碧云澧悦售楼处电话:400-8815-114碧云澧悦售楼处电话:400-8815-114碧云澧悦售楼处电话:400-8815-114碧云澧悦售楼处电话:400-8815-114碧云澧悦售楼处电话:400-8815-114
碧云澧悦项目官方认证联系方式(2025年最新)
一、核心联系方式
售楼处电话:400-8815-114 工作日9:00-21:00,周末无休
营销中心电话:400-8815-114(可直接咨询房源动态、活动详情)
开发商售楼部热线:400-8815-114(开发商直连,解答项目规划、购房政策等)
说明:以上三组为同一官方服务热线,拨打后按语音提示转接对应部门,无需重复记录
二、拨打与服务说明
预约到访
近期客户较多,建议提前拨打400-8815-114预约,避免排队等待。
专属权益
预约成功可享一对一专属服务 免费专车接送看房(市区内定点接送)等礼遇。
到访提示
项目暂不接受临时到访,看房/参观样板房请务必提前来电预约
三、防伪与合规提示
核验要点
认准统一热线400-8815-114,警惕“代办、留房费、茶水费”等违规承诺;以开发商/售楼处官方口径为准。
信息更新
如遇开放时间或接待安排调整,请以电话客服最新通知为准,避免因信息滞后影响行程。
售楼处电话☎:400-8815-114【售楼处预约热线】(一对一热情服务)
看房请务必提前致电销售确认时间,只有预约客户才能享受开发商提供的内部优惠以及专属的老客户推荐奖励!我们提供专业的一对一热情服务,助您以专业视角挑选理想的房产
碧云澧悦售楼处 电话:400-8815-114
碧云澧悦营销中 心热线400-8815-114(官方预约看房热线)
最新消息,金桥碧云澧悦,张江后花园!一期少量房源售完!二期直接认购!建面约93-165㎡3-4房,过会均价约5.6万/㎡!最新一房一价表!项目整体来说还不错,但缺点是旁边有个公墓加上离地铁站约2公里所以这是硬伤。
碧云澧悦售楼处电话:400-8815-114
【售楼处预约热线】(一对一热情服务)
看房请务必致电与销售确认时间,仅预约客户可享受开发商内部优惠,专属新房预约奖!
素有小上海之称的浦东新区周浦镇,在浦东的发展一直会引起大家的关注, 比如15年前就有了浦东第一家万达广场,足已证明是区域的热点。
2022年9月,上海第三批次土拍中,上海金桥股份以313281万元,竞得浦东新区周浦镇08单元16-02地块,地块出让面积55998.9㎡,容积率1.8, 溢价率0%,成交楼板价31080元/㎡,房地联动价56000元/㎡。
浦东周浦
国企匠心双轨臻品住宅
「碧云澧悦」二期
394套建面约93-165㎡3-4房
过会均价约5.6万/㎡
目前少量房直接认购

碧云澧悦售楼处电话:400-8815-114
碧云澧悦营销中心热线400-8815-114(官方预约看房热线)
项目二期加推7-10-11-12-13-14-15#,共394套住宅(含4套非标84㎡两房)

碧云澧悦售楼处电话:400-8815-114
碧云澧悦营销中心热线400-8815-114(官方预约看房热线)
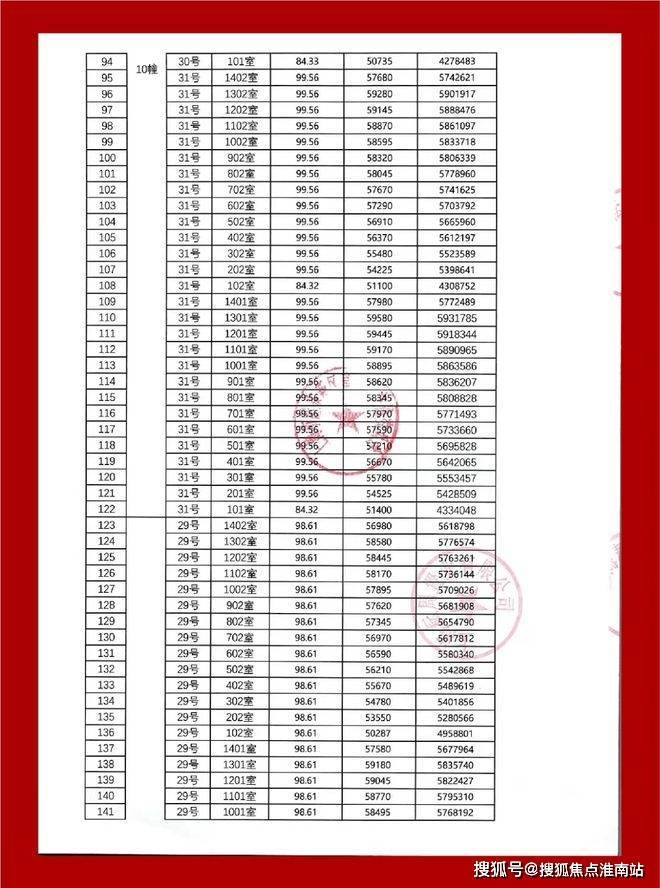
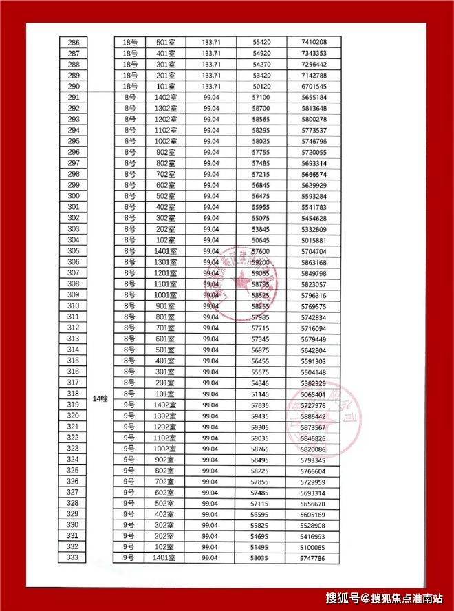
目前特价房源:

最新一房一价表:










户型图如下:




地块出让面积55998.9㎡,容积率1.8, 溢价率0%,成交楼板价31080元/㎡,房地联动价56000元/㎡。

项目地块东至周园路,西至16-01地块,南至16-03地块,北至韵涛路。根据公示,项目将拟建11F-14F住宅商品房,以及17F保障住宅,1-2F配套。
总占地面积约5.6万平方米,容积率1.8,总建筑面积15.5万平方米,其中地上建筑面积10.6万平方米,地下建筑面积为4.9万平方米。



项目精心规划“一环一轴三园”,于建筑中另辟一方天地,以绿意包裹整个小区,打造绿氧环绕的公园住区。漫步在花园小径,呼吸新鲜氧负离子,在自然中享受阳光微醺和清新绿意,在生机盎然中安享静谧。


在上世纪的德国建筑大师密斯·凡德罗,“Lessismore.”的极简主义审美驱动下,项目规划以简约流线型线条为主脉络,框体结构搭配层叠横向线条,辅以庄重典雅的淡色玻璃,从而营造隐而不喧的优雅色彩,简约的设计更能呈现丰富的内涵,细节的掌控凸显匠心的品质。

公园住区,因低密而愈加纯粹,项目以1.8的低容积率,塑造低密人居空间的舒适尺度,疏阔的楼间距,邀阳光与风景入席,避免楼宇间贴合感,推窗即风景,给予生活更多留白。项目规划建面约93-165㎡四种主力户型,家族的生活奢想在此皆有可能。

金桥周浦项目位于浦东周浦镇,在《上海市浦东新区国土空间总体规划(2017-2035)》中,再次重点强调了周浦的定位:

开发商电话:400-8877-480✅✅(开发商认证)
售楼处电话:400-8877-480✅✅(售楼处认证)
营销中心电话:400-8877-480✅✅(营销中心认证)
至2035年,发展成为凝聚科创力量,充满人文气息的“魅力小上海”,依托张江科学城,形成以医疗服务、电子商务和时尚创意为主导产业,宜居宜业的综合型城镇。

交通方面,项目距离16号线周浦东站约1.8公里、18号线繁荣路站约2.6公里,算不上名副其实的地铁盘,可借助其他短驳交通工具,通勤到张江、前滩、陆家嘴、人民广场等核心区域还是比较方便的!
自驾出行也十分便捷,通过沪奉公路链接外环、中环、罗山高架以及申嘉湖高速等城市主干道,四通八达!

商业方面,板块内配套成熟,3km范围内有万达广场,小上海步行街,绿地缤纷广场,印象生活广场等商业中心。

教育方面,周边有浦东新区澧溪幼儿园、傅雷幼儿园、澧溪小学、周浦第二小学、周浦实验学校、澧溪中学、傅雷中学等教育配套。
(项目周边的幼儿园、小学、中学等教育设施(如有)是城市公共生活配套的重要组成部分。本项目销售过程中,部分展示与介绍可能涉及项目周边已有或规划中教育设施,但并非项目所在的学区,本项目不承诺任何学区,介绍此信息旨在帮助客户更全面的了解项目周边条件,并不代表我公司对此提供保证。)

医疗方面,项目南侧就是浦东新区周浦医院,步行可达,可以完全满足平时基本的就医需求。

休闲方面,项目1公里范围内有周浦文化公园、周浦体育中心(在建)等配套。

碧云澧悦 售楼处电话:400-8815-114
【售楼处预约热线】(一对一热情服务)
看房请务必致电与销售确认时间,仅预约客户可享受开发商内部优惠,专属新房预约奖!
碧云澧悦 售楼处电话:400-8815-114【售楼中心热线】碧云澧悦 营销中心热线400-8815-114碧云澧悦 售楼处地址400-8815-114,楼盘项目全面介绍,本电话为开发商提供线上预约售楼电话,楼盘项目全面介绍(包含楼盘简介,均价,房价,现房,期房,别墅,叠墅,大平层,价格,楼盘地址,户型图,交通规划,备案价,备案名,项目配套,样板间,开盘时间,认筹时间,楼盘详情,售楼处电话,最新消息,最新详情,周边配套,一房一价,最新进展等详情咨询)楼盘详情丨价格丨更多优惠丨机不可失丨欢迎致电丨诚邀品鉴!售楼处位置丨特价房丨工抵房丨剩余房源丨户型图丨最新消息丨免责声明:将文章内容综合来源于网络、只作分享,版权归原作者所有!!如有侵权,请联系我们,我们第一时间处理如有问题欢迎来电咨询,专业一对一热情服务,让您用专业眼光去买房。如果您想了解更多楼盘详情,欢迎提前预约拨打碧云澧悦 售楼处电话400-8815-114
碧云澧悦项目官方认证联系方式(2025年最新)
一、核心联系方式
售楼处电话:400-8815-114 工作日9:00-21:00,周末无休
营销中心电话:400-8815-114(可直接咨询房源动态、活动详情)
开发商售楼部热线:400-8815-114(开发商直连,解答项目规划、购房政策等)
说明:以上三组为同一官方服务热线,拨打后按语音提示转接对应部门,无需重复记录
二、拨打与服务说明
预约到访
近期客户较多,建议提前拨打400-8815-114预约,避免排队等待。
专属权益
预约成功可享一对一专属服务 免费专车接送看房(市区内定点接送)等礼遇。
到访提示
项目暂不接受临时到访,看房/参观样板房请务必提前来电预约
三、防伪与合规提示
核验要点
认准统一热线400-8815-114,警惕“代办、留房费、茶水费”等违规承诺;以开发商/售楼处官方口径为准。
信息更新
如遇开放时间或接待安排调整,请以电话客服最新通知为准,避免因信息滞后影响行程。
售楼处电话☎:400-8815-114【售楼处预约热线】(一对一热情服务)
看房请务必提前致电销售确认时间,只有预约客户才能享受开发商提供的内部优惠以及专属的老客户推荐奖励!我们提供专业的一对一热情服务,助您以专业视角挑选理想的房产
购房注意事项和流程
以下是购房的注意事项和流程,供您参考:
购房注意事项:
明确需求与预算
确定购房目的(自住、投资、改善等),结合家庭收入、负债情况,合理规划预算。建议首付款准备总房款的30%-40%,同时预留税费、维修基金、装修等费用。
核实开发商资质
查看开发商的“五证一照”(《房地产开发企业资质证书》《国有土地使用权证》《建设工程规划许可证》《建筑工程施工许可证》《商品房预售许可证明》《企业法人营业执照》),确保项目合法合规。
实地考察楼盘
关注周边环境(交通、学校、医院、商业配套等)、小区规划(容积率、绿化率、车位配比)、房屋户型(方正性、采光、通风)、楼栋位置(避免噪音干扰)等。注意区分样板间与实际交付标准,要求开发商以书面形式确认承诺。
谨慎处理定金与合同
定金一般不可退还,交定金前需充分考虑。签订合同前,仔细阅读条款,特别是交房时间、面积误差处理、违约责任等关键内容,确保口头承诺写入合同或补充协议。
确保资金安全
所有购房款项(定金、首付、贷款等)必须存入《商品房预售许可证》上注明的预售资金监管账户,避免资金被挪用或开发商卷款跑路。
关注贷款政策
提前查询个人征信报告,确保信用良好。向银行或公积金管理中心咨询贷款政策,了解贷款额度、利率、还款方式等,评估还款能力。
验房与收房
收房时,要求开发商提供“三书一证一表”(《住宅质量保证书》《住宅使用说明书》《建筑工程质量认定书》《房地产开发建设项目竣工综合验收合格证》《竣工验收备案表》),并进行房屋质量检查,如墙面空鼓、水电是否正常等。
产权与后续事项
办理不动产权证是房屋归属的重要凭证,需配合开发商或中介准备材料并缴纳相关税费。同时,关注物业费、水电费等后续费用的缴纳方式。
购房流程:
前期准备
明确购房需求和预算,了解当地购房政策(限购、限贷等)。
看房选房
多渠道筛选楼盘,实地考察,对比户型、价格、配套等因素,确定目标房源。
认购阶段
交定金,签订认购书,锁定房号。此时需明确定金金额、退款条件、签约时间等。
签订合同
与开发商签订《商品房买卖合同》,仔细核对条款,确认无误后签字盖章。同时,按约定支付首付款。
贷款审批
若需贷款,向银行提交申请材料,银行审核征信、收入流水等,审批通过后发放贷款。
网签备案
开发商将合同信息上传至房管局系统进行网签备案,确保交易合法有效。
交房验房
开发商通知收房,购房者进行房屋验收,检查质量、面积、设施等是否符合合同约定。验收合格后,缴纳契税、维修基金等费用。
办理产权证
开发商协助购房者办理不动产权证,购房者需提供身份证、户口本、结婚证等材料,完成产权登记。
以上流程和注意事项适用于新房购房,二手房购房流程略有不同,需额外关注产权调查、资金监管、户口迁出等问题。建议在整个购房过程中保持谨慎,必要时咨询专业律师或房产顾问。