碧云澧悦首页网站-碧云澧悦售楼处电话-碧云澧悦楼盘详情-交房时间-地址-最新房价户型图-小区环境-楼盘详情-交房时间-周边配套-售楼处电话
扫描到手机,新闻随时看
扫一扫,用手机看文章
更加方便分享给朋友
【碧云澧悦】
上海浦东【碧云澧悦】售楼处电话:400-8815-114(预约热线)
【碧云澧悦】营销中心服务热线:400-8815-114(已认证)
预约看房请提前联系驻场销售
最新消息,张江后花园!金桥碧云澧悦,一期少量房源售完!二期直接认购!建面约93-165㎡3-4房,过会均价约5.6万/㎡!最新一房一价表!
素有小上海之称的浦东新区周浦镇,在浦东的发展一直会引起大家的关注,比如15年前就有了浦东第一家万达广场,足已证明是区域的热点。
2022年9月,上海第三批次土拍中,上海金桥股份以313281万元,竞得浦东新区周浦镇08单元16-02地块,地块出让面积55998.9㎡,容积率1.8,溢价率0%,成交楼板价31080元/㎡,房地联动价56000元/㎡。
浦东周浦
国企匠心 双轨臻品住宅
「碧云澧悦」二期
第1批次已过会
394套建面约93-165㎡3-4房
过会均价约5.6万/㎡
4.26认购中
目前少量房 直接认购
编辑
项目二期加推7-10-11-12-13-14-15#,共394套住宅(含4套非标84㎡两房)
编辑
上海浦东【碧云澧悦】售楼处电话:400-8815-114(预约热线)
【碧云澧悦】营销中心服务热线:400-8815-114(已认证)
预约看房请提前联系驻场销售
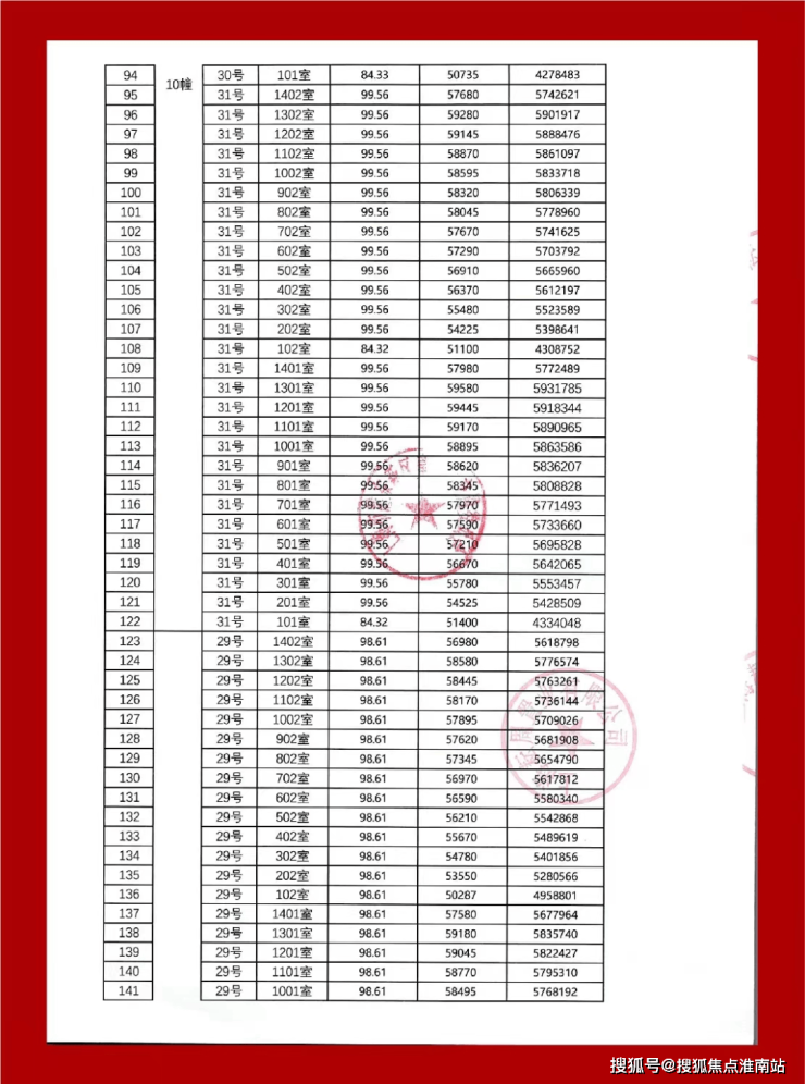
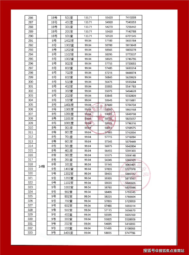
最新一房一价表:
编辑

编辑

编辑

编辑







上海浦东【碧云澧悦】售楼处电话:400-8815-114(预约热线)
【碧云澧悦】营销中心服务热线:400-8815-114(已认证)
预约看房请提前联系驻场销售
户型图如下:
地块出让面积55998.9㎡,容积率1.8,溢价率0%,成交楼板价31080元/㎡,房地联动价56000元/㎡。
项目地块东至周园路,西至16-01地块,南至16-03地块,北至韵涛路。根据公示,项目将拟建11F-14F住宅商品房,以及17F保障住宅,1-2F配套。
总占地面积约5.6万平方米,容积率1.8,总建筑面积15.5万平方米,其中地上建筑面积10.6万平方米,地下建筑面积为4.9万平方米。
项目精心规划“一环一轴三园”,于建筑中另辟一方天地,以绿意包裹整个小区,打造绿氧环绕的公园住区。漫步在花园小径,呼吸新鲜氧负离子,在自然中享受阳光微醺和清新绿意,在生机盎然中安享静谧。


在上世纪的德国建筑大师密斯·凡德罗,“Less is more.”的极简主义审美驱动下,项目规划以简约流线型线条为主脉络,框体结构搭配层叠横向线条,辅以庄重典雅的淡色玻璃,从而营造隐而不喧的优雅色彩,简约的设计更能呈现丰富的内涵,细节的掌控凸显匠心的品质。
公园住区,因低密而愈加纯粹,项目以1.8的低容积率,塑造低密人居空间的舒适尺度,疏阔的楼间距,邀阳光与风景入席,避免楼宇间贴合感,推窗即风景,给予生活更多留白。项目规划建面约93-165㎡四种主力户型,家族的生活奢想在此皆有可能。

金桥周浦项目位于浦东周浦镇,在《上海市浦东新区国土空间总体规划(2017-2035)》中,再次重点强调了周浦的定位:

至2035年,发展成为凝聚科创力量,充满人文气息的“魅力小上海”,依托张江科学城,形成以医疗服务、电子商务和时尚创意为主导产业,宜居宜业的综合型城镇。

交通方面,项目距离16号线周浦东站约1.8公里、18号线繁荣路站约2.6公里,算不上名副其实的地铁盘,可借助其他短驳交通工具,通勤到张江、前滩、陆家嘴、人民广场等核心区域还是比较方便的!
自驾出行也十分便捷,通过沪奉公路链接外环、中环、罗山高架以及申嘉湖高速等城市主干道,四通八达!
上海浦东【碧云澧悦】售楼处电话:400-8815-114(预约热线)
【碧云澧悦】营销中心服务热线:400-8815-114(已认证)
预约看房请提前联系驻场销售
商业方面,板块内配套成熟,3km范围内有万达广场,小上海步行街,绿地缤纷广场,印象生活广场等商业中心。

教育方面,周边有浦东新区澧溪幼儿园、傅雷幼儿园、澧溪小学、周浦第二小学、周浦实验学校、澧溪中学、傅雷中学等教育配套。
(项目周边的幼儿园、小学、中学等教育设施(如有)是城市公共生活配套的重要组成部分。本项目销售过程中,部分展示与介绍可能涉及项目周边已有或规划中教育设施,但并非项目所在的学区,本项目不承诺任何学区,介绍此信息旨在帮助客户更全面的了解项目周边条件,并不代表我公司对此提供保证。)
医疗方面,项目南侧就是浦东新区周浦医院,步行可达,可以完全满足平时基本的就医需求。
休闲方面,项目1公里范围内有周浦文化公园、周浦体育中心(在建)等配套。
浦东周浦
国企匠心 双轨臻品住宅
「碧云澧悦」二期
第1批次已过会
建面约93-165㎡3-4房
过会均价约5.6万/㎡
4.26认购!
目前少量房源 直接下定
上海浦东【碧云澧悦】售楼处电话:400-8815-114(预约热线)
【碧云澧悦】营销中心服务热线:400-8815-114(已认证)
预约看房请提前联系驻场销售
【碧云澧悦】
——欢迎品鉴——
上海购房政策
上海购房政策在2025年8月26日进行了优化调整,以下是最新政策要点:
一、限购政策
外环外
上海户籍家庭/单身:不限购套数。
非上海户籍家庭/单身:需在沪缴纳1年社保或个税,即可不限购。
多子女家庭(含至少1名未成年子女):外环外不限购。
外环内
上海户籍家庭/单身:限购2套。
非上海户籍家庭/单身:需在沪缴纳3年社保或个税,限购1套。
多子女家庭:上海户籍限购3套,非上海户籍限购2套。
特殊政策
非沪籍置换性购房:出售上海唯一住房后,可再购1套,无需社保或个税。
崇明区购房参照外环外政策,只需满足1年社保或个税。
二、贷款政策
商业贷款
利率不再区分首套、二套,由银行根据市场和客户风险自主定价。
首套首付15%,二套首付25%;购买临港、嘉定、青浦等区域二套,首付20%。
公积金贷款
首套最高贷款额度184万,多子女家庭首套可达216万;二套最高149.5万。
购买二星级及以上绿色建筑住房,贷款额度上浮15%。
新建预售房可提取公积金支付首付,不影响贷款额度。
三、税费政策
房产税
非沪籍首套房免征,二套房人均60㎡免征面积。
持《上海市居住证》连续满3年或积分达120分,首套房免征。
增值税
满2年免征,不满2年按税务核定价÷1.05×5.3%征收。
契税
家庭唯一住房,面积≤140㎡按1%征收,>140㎡按1.5%征收;
第二套住房,面积≤140㎡按1%征收,>140㎡按2%征收。
四、其他政策
新房摇号积分制
认购率超过1:1.3启动积分制,按社保缴纳年限等打分排序。
企业购房
购买2000年前竣工、面积≤70㎡的二手房用于员工租住,不限购。
以上政策自2025年8月26日起施行,具体执行以官方最新文件为准。建议购房前咨询相关部门或专业机构,确保符合资格。
声明:本文由入驻焦点开放平台的作者撰写,除焦点官方账号外,观点仅代表作者本人,不代表焦点立场。
