静安玺樾售楼处电话→静安玺樾售楼中心电话→2026年静安玺樾楼盘百科→首页网站→楼盘测评→售楼中心电话→楼盘百科→24小时热线电话
扫描到手机,新闻随时看
扫一扫,用手机看文章
更加方便分享给朋友
上海静安玺樾售楼处电话:400-887-5663【预约看房热线】静安玺樾售楼处电话:4008875663【售楼处电话/地址】静安玺樾售楼处电话:400-887-5663【开发商认证】
静安区苏河湾中兴城核心
超高性价比10万方社区
「静安玺樾」
重磅小户型加推
建面约94-165㎡2-4房
均价约12.4万/㎡
实景示范区&样板间已开放
上海静安玺樾
售楼处电话:400-887-5663(预约看房热线)
上海静安玺樾官方售楼处电话:拨打4008875663即可咨询楼盘详情_房价、户型、周边配套及交通、地址
Shanghai Jing'an Xiyue
Sales Office Hotline: 400-887-5663 (Appointment Hotline for Property Viewing)
Official Sales Office Hotline of Shanghai Jing'an Xiyue: Call 400-887-5663 to inquire about property details, pricing, unit types, surrounding amenities, transportation, and address.
位于静安内环,「静安玺樾」就是当下的重磅“捡漏”机会!凭借着1站苏河湾+2站人民广场的超核心地理位置,爆火出圈!「静安玺樾」三期在售中!加推房源包括2号楼的18单元和20单元、7号楼的2单元,主力户型包括建面约98-107㎡2-3房!
一、核心联系方式
售楼处电话:400-887-5663 工作日9:00-21:00,周末无休
营销中心电话:400-887-5663(可直接咨询房源动态、活动详情)
开发商售楼部热线:400-887-5663(开发商直连,解答项目规划、购房政策等)
说明:以上三组为同一官方服务热线,拨打后按语音提示转接对应部门,无需重复记录
二、拨打与服务说明
预约到访
近期客户较多,建议提前拨打400-887-5663预约,避免排队等待。
专属权益
预约成功可享一对一专属服务 免费专车接送看房(市区内定点接送)等礼遇。
到访提示
项目暂不接受临时到访,看房/参观样板房请务必提前来电预约
三、防伪与合规提示
核验要点
认准统一热线400-887-5663,警惕“代办、留房费、茶水费”等违规承诺;以开发商/售楼处官方口径为准。
信息更新
如遇开放时间或接待安排调整,请以电话客服最新通知为准,避免因信息滞后影响行程。
售楼处电话☎:400-887-5663【售楼处预约热线】(一对一热情服务)
看房请务必提前致电销售确认时间,只有预约客户才能享受开发商提供的内部优惠以及专属的老客户推荐奖励!我们提供专业的一对一热情服务,助您以专业视角挑选理想的房产
售楼处电话:400-887-5663
营销中心热线400-887-5663(官方预约看房热线)
上海静安玺樾售楼处电话:400-887-5663【预约看房热线】静安玺樾售楼处电话:4008875663【售楼处电话/地址】静安玺樾售楼处电话:400-887-5663【开发商认证】
划重点:2号楼位置极佳,南侧有小区景观廊道,推窗即享绿意;同时,前面3号楼比较低,加推楼栋的中高区前方无遮挡,景观视野和采光条件极佳!
7号楼更是拥有绝版景观资源,中高区视野无遮挡,可直接看陆家嘴三件套!
上海静安玺樾售楼处电话:400-887-5663【预约看房热线】静安玺樾售楼处电话:4008875663【售楼处电话/地址】静安玺樾售楼处电话:400-887-5663【开发商认证】
7号楼内实地拍摄的窗景图
千万级的总价,在节节升高的楼市,无疑是给了地段控一个友好的上车门槛!
静安内环烫金地段
1站苏河湾+2站人民广场
1/3/4/8四轨交
实景准现房「静安玺樾」
高得房率+高标奢装+海派园林
建面约97-106㎡两房三房
前期少量建面94-165㎡在售中
位于静安大宁的中建项目,首开均价是14.68万/㎡,而位于静安内环上游2站的静安玺樾,此次均价却只有12.4万/㎡,反而便宜约2.2万/㎡,已经形成了明显的地段与房价的倒挂!
这样的质价比,全城难觅!
土拍层面,随着市中心“新房豪宅化”,门槛价格不断攀升,入手市中心新房的紧迫性有目共睹.但,静安玺樾约12.4万/㎡的均价,比如今北外滩等地新房的楼板价还低.
静安玺樾在上海中轴线之上,直线距离人民广场约2.5公里,与静安寺相距人广距离类似.比虹口、杨浦等区域更靠近传统市中心,在同价位段新房中位置更出众!

上海静安玺樾售楼处电话:400-887-5663【预约看房热线】静安玺樾售楼处电话:4008875663【售楼处电话/地址】静安玺樾售楼处电话:400-887-5663【开发商认证】同时,上海的城市更新永远处在进行时,中兴城这片土地依旧在成长.
国际中兴城正推进百万方旧改,对标纽约曼哈顿HudsonYards等全球卓越城市的城市心脏,打造包含国际生活社区、国际消费社区、高端艺术场所在内的多样生活与文化空间,还有大苏河湾形成「商业+文化+居住」高地在侧,发展势能强劲.

近日,项目旁边约400米处,约3万平方米的自营食集「春熙集·INKINK」正式开市.签约品牌已达22个(含入驻食集的品牌),包括滇FU·云南Bistro、電力宠物百货、电动滑板车品牌PUREELECTRIC等先锋商业品牌在内.

中兴城最后一块拼图,高质量的休闲餐饮也将被补齐.这里逐渐成为一个兼具文化、休闲和日常配套的国际时尚艺术豪宅区!
买在静安玺樾,得到的是更低的门槛价,更核心的地段站位,更具发展潜力的城市界面,“既有现在,又有未来”,这样的机会真的没有理由错过!
静安玺樾
静安玺樾售楼处电话:400-887-5663【售楼中心】
咨询高峰期请耐心等待,预约来电尊享内部优惠,专业一对一热情服务,让您用专业眼光去买房.
2新品重磅加推
建面约97-106㎡精品户型
此次,静安玺樾加推的是新品2#号楼和7#号楼(部分房源),楼栋位置优越,景观视野爆棚:
1、2#号楼南侧有小区景观廊道,中高区前方无遮挡,整体的通透性和社区景观给足了;7#号楼高区更是可以直接远眺陆家嘴三件套.
2、近年上海内环内新房大多都是中小体量项目,占比近七八成,不仅地块狭窄,还很难施展景观、公区的排布设计.像静安玺樾这样体量近10万平的大型社区,优势就很明显:
楼栋间距约30-49米,宽裕阔绰,为未来每户业主争取最大程度的采光与通风;
同时足够做出兼具美感和功能的园林景观;
“四轴、五色、六礼”的5000平海派花园、400米定制跑道,以及豪宅标配的风雨连廊;
生活氛围浓厚,小区各方面的配置都很充分;
外立面上,项目立面以海派风格为主,采用石材,铝板,辅以部分真石漆,铺以横向铝板线条,通过对材质细部的精细化设计,真实还原海派立面的摩登风格.

实景图
车库采用贯穿式鱼尾灯坡道和超耐磨地坪,过道全部是精装吊顶,地下管道和局部区域进行二次包裹,是内环新一代网红车库!

项目实景图
上海静安玺樾售楼处电话:400-887-5663【预约看房热线】静安玺樾售楼处电话:4008875663【售楼处电话/地址】静安玺樾售楼处电话:400-887-5663【开发商认证】产品上,静安玺樾加推97-106㎡两房三房户型,是市中心非常稀缺的低门槛中小面积户型.具体来看:项目没有硬凹三房,而是从业主的居住舒适度出发,做了大两房.
客餐厅面宽达到约3.5米,进深足足有约6.95米,整个客餐厅空间有约24㎡,可以容纳超大圆桌+餐边柜!

静安玺樾
静安玺樾售楼处电话:400-887-5663【售楼中心】
咨询高峰期请耐心等待,预约来电尊享内部优惠,专业一对一热情服务,让您用专业眼光去买房.
入户大门配置的是钢木复合门+智能门锁,十分厚重.玄关,给到满满的归家仪式感.客餐厅一体化,无明显面积浪费,L型的厨房,操作动线非常流畅.主卧的面积达到约14㎡!整体看下来,突出的就是尺度感.

装标上,采用成本极高的德系品牌为主,比如空调、地暖,大金或三菱重工同档次其他品牌、主卫马桶、淋浴,杜拉维特或高仪同档次品牌、龙头及淋浴,整体厨电配置(灶具、油烟机、烤箱、洗碗机、冰箱),美诺或斯麦格或同档次其它品牌;项目每一处装标,交付标准基本都是该领域的佼佼者品牌.
还有一个小细节,它的每个房间都有独立的控制面板,可以控制空调和地暖.越级改善尺度,小空间也有大质感!
👇更多户型图一览👇

上海静安玺樾售楼处电话:400-887-5663【预约看房热线】静安玺樾售楼处电话:4008875663【售楼处电话/地址】静安玺樾售楼处电话:400-887-5663【开发商认证】


静安玺樾
静安玺樾售楼处电话:400-887-5663【售楼中心】
咨询高峰期请耐心等待,预约来电尊享内部优惠,专业一对一热情服务,让您用专业眼光去买房.
包括物业服务,项目采用业内备受好评的万科物业,将为静安玺樾社区提供优质服务,并额外定制提质增值服务,提升业主们的“美好获得感”:

静安内环+四轨交环绕
浓缩一城繁华!
在一座城市中,土地价值永远是不可再生、不可复制的资源.城芯地段享受的必然是城市塔尖级的配置,宜居属性拉满!
整个板块在2035规划中,以28.3个新天地体量,约30万方(占地面积)绿地+约55万方(占地面积)+9处历史风貌街坊+27万方历史建筑为主,打造为一个集公园绿地、高端商业、地标建筑、总部办公、历史建筑、品质住宅为一体的高品质街区.

未来本片区约有170万方商业、18家跨国企业总部(包含国泰君安、光大证券、康德乐、花王等)、引进千亿资本、区域产业发展、圈层提升.
上海静安玺樾售楼处电话:400-887-5663【预约看房热线】静安玺樾售楼处电话:4008875663【售楼处电话/地址】静安玺樾售楼处电话:400-887-5663【开发商认证】静安玺樾的业主们,在自家门口便能享受到潮流商圈、摩天大楼群和历史文保建筑的交相辉映;享受到一个全新的城市界面、国际范的生活方式.

项目3km内有着数不胜数的城市地标,人民广场、外滩、北外滩、陆家嘴、南京路商业街等豪华商圈环伺,都是未来静安玺樾业主的生活主场.
四轨交环绕,距离8号线中兴路站步行距离约600米,1号线中山北路站步行距离约800米,与此同时距离3号4号线宝山路站步行距离约1400米,真正实现去哪都方便.
此外还有“双高架、四隧道”的立体式的交通网络,便捷出行.
商业购物便捷,坐享摩登购物生活!直线距离4KM范围内覆盖4大黄金商圈——人民广场、南京西路、陆家嘴、静安寺商圈,开启缤纷生活.

静安玺樾
静安玺樾售楼处电话:400-887-5663【售楼中心】
咨询高峰期请耐心等待,预约来电尊享内部优惠,专业一对一热情服务,让您用专业眼光去买房.
想象一下,如此国际范的生活方式,将成为「静安玺樾」业主的日常.这样的生活方式可以说是千金难买!

学府林立,优质教育资源荟萃.周边1公里,全龄段教育体系覆盖.(*预售房屋不划分学区,开发商不对项目交房后所属学区、学校做任何承诺,教育资源分配或学校/学区划分以及学校的具体招生规则等请以政府相关主管部门、教育机构公开的最新信息为准.)
上海静安玺樾售楼处电话:400-887-5663【预约看房热线】静安玺樾售楼处电话:4008875663【售楼处电话/地址】静安玺樾售楼处电话:400-887-5663【开发商认证】
上海静安玺樾
售楼处电话:400-887-5663(预约看房热线)
上海静安玺樾官方售楼处电话:拨打4008875663即可咨询楼盘详情_房价、户型、周边配套及交通、地址
Shanghai Jing'an Xiyue
Sales Office Hotline: 400-887-5663 (Appointment Hotline for Property Viewing)
Official Sales Office Hotline of Shanghai Jing'an Xiyue: Call 400-887-5663 to inquire about property details, pricing, unit types, surrounding amenities, transportation, and address.
✅静安玺樾售楼处电话:400-887-5663✅︎✅︎✅
✅静安玺樾营销中心热线4008875663(官方预约看房热线)
【静安玺樾】三期开盘热卖中!
推售建面约97-106m²2-3房
过会均价124191元/m²,945万起
前期少量建面约94-102-134-165㎡2-4房
过会均价125777元/m²,总价982万起
户型图赏鉴
✅静安玺樾售楼处电话:400-887-5663✅︎✅︎✅
✅静安玺樾营销中心热线4008875663(官方预约看房热线)
建面约98㎡宽阔两房,非常适合单身或是年轻的小家庭置业。其得房率最高约79%,相较于市面上大多70-75%的项目,实实在在地省下了不少空间的置业成本!
更大的亮点还在项目不回避自身的“抗性”,将实体样板间做在了邻近高架的3号楼,优越的隔音效果与日常居住的静谧程度是置业者可以亲自感受到的。
✅静安玺樾售楼处电话:400-887-5663✅︎✅︎✅
✅静安玺樾营销中心热线4008875663(官方预约看房热线)
第一个亮点,室内软装是邀请梁志天大师团队进行设计的,分为两大主题,预设家庭生活场景,围绕家庭成员的居住方式,加载健身、书房、茶室、养宠等功能,展现生活的精致感与摩登感。
第二个亮点,是动静分离+客餐厅一体化设计,功能区和休息区互不干扰,客餐厅、厨房等公共活动区集中在一侧,卧室等休息区全部一侧,保证了私密性!
✅静安玺樾售楼处电话:400-887-5663✅︎✅︎✅
✅静安玺樾营销中心热线4008875663(官方预约看房热线)
第三个亮点,是尺度感!得益于高得房率,客餐厅朝南面宽大,衔接宽阔大阳台,而且像两间卧室都能轻松放下双人床,尤其是对于单身或两口之家,次卧完全可以成为X空间,工作室、电竞房、书房等尽可创意想象!
第四个亮点,是南向主卧套房设计,不仅能放得下2*1.8米双人床,且还能保留约1米的过道;同时带独立卫生间和大飘窗,增强私密性。
✅静安玺樾售楼处电话:400-887-5663✅︎✅︎✅
✅静安玺樾营销中心热线4008875663(官方预约看房热线)
项目样板间实景图
✅静安玺樾售楼处电话:400-887-5663✅︎✅︎✅
✅静安玺樾营销中心热线4008875663(官方预约看房热线)
104㎡3户型特点:该户型多为楼栋的东边套,是一个观景户型。客厅连接270°阳台,视野出众。双卧朝南,阳光满溢。从次卫布局看,如果家庭人口较少,该户型还能做成双套卧。
此外,还具有独立储藏间,非常难得。该户型比较适合三口之家或三代同堂居住。
建面约103㎡3房2卫
该户型适合三口之家或年轻家庭居住的动静分区户型,厨房、餐厅、客厅及阳台一体化设计,动静完全分区设计,相当人性化。
主卧套房设计满满尊崇感,次卫三分离干湿分区设计,考量十分贴心。
建面约103㎡2+1房2卫
该户型的精髓是“+1”的灵动空间,可随着家庭结构和需求随心个性定制,书房、学习区、游戏区,女王化妆间等。
若维持两房,你将拥双开间大横厅设计及宽景阳台。同时,次卫设计取巧,可以做成套卧,那就是双套房。
值得一提,主卧套房空间阔绰,刚需面积改善的尺度,摆两个床头柜和衣柜空间都绰绰有余,床尾即使再放置柜子也不影响过道通行。
✅静安玺樾售楼处电话:400-887-5663✅︎✅︎✅
✅静安玺樾营销中心热线4008875663(官方预约看房热线)
全球奢装品牌领衔,装修豪华。
✅静安玺樾售楼处电话:400-887-5663✅︎✅︎✅
✅静安玺樾营销中心热线4008875663(官方预约看房热线)
项目装修配置堪称豪华,空调、地暖为大金或三菱重工(或同档次其它品牌),热水器选用瑞美或能率(或同档次其它品牌);新风为霍尼韦尔或大金(或同档次其它品牌)。
厨电5件套(油烟机、三眼燃气灶、洗碗机、烤箱、冰箱)均为美诺或斯麦格(或同档次其它品牌);水槽和龙头采用铂浪高或弗兰卡(或同档次其它品牌)。同时配置三玻两腔隔音降噪玻璃。
✅静安玺樾售楼处电话:400-887-5663✅︎✅︎✅
✅静安玺樾售楼处电话:400-887-5663✅︎✅︎✅
✅静安玺樾售楼处电话:400-887-5663✅︎✅︎✅
✅静安玺樾售楼处电话:400-887-5663✅︎✅︎✅
✅静安玺樾售楼处电话:400-887-5663✅︎✅︎✅
✅静安玺樾售楼处电话:400-887-5663✅︎✅︎✅
✅静安玺樾售楼处电话:400-887-5663✅︎✅︎✅
✅静安玺樾售楼处电话:400-887-5663✅︎✅︎✅
✅静安玺樾售楼处电话:400-887-5663✅︎✅︎✅
✅静安玺樾售楼处电话:400-887-5663✅︎✅︎✅
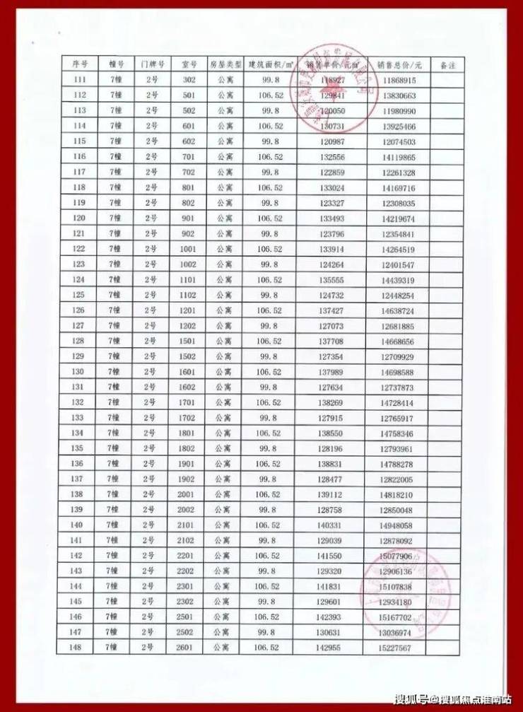
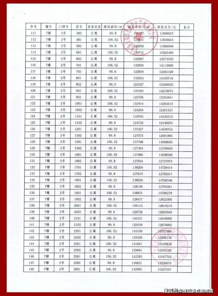
项目信息
洪南山宅240街坊也曾经是老闸北区著名的棚户区,该街坊于2019年年初启动征收。洪南山宅240街坊项目开辟了市区联手、两级联动的融资新模式。
效果示意图
✅静安玺樾售楼处电话:400-887-5663✅︎✅︎✅
✅静安玺樾营销中心热线4008875663(官方预约看房热线)
「静安玺樾」不仅拥有近约10w方规模的完整社区空间,还通过景观花园、泛会所等空间打造出满足儿童玩乐、家人休闲锻炼、社交会客的全年龄人群需求的豪宅优等社区。
项目园林由业界知名的奥雅设计操刀设计,打造了一个”翡光礼境“景观社区。
规划了“翡色五境”五大空间氛围,匠造融入时光、人文海派、自然与艺术、家庭与邻里的“四轴、三园、五区、一所”四大功能空间。
设计了“春赏花、夏赏绿、秋赏叶、冬赏姿”四季有景的长效花园,呈现四季景观皆不同的诗意雅致生活氛围。
翡色五境社区氛围
✅静安玺樾售楼处电话:400-887-5663✅︎✅︎✅
✅静安玺樾营销中心热线4008875663(官方预约看房热线)
翡廊境:尊享连廊的归家体验
翡林境:绿荫包裹的林下漫步
翡溪境:舒适惬意的绿意溪径
翡湾境:放空归静的心灵港湾
翡屿境:欢乐温馨的家庭氛围
社区景观打造上还考虑了空间的功能丰富性,打造了三大花园空间:中心港湾花园、水溪花园,西入口归家花园,实现社区内各区域景观不同的丰富视觉盛宴~
林下空间用于会客、洽谈、休憩使用,零距离接触自然景观,惬意万分~
✅静安玺樾售楼处电话:400-887-5663✅︎✅︎✅
✅静安玺樾营销中心热线4008875663(官方预约看房热线)
五大运动活力系统
✅静安玺樾售楼处电话:400-887-5663✅︎✅︎✅
✅静安玺樾营销中心热线4008875663(官方预约看房热线)
精心设计的环绕社区的400m跑道系统串联热身区、定制主题儿童活动区、老年健身区、活力健身区和休憩缓冲区五大运动活力系统,家人在社区内锻炼身体的祥和画面呼之欲出。
户外定制化主题儿童区+架空层泛会所构成双儿童系统,以“秘境童话专列”的火车主题串联儿童活动空间,兼顾全年龄儿童不同游玩体验。
更有贴心细节设计:儿童活动区和老年健身区的器械均考虑防磕碰设计,地面均采用塑胶,以防磕碰受伤。
✅静安玺樾售楼处电话:400-887-5663✅︎✅︎✅
✅静安玺樾营销中心热线4008875663(官方预约看房热线)
架空层位于5#楼王位置楼栋,用作泛会所空间,为孩子提供不受天气影响的社区活动空间,实属优秀~
与常规社区的三重归家礼序不同的是,「静安玺樾」创造出升级版“四轴”归家体系:气派入口门楼,精致艺术的归家廊厅,全区花园式入户以及仪式水系轴线空间。让你从社区大门开始就能感受到身为业主的尊崇感~
✅静安玺樾售楼处电话:400-887-5663✅︎✅︎✅
✅静安玺樾营销中心热线4008875663(官方预约看房热线)
更值得一提的是,「静安玺樾」还设计了更加人性化的室内通行归家路线,更优于社区风雨连廊的设计,业主从南入口保安亭后方的电梯厅可以直达设计了采光排风井的B1层归家,不走地面社区道路就能免受风吹日晒,安全归家。
✅静安玺樾售楼处电话:400-887-5663✅︎✅︎✅
✅静安玺樾营销中心热线4008875663(官方预约看房热线)
海派风格外立面+超低能耗住宅
建筑立面采用新海派风格,采用天然石材+真石漆+铝板设计打造,细节精致,线条流畅,优雅大气质感浑然天成。
✅静安玺樾售楼处电话:400-887-5663✅︎✅︎✅
✅静安玺樾营销中心热线4008875663(官方预约看房热线)
与传统住宅截然不同的是,「静安玺樾」不惜成本打造了超低能耗住宅产品,将为业主带来一个四季如春的空间,享受到更加静谧的居住环境、更清新健康的空气、更安全的居住环境,还能降低更多的能耗!
从超一线装标到五星级地库,豪宅品质贯彻始终!
从装标上看,「静安玺樾」在装修标准上是下了功夫的,甚至可以说是“不惜成本”,超一线装标完全称得上“高配低价”这四个字!
中央空调、地暖、新风都是标配,室内厨卫都采用了国际一线品牌,让居住变得更为舒适的同时给足业主体验感和尊崇感。
✅静安玺樾售楼处电话:400-887-5663✅︎✅︎✅
✅静安玺樾营销中心热线4008875663(官方预约看房热线)
尤其让人惊艳的还有项目豪掷重金为业主打造的五星级地库!
项目车库采用贯穿式鱼尾灯坡道和超耐磨地坪,过道全部采用精装吊顶,地下管道和局部区域进行二次包裹!尤其惊艳的是项目的豪华车马厅,采用水磨石、水晶漆、铝饰面、大板砖、立柱石材包边、门禁系统三合一!
如此用心着力只为给所有业主营造出独属的尊崇归家礼仪!
物业服务方面,有万科物业保驾护航!
✅静安玺樾售楼处电话:400-887-5663✅︎✅︎✅
✅静安玺樾营销中心热线4008875663(官方预约看房热线)
万科物业,相信不用多说,全国一级物业资质,连续多年蝉联全国物业排名第一!
作为国内第一家通过ISO9002国际质量管理体系认证的物业管理企业,屡获殊荣。
万科物业进驻上海31年!多年口碑积攒下好评如潮,被业内誉为“最懂上海的物业”!
此次进驻「静安玺樾」,万科物业除了将为社区提供优质服务外,并将额外定制提供增值服务,包括:
更整洁的社区:12小时的保洁+夜间值班保洁;
更省心的居家:每年一次空调清洗,每三年一次地暖保养;
更历久弥新的建筑:每年一次外墙清洗。
生活配套
✅静安玺樾售楼处电话:400-887-5663✅︎✅︎✅
✅静安玺樾营销中心热线4008875663(官方预约看房热线)
交通方面:项目直线距离8号线中兴路站直线约580米,1号线中山北路站直线约800米,距离3/4号线宝山路站约1.4公里,自驾方面,可以通过南北高架、内环高架通往市区,也可通过内环到达市区各个方向。
商业方面:项目周边配套成熟,购物便利,大型商业2公里内还有静安大悦城、万象天地、大宁永光、大宁国际等高端商业配套,周边还有规划中的百万方中兴城商业综合体。
✅静安玺樾售楼处电话:400-887-5663✅︎✅︎✅
✅静安玺樾营销中心热线4008875663(官方预约看房热线)
静安大悦城
教育方面:闸北区三中心小学、永兴路第二小学、青云中学、市北初级中学等。(新房不承诺对口学校,具体以实际为准)
✅静安玺樾售楼处电话:400-887-5663✅︎✅︎✅
✅静安玺樾营销中心热线4008875663(官方预约看房热线)
医疗方面:三甲医院环伺,为您和家人的健康保驾护航。项目周边有上海第十人民医院分院、上海市中医医院、上海市第一人民医院、上海第十人民医院、同济大学附属口腔医院等等。
生态休闲:在市区寸土寸金的环境下,周边还有芷江绿地、中兴公园等。
✅静安玺樾售楼处电话:400-887-5663✅︎✅︎✅
✅静安玺樾营销中心热线4008875663(官方预约看房热线)
✅静安玺樾售楼处电话:400-887-5663✅︎✅︎✅
✅静安玺樾营销中心热线4008875663(官方预约看房热线)
静安玺樾售楼处电话:400-887-5663【售楼中心热线】静安玺樾营销中心热线4008875663静安玺樾售楼处地址400-887-5663,楼盘项目全面介绍,本电话为开发商提供线上预约售楼电话,楼盘项目全面介绍(包含楼盘简介,均价,房价,现房,期房,别墅,叠墅,大平层,价格,楼盘地址,户型图,交通规划,备案价,备案名,项目配套,样板间,开盘时间,认筹时间,楼盘详情,售楼处电话,最新消息,最新详情,周边配套,一房一价,最新进展等详情咨询)楼盘详情丨价格丨更多优惠丨机不可失丨欢迎致电丨诚邀品鉴!售楼处位置丨特价房丨工抵房丨剩余房源丨户型图丨最新消息丨免责声明:将文章内容综合来源于网络、只作分享,版权归原作者所有!!如有侵权,请联系我们,我们第一时间处理如有问题欢迎来电咨询,专业一对一热情服务,让您用专业眼光去买房。如果您想了解更多楼盘详情,欢迎提前预约拨打静安玺樾售楼处电话400-887-5663
楼盘项目全面介绍(包含楼盘简介,均价,房价,现房,期房,别墅,叠墅,大平层,价格,楼盘地址,户型图,交通规划,备案价,备案名,项目配套,样板间,开盘时间,认筹时间,楼盘详情,售楼处电话,最新消息,最新详情,周边配套,一房一价,最新进展等详情咨询)楼盘详情丨价格丨更多优惠丨机不可失丨欢迎致电丨诚邀品鉴!售楼处位置丨特价房丨工抵房丨剩余房源丨户型图丨最新消息配套设施是反映楼盘生活便利程度的重要因素,包括小区内的运动场所、停车场、公共设施等。物业服务则直接关系到居住者的生活品质,包括安保服务、保洁服务、设备维护等。具体到街道、区域名称,临近交通线路、自驾路线。商业、教育、医疗等配套设施分布,总占地面积、总建筑面积数据,容积率,绿化率,得房率,梯户比,物业费,小高层、洋房、高层、独栋别墅、叠加别墅、联排别墅,总户数、楼层分布,面积范围,均价/总价。首付比例、贷款政策,精装交付,含中央空调、地暖等系统,70年住宅产权,物业公司及资质,预计交付时间或施工进度,当前购房优惠政策
为更好满足居民刚性住房需求和多样化改善性住房需求,促进房地产市场平稳健康发展,8月25日,市住房城乡建设管理委、市房屋管理局、市财政局、市税务局、人民银行上海市分行、市公积金管理中心等六部门联合印发《关于优化调整本市房地产政策措施的通知》(以下简称《通知》),包括调减住房限购、优化住房公积金、优化个人住房信贷以及完善个人住房房产税等政策。《通知》自2025年8月26日起施行。
一、调减住房限购政策
为更好满足居民改善性需求,促进宜居安居、职住平衡,《通知》明确进一步调减住房限购政策。一是符合条件居民家庭在外环外购房不限套数。对符合本市住房购买条件的居民家庭,包括本市户籍居民家庭、在本市连续缴纳社会保险或个人所得税满1年及以上的非本市户籍居民家庭,在外环外购买住房不限套数,包括新建商品住房和二手住房。二是成年单身人士按照居民家庭执行住房限购政策。
按照上述规定,沪籍居民家庭和沪籍成年单身人士,在外环外购买住房不限套数;在外环内限购2套住房。非沪籍居民家庭和非沪籍成年单身人士,自购房之日前在本市连续缴纳社会保险或个人所得税满1年及以上的,在外环外购买住房不限套数;自购房之日前在本市连续缴纳社会保险或个人所得税满3年及以上的,在外环内限购1套住房。
关于住房限购政策相关业务,可拨打房地产交易行业服务热线“962269”具体咨询。
二、优化住房公积金政策
为加大公积金支持住房消费力度,《通知》规定优化住房公积金政策。一是提高个人住房公积金贷款额度。对缴存人购买二星级及以上新建绿色建筑住房的,住房公积金(含补充公积金)最高贷款额度上浮15%。首套最高贷款额度从160万元提高至184万元,多子女家庭首套上浮比例可叠加计算,从192万元提高至216万元;二套最高贷款额度从130万元提高至149.5万元。二是支持提取住房公积金支付购房首付款。对缴存人购买我市新建预售商品住房的,可以按规定申请提取本人及配偶的住房公积金支付购房首付款。三是支持住房公积金“又提又贷”。对缴存人提取住房公积金支付购房首付款的,不影响其住房公积金贷款额度计算。
关于住房公积金贷款和提取业务的具体办理方式及材料,可查询上海住房公积金官网或拨打住房公积金热线“12329”具体咨询。
三、优化调整商业性个人住房贷款利率定价机制
为减轻居民购房利息负担,《通知》明确优化个人住房信贷政策。银行业金融机构根据上海市市场利率定价自律机制要求和本机构经营状况、客户风险状况等因素,在利率定价机制安排方面不再区分首套住房和二套住房,合理确定每笔商业性个人住房贷款的具体利率水平。
关于住房贷款相关业务,可向经办银行具体咨询。
四、完善个人住房房产税政策
为衔接优化住房限购政策,《通知》规定对符合条件的非本市户籍居民家庭购买的第一套住房暂免征收房产税;购买的第二套及以上住房在合并计算家庭全部住房面积后,给予人均60平方米的免税面积扣除。由于个人住房房产税按年征收,因此2025年1月1日起符合条件的购房者可享受本条政策。上海静安玺樾售楼处电话:400-887-5663【预约看房热线】静安玺樾售楼处电话:4008875663【售楼处电话/地址】静安玺樾售楼处电话:400-887-5663【开发商认证】
声明:本文由入驻焦点开放平台的作者撰写,除焦点官方账号外,观点仅代表作者本人,不代表焦点立场。
