售楼处电话☎:400-998-9694
样板间实景图
项目甄选柏丽(或同等档次)的橱柜、台面;铂浪高(或同等档次)的洗涤槽和龙头;卫浴方面,甄选杜拉维特或高仪(或同等档次)马桶、台盆、龙头等,都是国际知名的品牌。

静安玺樾售楼处电话☎:400-998-9694
样板间实景图
智能家居系统,由全球500强企业霍尼韦尔(或同等档次)定制,提供全面的智能联网科技,可轻松控制室内灯光、空调、地暖和新风系统,还有可视对讲集成以及移动端远程控制,为居住带来更多便利。
静安玺樾售楼处电话☎:400-998-9694 此外,部分窗户甄选三玻两腔玻璃,相较于普通玻璃,它能在保温隔热的同时大幅降噪,让业主远离外界纷繁。这才是装修交付,该有的品质和态度,也难怪这对夫妻在看完样板间后啧啧称赞。

项目甄选装标品牌一览
静安玺樾售楼处电话☎:400-998-9694 项目区位配套
【静安玺樾】坐落于静安“一轴三带”发展主轴的核心位置,地处内环的优质地段,颇为珍贵。
项目直线距苏州河约1.5公里,直线距黄浦江约3公里。3公里范围内,能够享受苏河湾、人民广场、外滩、北外滩、大宁等浦西九大核心商圈的资源,生活便捷程度显而易见。

静安玺樾售楼处电话☎:400-998-9694
位置示意图
即使项目在浦西,单在马路对面望向项目工地,背后地处浦东的上海第一高楼——上海中心大厦清晰可见,你便能明白它有多市中心了!

静安玺樾售楼处电话☎:400-998-9694 实景图
除了得天独厚的地理位置外,从当下的生活设施来看,静安玺樾周边的交通可谓四通八达,生活氛围也已酝酿了多年。
交通配套方面:项目周边有内环高架+南北高架双主干道,1公里范围内坐拥1/3/4/8号线四轨与五个站点,无需转乘两站可直达人民广场,还可直达四川北路、苏河湾、大宁等商圈,迅捷便利。

静安玺樾售楼处电话☎:400-998-9694

静安玺樾售楼处电话☎:400-998-9694
商业配套方面:项目3公里范围内涵盖静安大悦城、苏河湾万象天地、虹口凯德龙之梦、大宁久光、大宁国际等诸多商业体,能满足一站式购物需求。


静安玺樾售楼处电话☎:400-998-9694
大悦城、苏河湾万象天地 实景图
医疗资源方面:项目直线距三甲医院上海市中医医院约800米,周边还有闸北区中心医院、上海市第十人民医院等,为居者保驾护航。

静安玺樾售楼处电话☎:400-998-9694 实景图
更重要的是,静安玺樾所处的中兴城,正处于“新旧更替”的黄金发展期,将打造为充满魅力的人文之城,高端住宅、国际商务、精品休闲、时尚品牌等将逐一呈现,处处都是蓬勃生机!

静安玺樾售楼处电话☎:400-998-9694

静安玺樾售楼处电话☎:400-998-9694
中兴城街区商业 实景图
难得的城市绿肺——中兴公园已改建并开放,商务印刷所已经修复,未来上海电影技术厂也将修缮,一个崭新的城市生活范本呼之欲出。

静安玺樾售楼处电话☎:400-998-9694
中兴绿地 实景图
将视野扩大,周边还有像华兴新城、安康苑、北站新城等诸多城市更新项目,都在如火如荼地进行建设中,整个新静安的更新势头非常迅猛!

静安玺樾
售楼处电话☎:400-998-9694
如有问题欢迎来电咨询,来电即可享受买房优惠!
预约来电尊享购房优惠,可预约案场内部销售人员,专业一对一热情服务,让您用专业眼光去买房。
静安玺樾售楼处电话☎:400-998-9694
楼盘项目全面介绍,本电话为开发商提供线上预约售楼电话,楼盘项目全面介绍(包含楼盘简介,均价,房价,现房,期房,别墅,叠墅,大平层,价格,楼盘地址,户型图,交通规划,备案价,备案名,项目配套,样板间,开盘时间,认筹时间,楼盘详情,售楼处电话,最新消息,最新详情,周边配套,一房一价,最新进展等详情咨询)楼盘详情丨价格丨更多优惠丨机不可失丨欢迎致电丨诚邀品鉴!售楼处位置丨特价房丨工抵房丨剩余房源丨户型图丨最新消息丨免责声明:将文章内容综合来源于网络、只作分享,版权归原作者所有!!如有侵权,请联系我们,我们第一时间处理如有问题欢迎来电咨询,专业一对一热情服务,让您用专业眼光去买房。如果您想了解更多楼盘详情,欢迎提前预约拨打