2025上海宝山大华公园柏翠售楼处电话-(大华公园柏翠售楼处)2025楼盘详情-最新房价-首页网站-户型配套
扫描到手机,新闻随时看
扫一扫,用手机看文章
更加方便分享给朋友
最新消息!大华公园柏翠收官房源火热认购中主推建面约101-142㎡3-4房
总价约520万起
上海宝山大华公园柏翠售楼处电话:400-9966-224✔✔【预约热线】大华公园柏翠售楼处营销中心:400-9966-224大华公园柏翠售楼处电话/地址☎:4009966224(开发商热线)如有问题欢迎来电咨询,专业一对一热情服务,让您用专业眼光去买房。
全市为数不多的限价楼盘距离静安400米,中环旁抓住上车中环的仅剩机会
总价约520万起,在中环旁买正3房
只有大华公园柏翠能满足你!
有一个前提大家一定要清楚:大华公园柏翠是整个中环线上,距离市区更近的新房。
这个项目与很多千万以上的豪宅处于同一纬度:
中环的地段价值+总价约500万+起的价格,大华公园柏翠妥妥的价格洼地!
但在这样的洼地价格上,大华还为购房者带来了比肩千万级豪宅的产品力,真的是非常惊艳:
先来看户型:
建面约101㎡的3房!
稀缺属性上:
目前上海中小套配比已经改变了,小高层和高层产品未来的门槛将会是建面约110㎡起。
这意味着,未来不仅将增加10-20㎡置业成本,并且百平米左右的3房将成为市场臻稀产品。
产品力上:
如果你熟悉上海市场,你会发现目前市面上的户型普遍会面临:利用率低、有连廊、采光不足、卫生间少/功能性差、卧室太小不够等问题。
但大华公园柏翠的建面约101㎡3房2卫,却很好的解决了以上所有问题:
约5.3米的大横厅、整体约11.5米的巨型南向面宽!
一方面,在整个中环甚至是整个上海,百平米3房能做到约11.5米面宽的新房,只有大华公园柏翠。
另外一方面,这个南向采光面带来的居住舒适度是MAX级的。
尤其是约5.3米的大横厅+超大阳台的设计,撑起气场的同时,也能为家庭带来更多的生活想象。
实景图
小高层+飞机户型造就真3房的实用性!
小高层的天然高得房率+飞机户型带来的0走道优势,让这个百平米户型做到了真正的3房!
相比竞品户型的2房+1个功能房,其功能性天壤之别。
实景图
南北通透带来极为宜居的居住环境!
大华公园柏翠的客餐厅以及厨房一脉相连,中间套也能实现完全的南北通透,出色的空气流动性能为业主带来更加舒适、宜居的居住氛围。
LDKB的设计,在撑起气场的同时,也增加了更多的生活想象!
还有细节方面的设计,例如:次卫的干湿分离保证室内的干燥;入户的玄关、主卧的套房,保证了主人的私密空间...
这个户型拥有一个“好户型”的所有特质,上车必看的首选户型!
样板间看房视频独家首发!
建面约142㎡类一梯一户顶奢4房:
稀缺属性上:
2021年至今,整个上海140-145㎡新房仅供应532套,占比不足5%。光这个产品在整个市场中就已经足够稀缺了。
产品力上:
说实话,到建面约142㎡的维度,各个项目的户型设计都很不错。
但有几点真的是大华公园柏翠独有的。
类一梯一户,享独立电梯厅,在入户仪式感和私密性拉满的同时,增加了实际使用面积,变相提高了“得房率”。
四开间朝南,南向面宽达约15.4米,其中三卧朝南。一般来说,4房户型中2房朝北是逃不掉的问题,但大华公园柏翠长面宽短进深的设计,让这个户型的得房率、采光度更上一层楼。
约5.9米面宽的巨幕横厅,加上同样面宽的宽绰阳台,为业主带来更多的生活想象。
这个户型拥有一个好户型应该拥有的所有特质!
实景图
这两个产品,真的是如今上海市面上,同级别户型中设计感最强的户型。
最后,还有一点:项目将标配国际家装大牌、臻选精奢材质。
再来看比肩千万级豪宅的奢华公区:
在归家动线上特别打造了“三进式”归家礼序,并且每一层归家礼序的打造,都是按照千万级豪宅才有的规格。
一进:宽约80米、高约6米的气派大门。
并且在选材上选用来自吴哥窟的进口石材,尽显静谧奢华的气质。
主入口利用108片伯爵灰大理石打造12座景墙单元,辅以香槟色不锈钢修饰。
整体迎宾空间耗材约1800片大理石,这样的大门规格、石材用料以及用心程度,无不体现出大华公园柏翠对标豪宅的决心。
实景图
二进:围合庭院。
庭院由4处归家通道、8扇造型屏风和1座水景雕塑的一体化设计打造而成。
用料上,庭院两侧设计师选用大理石与镂空铝板虚实结合,利用2层柏翠造型铝线条错拼而成,更显精致;
实景图
三进:宅门。
整座大堂外墙采用伯爵灰大理石满铺高墙,电动门镶嵌宝格绿奢石,实现无感通行;
这些用料和最终呈现出来的浓郁海派氛围,是对大华集团实力和匠心最好的体现。
另外,大华公园柏翠利用12级叠水、2座树池、9步水上汀步,运用六重造景的手法打造近500平的中央水景!
实景图
用一颗柏翠树型的构筑物形成独具艺术气质的“大树咖啡厅”,不仅拔高了社区的整体审美艺术和品味,也可供业主闲时聊天赏景、遛宠遛娃。
并且将中心场地抬高1米,在水系池底通铺1300多片的PRADA绿石(仿石砖)、精选斜飘乌桕、造型紫薇等名贵树种...
不难看出,大华公园柏翠不仅卷用料,更在审美艺术、生活方式上接轨国际前沿,拔升了高端住宅的品味和调性,整体的公区用料更是媲美高端豪宅!
实景图
总的来说,大华公园柏翠的产品力,有着不输任何对手的底气!一旦步入二手,这就是整个中环旁的王者,拥有极强的未来潜力。
大宁市北高新产业区辐射
距离市区更近的约500万+起新房
一个好房子除了优质的产品外,地段也是非常关键的因素。
而大华公园柏翠的地段,有几个关键词:
静安400米!
大华公园柏翠距离静安区只有约400米左右的直线距离,是整个宝山距离中心城区最近的新房。
加上周边1号线、18号线、南北高架等城市主动脉的加持,整个大华公园柏翠去哪儿都方便。
大宁市北高新产业区外溢首站!
市北高新以数字经济全生态+数据要素创新等产业形态,与张江科学城(硬科技)、漕河泾(电子信息)形成错位竞争.
其能级位居上海中心城区科技园区第一梯队,更是上海数字化转型的核心引擎之一。
要知道,在漕河泾的辐射下,像闵行七宝、徐汇长桥都已经是千万级的置业区了。
而大宁这两年不断加码,区域内的新房目前放风价已经来到了约16万+的水平,作为大宁下一站,大华公园柏翠已经周边未来的发展,更是潜力十足!
商业、教育、生态不断落地!
当然,产业利好外溢是一方面,打铁还需自身硬,整个大华公园柏翠周边的居住价值,同样在不断升温。
商业方面,项目不仅近邻宝山万达,东侧一街之隔规划有约2.5万平方米商业综合体,繁华生活咫尺之间。
教育方面,大华公园柏翠南侧九年一贯制公办学校已经在建,未来的学府氛围将非常浓厚。
免责声明: 以上教育资源整理仅代表楼盘与学校的距离,该房屋所在项目暂未划分学区,开发商不对项目交房后所属学区、学校做任何承诺。教育资源分配或学校/学区划分以及学校的具体招生规则等请以政府相关主管部门、教育机构公开的最新信息为准。
生态方面,西南两侧还有规划的大体量生态绿化。
最后,大华公园城市前期千人摇号的一二三期均已交付入住,整个大社区的居住环境、氛围已经非常浓郁。四期大华公园柏翠这个王冠之上的作品一旦交付,即刻就能享受生活。
这个地段,不管是从交通、产业、配套还是生活环境来看,都是无懈可击的。是约500万+起能买到的,最好的地段!
三大利好加持
约500万+起的价格,真的错过就不再有
宝山其实从去年南北转型开始,就展现出了完全不同以往的发展势头来。
对于大华公园柏翠而言,周边更是三大利好加持:
中环北抬箭在弦上!
军工路快速路新建工程预计今年年内完工,意味中环北抬今年将迈出重要一步。
而长江西路快速路已被列入2025年上海市重大工程清单,预计即将开工。
一旦落地,大华公园柏翠就真的是中环内的新房了!
“一江两河”的城市脉络,正在孕育!
一江一河作为上海的顶层规划风光无限,但同样作为上海三大干河之一的蕴藻浜却一直默默无闻。
直到2024年,宝山公示了《吴淞江-蕰藻浜沿线地区专项规划》,上海北部这条主干河道的开发建设提上日程!
上海,有望从现在的“一江一河”,发展成为“一江两河”!
而蕰藻浜就在大华公园柏翠北侧。
将规划整体打造一条蓝绿交织、清新明亮、连湖串链、通江达海和水韵特色鲜明、创新功能集聚、滨水活力彰显的上海大都市江南水廊发展带,体现中华风范、江南风光、创新风尚。
图片来源网络
蕰藻浜将于黄浦江、苏州河一同组成钻石三角,支撑起上海的顶层规划。
而大华公园柏翠所在的位置,正好是蕴藻浜和东茭泾组成的t字水网,步行范围内遍布公园、河道,生态居住氛围浓郁。
最后,还有一点,就是:大场机场的搬迁!
总结一下,以大华公园柏翠为核心,周边聚集了宝山最重要的科创产业、资源能级。
同时,项目又是整个北中环距离静安、大宁,以及上海主动脉南北高架更近的项目。
示意图
可以预想到,未来以项目为中心,周边未来聚集的高薪产业、高知人口以及城市菁英不计其数。
而大华公园柏翠遥遥领先的产品力,未来将吸引这些改善置业客户的不断追逐,直至将其顶上北境之王的价格和地位。
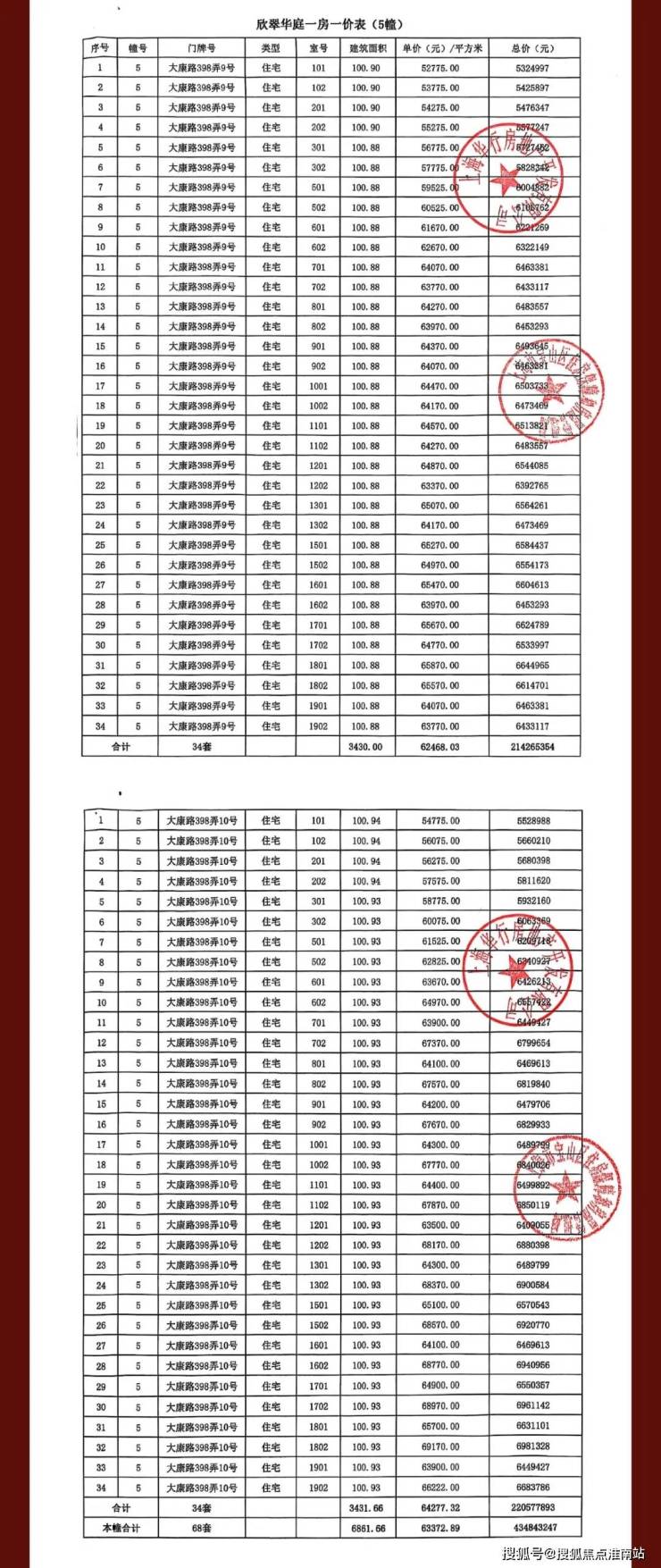
完整一房一价表如下:
上海宝山大华公园柏翠售楼处电话:400-9966-224✔✔【预约热线】大华公园柏翠售楼处营销中心:400-9966-224大华公园柏翠售楼处电话/地址☎:4009966224(开发商热线)如有问题欢迎来电咨询,专业一对一热情服务,让您用专业眼光去买房。
声明:本文由入驻焦点开放平台的作者撰写,除焦点官方账号外,观点仅代表作者本人,不代表焦点立场。
