招商时代潮派
售楼处电话:400-998-9694
如有问题欢迎来电咨询,来电即可享受买房优惠!
预约来电尊享购房优惠,可预约案场内部销售人员,专业一对一热情服务,让您用专业眼光去买房。
楼盘项目全面介绍,本电话为开发商提供线上售楼处电话,楼盘项目全面介绍(包含楼盘简介,楼盘积分,房价,价格,楼盘地址,户型图,交通规划,备案价,项目配套,楼盘详情,售楼处电话,最新消息,最新详情,周边配套,最新进展等详情咨询)
招商时代潮派售楼处电话:400-998-9694
6站漕河泾 9站徐家汇
少量约99㎡3房户型
9号线泗泾站 500万级TOD大城
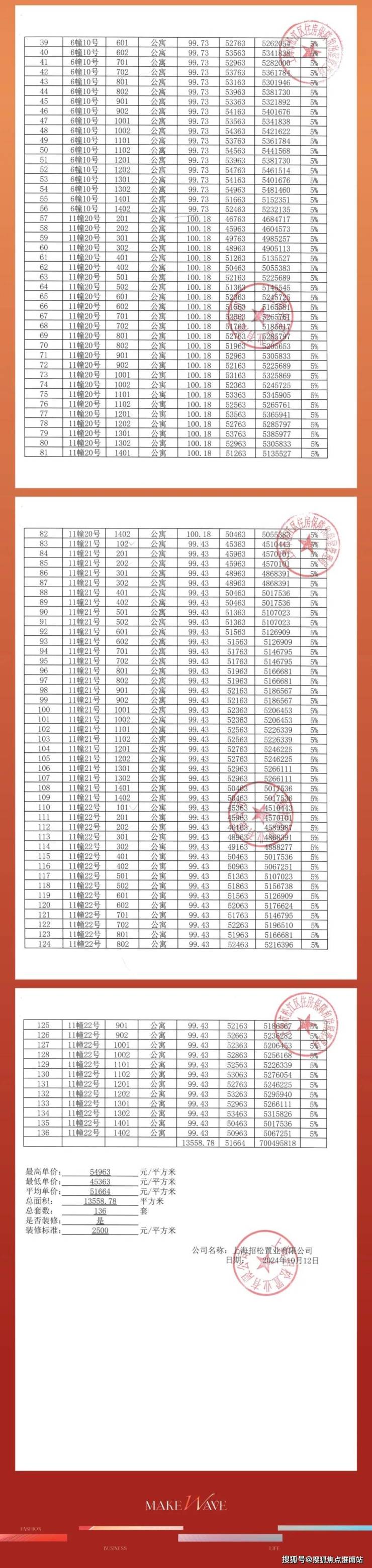
均约51664元/㎡ 正在认购中
招商时代潮派售楼处电话:400-998-9694
项目一房一价表▼


项目基本信息
招商时代潮派售楼处电话:400-998-9694
项目名称招商时代潮派备案名星誉铭庭开发商招商蛇口产权性质及年限住宅-70年户型及面积高层:建面89㎡(3-2-1)【379-460万左右】高层:建面99㎡(3-2-2)【420-524万左右】高层:建面125㎡(4-2-2)【554-672万左右】单价区间高层:4.2-5.2万总价区间高层:379-672万左右交付标准装修(中央空调+地暖+新风)得房率约73%-78%绿化率35%容积率2.0物业费高层:4.8元/㎡/月总层高高层14-18F单层层高高层:14层为3米;18层2.95米总栋数一期20栋总户数14-01地块1246户梯户比14层为一梯两户;18层为两梯四户及三梯六户
拿地时间2024年1月10日预计交付时间一期预计2026年11月30日车位配比1:1.09
品质标杆 森屿度假社区
招商时代潮派售楼处电话:400-998-9694
【招商时代潮派】以国际酒店为灵感,打造平行世界的高品质生活方式。
效果示意图,仅供参考

招商时代潮派售楼处电话:400-998-9694
颜值立面,沉淀历久弥新的惊艳
【招商时代潮派】汲取极简主义的精髓,运用简约线条精心塑造建筑的轻盈感与未来感。项目特别设计了鎏金穹顶,以其独特的艺术魅力为城市天际线勾勒出一道历久弥新的美学符号,彰显了项目的品质与品味。
效果示意图,仅供参考

招商时代潮派售楼处电话:400-998-9694
在建筑的转角处,项目巧妙地运用了弧形元素,不仅柔化了建筑的立面形态,更增强了整体空间的流动感与韵律美,使建筑在保持简约风格的同时,又不失优雅与和谐。
效果示意图,仅供参考

招商时代潮派售楼处电话:400-998-9694
三重归家,匠心高定生活礼仪
在归家仪式感方面,招商时代潮派精心规划三重归家动线。
效果示意图,仅供参考

招商时代潮派售楼处电话:400-998-9694
社区主入口设计酒店式环岛归家,辅以活力四溢的涌泉水景,营造出更尊崇的归家仪式感,让业主在归家的瞬间感受到尊贵与温馨。
入户门厅以弧形悬浮顶棚为特色,为业主带来柔和温润的归家关怀,让归家的每一步都充满舒适与惬意。
效果示意图,仅供参考

招商时代潮派售楼处电话:400-998-9694
此外,项目还设有地上地下双精装大堂,地下车库电梯直达,为业主提供便捷高效的出行体验,同时也彰显了极尽礼宾仪式的尊贵品质。
效果示意图,仅供参考

招商时代潮派售楼处电话:400-998-9694
多元景观,自然森系生活体验
项目充分融合多元化的景观元素,内外呼应巧妙构筑了:迎宾门庭、连绵水苑、潮玩乐园、光影艺廊、冥想绿境、休闲会客、景观入户等多维并蓄的高颜值景观组团,让业主享受兼具现代美学与自然森系特色的度假式居所。
效果示意图,仅供参考

招商时代潮派售楼处电话:400-998-9694
四大架空层,自家楼下的泛会所
招商时代潮派在社区内部精心布局了多个架空层区域,涵盖休闲会客、社交洽谈、儿童娱乐及阅读室四大核心功能模块,为业主带来适合全龄段的社交空间,营造更加温馨和谐的生活氛围。
效果示意图,仅供参考

招商时代潮派售楼处电话:400-998-9694
产品方面,【招商时代潮派】加推136套建面约99㎡全装修3房,均价51664元/㎡,正在认购中。
效果示意图,仅供参考

招商时代潮派售楼处电话:400-998-9694
建面约89㎡3房户型图▼

招商时代潮派售楼处电话:400-998-9694
建面约89㎡3房户型:东边套主卧配置约270°双向采光飘窗、S墙设计,主力总价仅约450万级,首付约90万起!
首先,S墙的设计使得冰箱得以不占用厨房空间,将更多面积留给更多的生活场景
创意展示间实景图仅供参考,不作为交付承诺

招商时代潮派售楼处电话:400-998-9694
其次,主卧的约270°无柱转角超宽巨幕景观视野(仅东边套),着实令人震撼
同价段更是无敌,是当下500w级必看必买的楼盘
创意展示间实景图仅供参考,不作为交付承诺

招商时代潮派售楼处电话:400-998-9694
此外,还有全卧室带飘窗+卫生间干湿分离等等细节,让你尽可能把家中物件归拢,让屋里的每一个平方都能发挥在更实际的地方

招商时代潮派售楼处电话:400-998-9694
创意展示间实景图仅供参考,不作为交付承诺

建面约99㎡3房户型图▼

招商时代潮派售楼处电话:400-998-9694

招商时代潮派售楼处电话:400-998-9694
建面约99㎡三房:该户型是典型的飞机格局,很大程度上提高了使用率
无走道浪费+多飘窗设计,让视觉大大向外延伸,“小家也可以住得不小”
特别值得一提的是,建面约99㎡还做到了独立玄关+双卫配置,大大提升了业主的私密感
创意展示间实景图仅供参考,不作为交付承诺

招商时代潮派售楼处电话:400-998-9694
三开间朝南+全卧室带飘窗+客厅带宽面阳台,让阳光可以洒进室内的每一个角落,舒适度拉满
创意展示间实景图仅供参考,不作为交付承诺

招商时代潮派售楼处电话:400-998-9694
此外,入户玄关的设计既是家与外部的缓冲空间,也保证了主人的私密空间
创意展示间实景图仅供参考,不作为交付承诺

招商时代潮派售楼处电话:400-998-9694
建面约125㎡4房户型图▼

招商时代潮派售楼处电话:400-998-9694
建面约125㎡4房:四开间朝南搭配一个巨幕横厅,让室内尺度与采光都达到了极致,更重要的是该户型主力总价仅约600万级,首付仅约120万起!
南向两个卧室都能提供很好的居住舒适度,北向房间既可以是小卧室,也可以是书房、游戏房、茶室等个性化空间
大横厅的设计也很好迎合了当下年轻人的空间需求——一个能够容纳更丰富生活场景的多功能生活中心,家人可以一边忙着自己手头的事情,一边无障碍互动、沟通,让生活更有温度

招商时代潮派售楼处电话:400-998-9694


招商时代潮派售楼处电话:400-998-9694
建面约143㎡4房户型图▼

招商时代潮派售楼处电话:400-998-9694
项目区位配套
松江|领跑五大新城,擘画科创之城
松江,作为上海西南的重要门户,不仅有深厚的历史积淀,也是上海 “十五”期间重点发展“一城九镇”的“一城”,更是上海全球科创中心重要承载区和长三角G60科创走廊策源地,将成为继张江科学城之后,上海第二个“科创之城”。

招商时代潮派售楼处电话:400-998-9694
泗泾|城市精英聚地,未来活力版图
具有千年悠久历史的古镇泗泾,位于徐汇西核,依托地铁9号线,连接辐射七宝、徐家汇、打浦桥、新天地、陆家嘴等多个核芯商圈,汇聚超20万的城市青质精英,成为宜居、宜业、宜乐的全新国际化社区。

招商时代潮派售楼处电话:400-998-9694
泗泾坐拥大虹桥、G60科创走廊两大国家战略的支持。
作为长三角G60科创走廊“一廊九区”的重要承载区,泗泾将承载“人工智能产业基地”功能。2035期间,将着力建设智能双创、高端制造2大产业板块。以泗泾为中心,沿着泗陈公路,一条集高端智能制造+泗泾古镇+轨交高端综合服务核心的“G60科创走廊城市会客厅”正在重塑焕新。

招商时代潮派售楼处电话:400-998-9694
【招商时代潮派】由花园城系商业+滨水国际住区+舒适酒店+文化空间共同组成,总体量约50万方,将打造成为新一代城市TOD标杆。
效果示意图,仅供参考

招商时代潮派售楼处电话:400-998-9694
首先就是项目自带的约18.5万方商场。
在上海,招商蛇口带来5座花园城,其中宝山招商花园城、森兰招商花园城、曹路招商花园城三座购物中心已成功兑现,给城市带来全新的升级与惊喜。
曹路招商花园城实景

招商时代潮派售楼处电话:400-998-9694
泗泾花园城定位打造“青质潮流生活新样本”,在业态布局上未来即将创新打造“新风潮”(运动潮牌、国际快时尚、设计师品牌等)、“新乐潮”(新兴娱乐、沉浸体验等)、“新夜潮”(酒馆清吧等)、“新文潮”(文创空间等)四大主题。
同时,在场景空间上也将规划城市客厅、宠物社交、户外运动等多元主题聚集地。
招商时代潮派售楼处电话:400-998-9694

招商时代潮派售楼处电话:400-998-9694
在这个约18.5万平方米的体量上,招商将打造20万年轻菁英的潮流聚集地,引领区域消费市场的全面迭新。
效果示意图,仅供参考

招商时代潮派售楼处电话:400-998-9694
除了招商花园城之外,项目周边还拥有三湘商业广场、保利悦活荟商业广场两大商业综合体,还有年轻人聚集地泗泾夜市。
直线距离约3km范围坐拥奥特莱斯、合生新天地店、山姆会员店等大型商业配套。
效果示意图,仅供参考

招商时代潮派售楼处电话:400-998-9694
轨道交通方面:项目距轨交9号线泗泾站200米,3站即达七宝商圈,6站即达漕河泾开发区,9站即达徐家汇。

招商时代潮派售楼处电话:400-998-9694
医疗资源方面:在招商花园城西侧,还将诞生一个高端医学中心。
根据《松江区东北片区整合提升型城镇圈规划》,泗泾医院将提升为区域医疗中心并增加了拓展用地,在现有泗泾医院的基础上,新建国际医疗中心,改建牙防所。
另外,泗泾医院东部还将规划建设上海第九人民医院科技创新与转化园区。
(上述内容仅供参考,最终以政府规划以及实际简称为准,开发商不做任何承诺)
泗泾医院效果图,仅供参考

招商时代潮派售楼处电话:400-998-9694
教育资源方面:周边坐拥松江四中、泗泾实验学校(华师大附属学校)、上师大附属实验学校、泗泾幼儿园、泗泾小学等名校。
周边还要新增1所九年制学校和2所完中,原有的松江四中也将进行大升级。
其中四中高中将置换成完全中学,升级为区级示范性高中,四中初中则会置换为九年一贯制学校。(本宣传资料对项目周边幼儿园、学校等教育资源的介绍旨在提供相关信息,并不意味着开发商对就学安排作出承诺。)
松江四中实景图,仅供参考

1、什么是房产:房屋产权的简称。
2、什么是地产:是指土地财产。
3、什么是房地产:是房产和地产的总称。
招商时代潮派
售楼处电话:400-998-9694
如有问题欢迎来电咨询,来电即可享受买房优惠!
预约来电尊享购房优惠,可预约案场内部销售人员,专业一对一热情服务,让您用专业眼光去买房。
楼盘项目全面介绍,本电话为开发商提供线上售楼处电话,楼盘项目全面介绍(包含楼盘简介,楼盘积分,房价,价格,楼盘地址,户型图,交通规划,备案价,项目配套,楼盘详情,售楼处电话,最新消息,最新详情,周边配套,最新进展等详情咨询)
招商时代潮派售楼处电话:400-998-9694
楼盘项目全面介绍,本电话为开发商提供线上预约售楼电话,楼盘项目全面介绍(包含楼盘简介,均价,房价,现房,期房,别墅,叠墅,大平层,价格,楼盘地址,户型图,交通规划,备案价,备案名,项目配套,样板间,开盘时间,认筹时间,楼盘详情,售楼处电话,最新消息,最新详情,周边配套,一房一价,最新进展等详情咨询)楼盘详情丨价格丨更多优惠丨机不可失丨欢迎致电丨诚邀品鉴!售楼处位置丨特价房丨工抵房丨剩余房源丨户型图丨最新消息丨免责声明:将文章内容综合来源于网络、只作分享,版权归原作者所有!!如有侵权,请联系我们,我们第一时间处理如有问题欢迎来电咨询,专业一对一热情服务,让您用专业眼光去买房。如果您想了解更多楼盘详情,欢迎提前预约拨打