岛上的院子-上海崇明(岛上的院子)2024年最新房价-小区环境-户型-停车位
扫描到手机,新闻随时看
扫一扫,用手机看文章
更加方便分享给朋友
岛上的院子售楼处电话☎:400-9939-964✔✔✔
上海崇明路劲象屿岛上的院子售楼处电话☎:400-9939-964✔✔✔
如有问题欢迎来电咨询,来电即可享受买房优惠!
预约来电尊享购房优惠,可预约案场内部销售人员,专业一对一热情服务,让您用专业眼光去买房。
岛上的院子售楼处电话:400-9939-964上海崇明路劲象屿岛上的院子售楼处电话:400-9939-964
从崇明山清水秀的自然环境出发
尊崇人类居住环境生态化
意欲创造一种生态型居住建筑环境
寥寥几笔 点山染水
清雅淡素 留白写意
带来滋养心灵的归所
岛上的院子售楼处电话:400-9939-964上海崇明路劲象屿岛上的院子售楼处电话:400-9939-964
项目鉴赏

岛上的院子售楼处电话:400-9939-964上海崇明路劲象屿岛上的院子售楼处电话:400-9939-964
基本信息
路劲象屿—— 岛上的院子
开发商:路劲地产&象屿地产
拿地时间:2020.10.15
产权年限:70年
占地面积:7.8万方
总建筑面积:13.4万方
计容住宅面积:7.9万方
绿 化 率:35%
容 积 率:1.01
停车位:920(地上10、地下910)
岛上的院子售楼处电话:400-9939-964上海崇明路劲象屿岛上的院子售楼处电话:400-9939-964
岛上的院子售楼处电话:400-9939-964上海崇明路劲象屿岛上的院子售楼处电话:400-9939-964
车位配比:1:1
总幢数:47幢楼
总户数:855套(洋房554套、联排301套)
梯户比:洋房一梯两户
物业公司:路劲物业
物业费:洋房4.9元/平/月、联排6.3元/平/月
在售面积:洋房75㎡(已售罄)、联排98/106/109㎡
在售价格(实际价格以具体一房一价表为准):联排约380-440万
交付标准:洋房装修、联排毛坯
层高:洋房2.9米,联排客厅挑空约6米
得房率:洋房约78%、联排约100%
首付比例: 洋房(首套35%,二套50%)、联排(首套35%,二套70%)
交房时间:2023.3.31
岛上的院子售楼处电话:400-9939-964上海崇明路劲象屿岛上的院子售楼处电话:400-9939-964
崇明岛生态价值重估
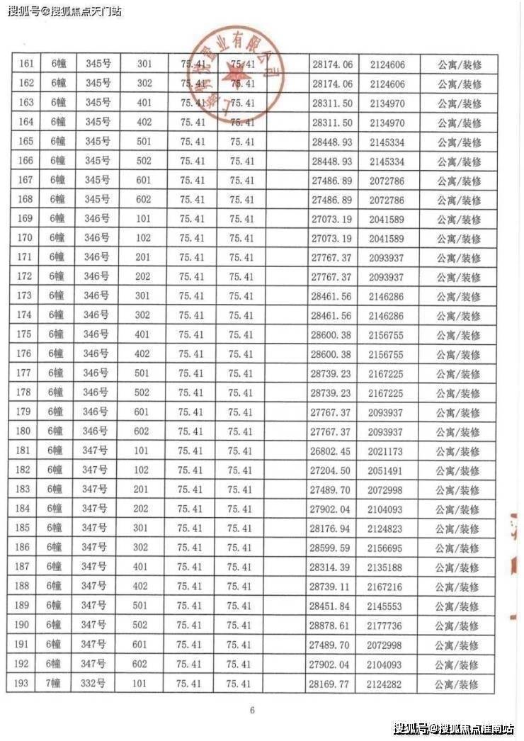
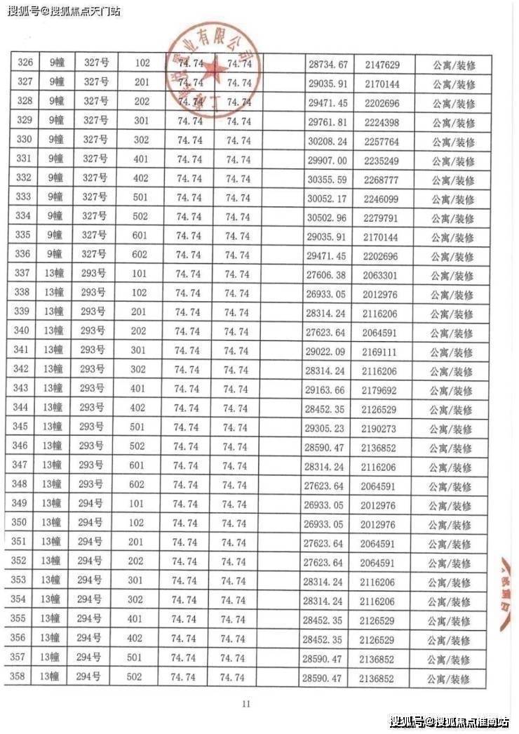
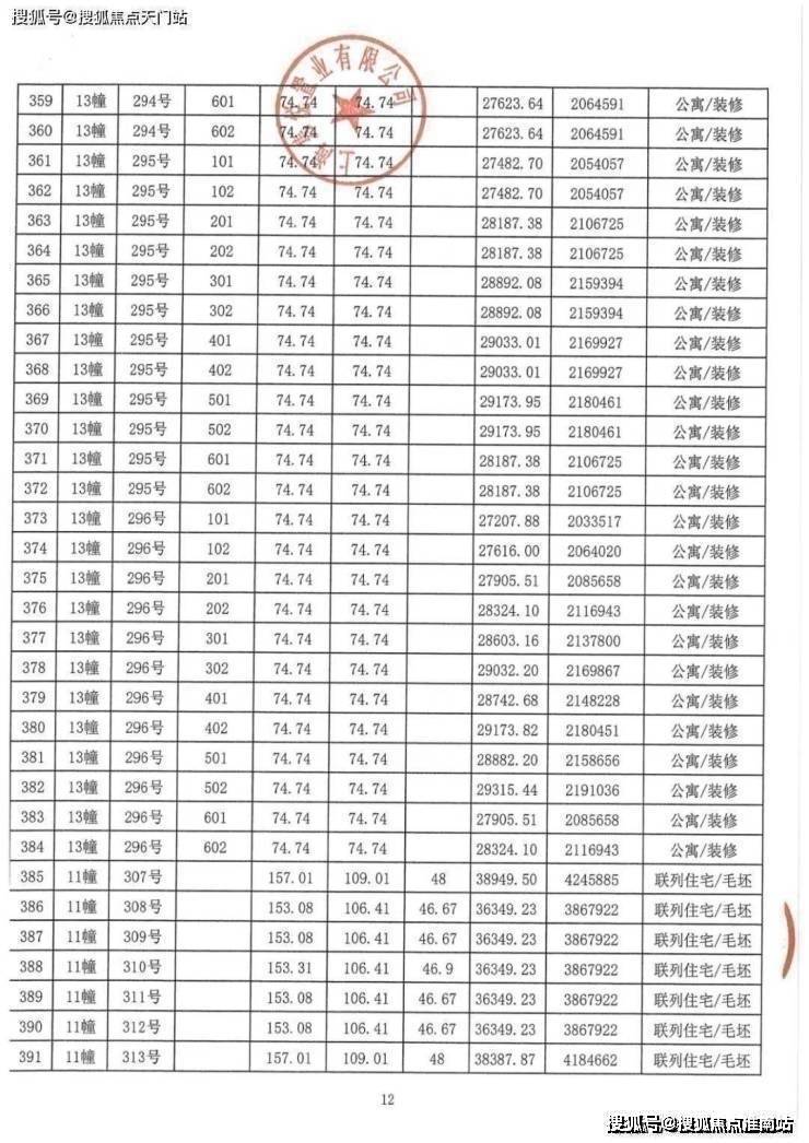
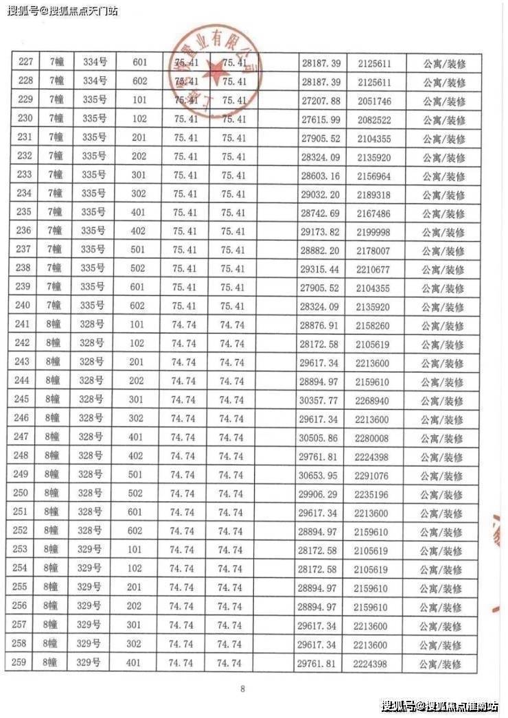
岛上的院子一房一价表:
岛上的院子售楼处电话:400-9939-964上海崇明路劲象屿岛上的院子售楼处电话:400-9939-964
品牌介绍
岛上的院子售楼处电话:400-9939-964上海崇明路劲象屿岛上的院子售楼处电话:400-9939-964路劲地产是中国上市房企32强,外资房地产企业连续八年排名第一,品牌实力雄厚,怀揣“用心筑造品质生活”的初心,先后打造了上海庄园,上海院子,佘山院子,上海派,悦茂府等热销项目。
象屿地产集团成立于1993年,作为世界500强国企,在上海开发了象屿滨江悦府、象屿大宁悦府、象屿虹桥悦府等一系列高端住宅项目。
【轨道交通网】
轨道交通崇明线(在建)已于2019年12月开工,而陈家镇站离我们项目约600米(规划),未来地铁4站申江路换乘12号线,5站金吉路换乘9号线。
【公交线路网】
申崇线等多条公交线路,畅达上海市区
【高速公路网】

临近主干道,距离G40沪陕高速口2.4公里。(数据来源于百度地图)
【高速铁路网】
岛上的院子售楼处电话:400-9939-964上海崇明路劲象屿岛上的院子售楼处电话:400-9939-964北沿江高铁规划已落地,预计年底动工。以后崇明实现高铁全覆盖,成为连接上海和江苏的重要的交通枢纽
【水路船运网】
吴淞码头、石洞口码头、宝杨路码头等连接堡镇和南门
生态资源

城市森林氧吧
40多万亩林地面积,森林覆盖率高达23.2%
(只占上海20%的岛上的院子售楼处电话:400-9939-964上海崇明路劲象屿岛上的院子售楼处电话:400-9939-964上海30%的森林面积)
真正的城市绿肺,鲜氧源,空气质量远高于市区。
负氧离子含量1000-2000个/立方厘米,相当于城市公园的3-5倍,空气优良率达92.9%。
东滩湿地公园
东滩湿地项目岛上的院子售楼处电话:400-9939-964上海崇明路劲象屿岛上的院子售楼处电话:400-9939-964,相当于232个世纪公园,这里仅已记录的鸟类就达312种,约占中国鸟类的1/4。此外,这里还生活着10种兽类,94种鱼类和31种甲壳类,其中就有著名的国家一级保护野生动物中华鲟。
长寿之乡

岛上的院子售楼处电话:400-9939-964上海崇明路劲象屿岛上的院子售楼处电话:400-9939-964崇明岛三面环江,一面临海,素有“长寿之乡,东海瀛洲”美誉,岛上人均寿命80.26岁,高于全国平均寿命8.26岁。

商业配套
生态实验社区已规划了高端完善的商业配套,建成后区域核心围绕湖泊配置有商业金融、商务办公、文化娱乐、酒店服务、体育健身,同时在居住区分中心还散布有其他服务配套。在建成前,也可依托陈家镇老镇现有商业、银行、超市、电器卖场、大药房等,生活便捷。

医疗配套
新华医院崇明分院,建筑面积11.2万平方米。拥有39个临床医技科室,29个病区。普外科、骨科、肿瘤科和超声科为上海市医学重点专科,心血管内科、神经内科、内分泌科等16个学科为崇明区医学重点学科,是崇明区域的医疗中心。
路劲象屿岛上的院子

岛上的院子售楼处电话:400-9939-964上海崇明路劲象屿岛上的院子售楼处电话:400-9939-964
产品
岛上的院子售楼处电话:400-9939-964上海崇明路劲象屿岛上的院子售楼处电话:400-9939-964崇明东滩路劲象屿·岛上的院子推出建面约75-109㎡洋房&联排
,共计房源401套,目前已经开始预约登记,售楼处&样板间持续开放中。
户型方正,横厅设计,具体户型图如下:
建面约75㎡两房两厅一卫
建面约94㎡两室两厅两卫
建面约109㎡两室两厅三卫(联排)
建面约106㎡两室两厅三卫(联排)
建面约109㎡两室两厅三卫(联排)
建面约106㎡两室两厅三卫(联排)
建面约98㎡两室两厅三卫(联排)
建面约89㎡两室两厅三卫(联排)
岛上的院子售楼处电话☎:400-9939-964✔✔✔
上海崇明路劲象屿岛上的院子售楼处电话☎:400-9939-964✔✔✔


四白落地的墙面,浅灰色混凝土地坪和无主灯设计,让空间更加简洁干净的同时,也为屋主希望‘家’和‘画廊’空间的结合成为可能。


开阔明亮的公区,将28层的天光云影引入室内,让屋主在行走、驻足其间,总能遇到诸多美好。



客厅沙发背后的深灰色烤漆书墙背后是书房的所在,以一扇2m长的深灰色烤漆移门控制开合,形成,形成“1+1”的可变空间组合。



客厅连通餐厨形成LDK一体化空间,至此,两边的落地窗形成通透的格局,让阳光照进,空气流通。


开放式的不锈钢岛台面向28层的城市全景而坐,窗外的摩天大楼和建筑物脚下熙熙攘攘的车水马龙尽收眼底。


岛台一侧,黑色厨柜内设燃气灶,作为中式厨房的天地,偶尔的爆炒蒸煮都不在话下。



书房和健身房的阳光和空气,穿过廊道的玻璃自然地进入室内,廊道由此变得明亮通透。


卧室是整个家中唯一需要私密性的空间,仅保留了休息和储物两个基础功能。



家庭中,卫生间的设计,也延续了整体极简的基调。
岛上的院子售楼处电话☎:400-9939-964✔✔✔
上海崇明路劲象屿岛上的院子售楼处电话☎:400-9939-964✔✔✔
唐诗100首
1.登鹳雀楼 /王之涣
白日依山尽,黄河入海流。
欲穷千里目,更上一层楼。
2.行宫 /元稹
寥落古行宫,宫花寂寞红。
白头宫女在,闲坐说玄宗。
3.相思 /王维
红豆生南国,春来发几枝。
愿君多采撷,此物最相思。
4.静夜思 /李白
床前明月光,疑是地上霜。
举头望明月,低头思故乡。
5.问刘十九/白居易
绿蚁新醅酒,红泥小火炉。
晚来天欲雪,能饮一杯无?
6.乐游原 / 李商隐
向晚意不适,驱车登古原。
夕阳无限好,只是近黄昏。
7.杂诗 /王维
君自故乡来,应知故乡事。
来日绮窗前,寒梅著花未?
8.宿建德江 /孟浩然
移舟泊烟渚,日暮客愁新。
野旷天低树,江清月近人。
9.八阵图 /杜甫
功盖三分国,名成八阵图。
江流石不转,遗恨失吞吴。
10.送别 / 王维
山中相送罢,日暮掩柴扉。
春草明年绿,王孙归不归?
最经典的100首唐诗,一生至少要读一次
11.怨情 / 李白
美人卷珠帘,深坐颦蛾眉。
但见泪痕湿,不知心恨谁。
12.听弹琴 / 刘长卿
泠泠七弦上,静听松风寒。
古调虽自爱,今人多不弹。
13.春晓 / 孟浩然
春眠不觉晓,处处闻啼鸟。
夜来风雨声,花落知多少。
14.江雪 / 柳宗元
千山鸟飞绝,万径人踪灭。
孤舟蓑笠翁,独钓寒江雪。
15.宫词 / 张祜
故国三千里,深宫二十年。
一声何满子,双泪落君前。
16.鹿柴 / 王维
空山不见人,但闻人语响。
返景入深林,复照青苔上。
17.竹里馆 / 王维
独坐幽篁里,弹琴复长啸。
深林人不知,明月来相照。
18.哥舒歌 / 西鄙人
北斗七星高,哥舒夜带刀。
至今窥牧马,不敢过临洮。
19.渡汉江 / 宋之问
岭外音书断,经冬复历春。
近乡情更怯,不敢问来人。
20.寻隐者不遇 / 贾岛
松下问童子,言师采药去。
只在此山中,云深不知处。
七言绝句
21.春怨 / 刘方平
纱窗日落渐黄昏,金屋无人见泪痕。
寂寞空庭春欲晚,梨花满地不开门。
22.乌衣巷 / 刘禹锡
朱雀桥边野草花,乌衣巷口夕阳斜。
旧时王谢堂前燕,飞入寻常百姓家。
23.陇西行 / 陈陶
誓扫匈奴不顾身,五千貂锦丧胡尘。
可怜无定河边骨,犹是春闺梦里人!
24.回乡偶书 / 贺知章
少小离家老大回,乡音无改鬓毛衰。
儿童相见不相识,笑问客从何处来。
25.江南逢李龟年 / 杜甫
岐王宅里寻常见,崔九堂前几度闻。
正是江南好风景,落花时节又逢君。
26.芙蓉楼送辛渐 / 王昌龄
寒雨连江夜入吴,平明送客楚山孤。
洛阳亲友如相问,一片冰心在玉壶。
27.闺怨 / 王昌龄
闺中少妇不知愁,春日凝妆上翠楼。
忽见陌头杨柳色,悔教夫婿觅封侯。
28.夜雨寄北 / 李商隐
君问归期未有期,巴山夜雨涨秋池。
何当共剪西窗烛,却话巴山夜雨时。
29. 九月九日忆山东兄弟 / 王维
独在异乡为异客,每逢佳节倍思亲。
遥知兄弟登高处,遍插茱萸少一人。
30. 凉州词 / 王翰
葡萄美酒夜光杯,欲饮琵琶马上催。
醉卧沙场君莫笑,古来征战几人回?
31. 赠别 / 杜牧
多情却似总无情,唯觉樽前笑不成。
蜡烛有心还惜别,替人垂泪到天明。
32. 宫词 / 朱庆馀
寂寂花时闭院门,美人相并立琼轩。
含情欲说宫中事,鹦鹉前头不敢言。
33. 嫦娥 / 李商隐
云母屏风烛影深,长河渐落晓星沉。
嫦娥应悔偷灵药,碧海青天夜夜心。
34. 逢入京使 / 岑参
故园东望路漫漫,双袖龙钟泪不干。
马上相逢无纸笔,凭君传语报平安。
35.黄鹤楼送孟浩然之广陵 / 李白
故人西辞黄鹤楼,烟花三月下扬州。
孤帆远影碧空尽,唯见长江天际流。
36.早发白帝城 / 李白
朝辞白帝彩云间,千里江陵一日还。
两岸猿声啼不住,轻舟已过万重山。
37.夜上受降城闻笛 / 李益
回乐峰前沙似雪,受降城外月如霜。
不知何处吹芦管,一夜征人尽望乡。
38.贾生 / 李商隐
宣室求贤访逐臣,贾生才调更无伦。
可怜夜半虚前席,不问苍生问鬼神。
39.寄人 / 张泌
别梦依依到谢家,小廊回合曲阑斜。
多情只有春庭月,犹为离人照落花。
40.枫桥夜泊 / 张继
月落乌啼霜满天,江枫渔火对愁眠。
姑苏城外寒山寺,夜半钟声到客船。
41.寄扬州韩绰判官 / 杜牧
青山隐隐水迢迢,秋尽江南草未凋。
二十四桥明月夜,玉人何处教吹箫?
42.遣怀 / 杜牧
落魄江南载酒行,楚腰纤细掌中轻。
十年一觉扬州梦,赢得青楼薄幸名。
43.秋夕 / 杜牧
银烛秋光冷画屏,轻罗小扇扑流萤。
天阶夜色凉如水,卧看牵牛织女星。
44.赤壁 / 杜牧
折戟沉沙铁未销,自将磨洗认前朝。
东风不与周郎便,铜雀春深锁二乔。
45.泊秦淮 /杜牧
烟笼寒水月笼沙,夜泊秦淮近酒家。
商女不知亡国恨,隔江犹唱《后庭花》。
五言律诗
46.喜见外弟又言别 / 李益
十年离乱后,长大一相逢。
问姓惊初见,称名忆旧容。
别来沧海事,语罢暮天钟。
明日巴陵道,秋山又几重。
47.送友人 / 李白
青山横北郭,白水绕东城。
此地一为别,孤蓬万里征。
浮云游子意,落日故人情。
挥手自兹去,萧萧班马鸣。
48.落花 / 李商隐
高阁客竟去,小园花乱飞。
参差连曲陌,迢递送斜晖。
肠断未忍扫,眼穿仍欲归。
芳心向春尽,所得是沾衣。
49.北青萝 / 李商隐
残阳西入崦,茅屋访孤僧。
落叶人何在,寒云路几层。
独敲初夜磬,闲倚一枝藤。
世界微尘里,吾宁爱与憎。
50.赠孟浩然 / 李白
吾爱孟夫子,风流天下闻。
红颜弃轩冕,白首卧松云。
醉月频中圣,迷花不事君。
高山安可仰,徒此揖清芬。
51.送梓州李使君 /王维
万壑树参天,千山响杜鹃。
山中一夜雨,树杪百重泉。
汉女输橦布,巴人讼芋田。
文翁翻教授,不敢倚先贤。
52.送杜少府之任蜀州 /王勃
城阙辅三秦,风烟望五津。
与君离别意,同是宦游人。
海内存知己,天涯若比邻。
无为在歧路,儿女共沾巾。
53.过故人庄 / 孟浩然
故人具鸡黍,邀我至田家。
绿树村边合,青山郭外斜。
开轩面场圃,把酒话桑麻。
待到重阳日,还来就菊花。
54.终南别业 / 王维
中岁颇好道,晚家南山陲。
兴来每独往,胜事空自知。
行到水穷处,坐看云起时。
偶然值林叟,谈笑无还期。
55.望月怀远 / 张九龄
海上生明月,天涯共此时。
情人怨遥夜,竟夕起相思。
灭烛怜光满,披衣觉露滋。
不堪盈手赠,还寝梦佳期。
56.过香积寺 / 王维
不知香积寺,数里入云峰。
古木无人径,深山何处钟。
泉声咽危石,日色冷青松。
薄暮空潭曲,安禅制毒龙。
57.草 / 白居易
离离原上草,一岁一枯荣。
野火烧不尽,春风吹又生。
远芳侵古道,晴翠接荒城。
又送王孙去,萋萋满别情。
58.山居秋暝 / 王维
空山新雨后,天气晚来秋。
明月松间照,清泉石上流。
竹喧归浣女,莲动下渔舟。
随意春芳歇,王孙自可留。
59.渡荆门送别 / 李白
渡远荆门外,来从楚国游。
山随平野尽,江入大荒流。
月下飞天镜,云生结海楼。
仍怜故乡水,万里送行舟。
60.登岳阳楼 / 杜甫
昔闻洞庭水,今上岳阳楼。
吴楚东南坼,乾坤日夜浮。
亲朋无一字,老病有孤舟。
戎马关山北,凭轩涕泗流。
61.旅夜书怀 / 杜甫
细草微风岸,危樯独夜舟。
星垂平野阔,月涌大江流。
名岂文章著,官应老病休。
飘飘何所似,天地一沙鸥。
62.月夜忆舍弟 / 杜甫
戍鼓断人行,边秋一雁声。
露从今夜白,月是故乡明。
有弟皆分散,无家问死生。
寄书长不达,况乃未休兵。
63.月夜 / 杜甫
今夜鄜州月,闺中只独看。
遥怜小儿女,未解忆长安。
香雾云鬟湿,清辉玉臂寒。
何时倚虚幌,双照泪痕干。
64.春望 / 杜甫
国破山河在,城春草木深。
感时花溅泪,恨别鸟惊心。
烽火连三月,家书抵万金。
白头搔更短,浑欲不胜簪。
65.春宫怨 / 杜荀鹤
早被婵娟误,欲妆临镜慵。
承恩不在貌,教妾若为容。
风暖鸟声碎,日高花影重。
年年越溪女,相忆采芙蓉。
七言律诗
66.登金陵凤凰台 / 李白
凤凰台上凤凰游,凤去台空江自流。
吴宫花草埋幽径,晋代衣冠成古丘。
三山半落青天外,二水中分白鹭洲。
总为浮云能蔽日,长安不见使人愁。
67.遣悲怀 / 元稹
昔日戏言身后意,今朝都到眼前来。
衣裳已施行看尽,针线犹存未忍开。
尚想旧情怜婢仆,也曾因梦送钱财。
诚知此恨人人有,贫贱夫妻百事哀。
68.无题 / 李商隐
重帏深下莫愁堂,卧后清宵细细长。
神女生涯原是梦,小姑居处本无郎。
风波不信菱枝弱,月露谁教桂叶香。
直道相思了无益,未妨惆怅是清狂。
69.无题 / 李商隐
相见时难别亦难,东风无力百花残。
春蚕到死丝方尽,蜡炬成灰泪始干。
晓镜但愁云鬓改,夜吟应觉月光寒。
蓬山此去无多路,青鸟殷勤为探看。
70.无题 / 李商隐
飒飒东风细雨来,芙蓉塘外有轻雷。
金蟾啮锁烧香入,玉虎牵丝汲井回。
贾氏窥帘韩掾少,宓妃留枕魏王才。
春心莫共花争发,一寸相思一寸灰!
71.无题 / 李商隐
昨夜星辰昨夜风,画楼西畔桂堂东。
身无彩凤双飞翼,心有灵犀一点通。
隔座送钩春酒暖,分曹射覆蜡灯红。
嗟余听鼓应官去,走马兰台类转蓬。
72. 锦瑟 / 李商隐
锦瑟无端五十弦,一弦一柱思华年。
庄生晓梦迷蝴蝶,望帝春心托杜鹃。
沧海月明珠有泪,蓝田日暖玉生烟。
此情可待成追忆,只是当时已惘然。
73. 黄鹤楼 / 崔颢
昔人已乘黄鹤去,此地空余黄鹤楼。
黄鹤一去不复返,白云千载空悠悠。
晴川历历汉阳树,芳草萋萋鹦鹉洲。
日暮乡关何处是?烟波江上使人愁。
74. 寄李儋元锡 / 韦应物
去年花里逢君别,今日花开又一年。
世事茫茫难自料,春愁黯黯独成眠。
身多疾病思田里,邑有流亡愧俸钱。
闻道欲来相问讯,西楼望月几回圆。
75. 蜀相 / 杜甫
丞相祠堂何处寻,锦官城外柏森森。
映阶碧草自春色,隔叶黄鹂空好音。
三顾频烦天下计,两朝开济老臣心。
出师未捷身先死,长使英雄泪满襟。
76. 登高 / 杜甫
风急天高猿啸哀,渚清沙白鸟飞回。
无边落木萧萧下,不尽长江滚滚来。
万里悲秋常作客,百年多病独登台。
艰难苦恨繁霜鬓,潦倒新停浊酒杯。
77. 闻官军收河南河北 / 杜甫
剑外忽传收蓟北,初闻涕泪满衣裳。
却看妻子愁何在,漫卷诗书喜欲狂。
白日放歌须纵酒,青春作伴好还乡。
即从巴峡穿巫峡,便下襄阳向洛阳。
78. 西塞山怀古 / 刘禹锡
王濬楼船下益州,金陵王气黯然收。
千寻铁锁沉江底,一片降幡出石头。
人世几回伤往事,山形依旧枕寒流。
今逢四海为家日,故垒萧萧芦荻秋。
79. 登楼 / 杜甫
花近高楼伤客心,万方多难此登临。
锦江春色来天地,玉垒浮云变古今。
北极朝廷终不改,西山寇盗莫相侵。
可怜后主还祠庙,日暮聊为《梁甫吟》。
80. 无题 / 李商隐
来是空言去绝踪,月斜楼上五更钟。
梦为远别啼难唤,书被催成墨未浓。
蜡照半笼金翡翠,麝熏微度绣芙蓉。
刘郎已恨蓬山远,更隔蓬山一万重!
五言古诗
81.月下独酌 / 李白
花间一壶酒,独酌无相亲。
举杯邀明月,对影成三人。
月既不解饮,影徒随我身。
暂伴月将影,行乐须及春。
我歌月徘徊,我舞影零乱。
醒时同交欢,醉后各分散。
永结无情游,相期邈云汉。
82.送别 / 王维
下马饮君酒,问君何所之?
君言不得意,归卧南山陲。
但去莫复问,白云无尽时。
83.春思 / 李白
燕草如碧丝,秦桑低绿枝。
当君怀归日,是妾断肠时。
春风不相识,何事入罗帏。
84.梦李白 / 杜甫
浮云终日行,游子久不至。
三夜频梦君,情亲见君意。
告归常局促,苦道来不易。
江湖多风波,舟楫恐失坠。
出门搔白首,若负平生志。
冠盖满京华,斯人独憔悴。
孰云网恢恢,将老身反累。
千秋万岁名,寂寞身后事。
85.望岳 / 杜甫
岱宗夫如何?齐鲁青未了。
造化钟神秀,阴阳割昏晓。
荡胸生曾云,决眦入归鸟。
会当凌绝顶,一览众山小。
86.赠卫八处士 / 杜甫
人生不相见,动如参与商。
今夕复何夕,共此灯烛光。
少壮能几时,鬓发各已苍。
访旧半为鬼,惊呼热中肠。
焉知二十载,重上君子堂。
昔别君未婚,儿女忽成行。
怡然敬父执,问我来何方。
问答未及已,儿女罗酒浆。
夜雨剪春韭,新炊间黄粱。
主称会面难,一举累十觞。
十觞亦不醉,感子故意长。
明日隔山岳,世事两茫茫。
87.佳人 / 杜甫
绝代有佳人,幽居在空谷。
自云良家子,零落依草木。
关中昔丧乱,兄弟遭杀戮。
官高何足论,不得收骨肉。
世情恶衰歇,万事随转烛。
夫婿轻薄儿,新人美如玉。
合昏尚知时,鸳鸯不独宿。
但见新人笑,那闻旧人哭。
在山泉水清,出山泉水浊。
侍婢卖珠回,牵萝补茅屋。
摘花不插发,采柏动盈掬。
天寒翠袖薄,日暮倚修竹。
88.感遇 / 张九龄
兰叶春葳蕤,桂华秋皎洁。
欣欣此生意,自尔为佳节。
谁知林栖者,闻风坐相悦。
草木有本心,何求美人折!
七言古诗
89. 长恨歌 (节选)/ 白居易
汉皇重色思倾国,御宇多年求不得。
杨家有女初长成,养在深闺人未识。
天生丽质难自弃,一朝选在君王侧。
回眸一笑百媚生,六宫粉黛无颜色。
春寒赐浴华清池,温泉水滑洗凝脂。
侍儿扶起娇无力,始是新承恩泽时。
云鬓花颜金步摇,芙蓉帐暖度春宵。
春宵苦短日高起,从此君王不早朝。
承欢侍宴无闲暇,春从春游夜专夜。
后宫佳丽三千人,三千宠爱在一身。
金屋妆成娇侍夜,玉楼宴罢醉和春。
姊妹弟兄皆列土,可怜光彩生门户。
遂令天下父母心,不重生男重生女。
骊宫高处入青云,仙乐风飘处处闻。
缓歌慢舞凝丝竹,尽日君王看不足。
渔阳鼙鼓动地来,惊破霓裳羽衣曲。
90.琵琶行(节选) / 白居易
我闻琵琶已叹息,又闻此语重唧唧。
同是天涯沦落人,相逢何必曾相识!
我从去年辞帝京,谪居卧病浔阳城。
浔阳地僻无音乐,终岁不闻丝竹声。
住近湓江地低湿,黄芦苦竹绕宅生。
其间旦暮闻何物?杜鹃啼血猿哀鸣。
春江花朝秋月夜,往往取酒还独倾。
岂无山歌与村笛?呕哑嘲哳难为听。
今夜闻君琵琶语,如听仙乐耳暂明。
莫辞更坐弹一曲,为君翻作《琵琶行》。
感我此言良久立,却坐促弦弦转急。
凄凄不似向前声,满座重闻皆掩泣。
座中泣下谁最多?江州司马青衫湿。
91.白雪歌送武判官归京 / 岑参
北风卷地白草折,胡天八月即飞雪。
忽如一夜春风来,千树万树梨花开。
散入珠帘湿罗幕,狐裘不暖锦衾薄。
将军角弓不得控,都护铁衣冷难着。
瀚海阑干百丈冰,愁云惨淡万里凝。
中军置酒饮归客,胡琴琵琶与羌笛。
纷纷暮雪下辕门,风掣红旗冻不翻。
轮台东门送君去,去时雪满天山路。
山回路转不见君,雪上空留马行处。
92.宣州谢脁楼饯别校书叔云 / 李白
弃我去者,昨日之日不可留;
乱我心者,今日之日多烦忧。
长风万里送秋雁,对此可以酣高楼。
蓬莱文章建安骨,中间小谢又清发。
俱怀逸兴壮思飞,欲上青天览明月。
抽刀断水水更流,举杯销愁愁更愁。
人生在世不称意,明朝散发弄扁舟。
93.梦游天姥吟留别 / 李白
海客谈瀛洲,烟涛微茫信难求;
越人语天姥,云霞明灭或可睹。
天姥连天向天横,势拔五岳掩赤城。
天台四万八千丈,对此欲倒东南倾。
我欲因之梦吴越,一夜飞度镜湖月。
湖月照我影,送我至剡溪。
谢公宿处今尚在,渌水荡漾清猿啼。
脚著谢公屐,身登青云梯。
半壁见海日,空中闻天鸡。
千岩万转路不定,迷花倚石忽已暝。
熊咆龙吟殷岩泉,栗深林兮惊层巅。
云青青兮欲雨,水澹澹兮生烟。
列缺霹雳,丘峦崩摧。
洞天石扉,訇然中开。
青冥浩荡不见底,日月照耀金银台。
霓为衣兮风为马,云之君兮纷纷而来下。
虎鼓瑟兮鸾回车,仙之人兮列如麻。
忽魂悸以魄动,恍惊起而长嗟。
惟觉时之枕席,失向来之烟霞。
世间行乐亦如此,古来万事东流水。
别君去兮何时还?且放白鹿青崖间,须行即骑访名山。
安能摧眉折腰事权贵,使我不得开心颜!
94.金陵酒肆留别 / 李白
风吹柳花满店香,吴姬压酒唤客尝。
金陵子弟来相送,欲行不行各尽觞。
请君试问东流水,别意与之谁短长。
95.登幽州台歌 / 陈子昂
前不见古人,后不见来者。
念天地之悠悠,独怆然而涕下。
唐代乐府诗
96.凉州词 / 王之涣
黄河远上白云间,一片孤城万仞山。
羌笛何须怨杨柳,春风不度玉门关。
97.出塞 / 王昌龄
秦时明月汉时关,万里长征人未还。
但使龙城飞将在,不教胡马度阴山。
98.渭城曲 / 王维
渭城朝雨浥轻尘,客舍青青柳色新。
劝君更尽一杯酒,西出阳关无故人。
99.清平调 / 李白
云想衣裳花想容,春风拂槛露华浓。
若非群玉山头见,会向瑶台月下逢。
100.清平调 / 李白
一枝红艳露凝香,云雨巫山枉断肠。
借问汉宫谁得似,可怜飞燕倚新妆。
声明:本文由入驻焦点开放平台的作者撰写,除焦点官方账号外,观点仅代表作者本人,不代表焦点立场。
