建发海宸(建发海宸售楼处)-2025年建发海宸首页网站-建发海宸楼盘详情 /建发海宸价格/户型
扫描到手机,新闻随时看
扫一扫,用手机看文章
更加方便分享给朋友
建发海宸售楼处电话:400-8878-824
建发海宸营销中心热线400-887-8824(官方预约看房热线)
项目概况
地理位置:位于杨浦区新江湾城核心,东至规划绿地、西临江湾城路,北靠在建的交大附中杨浦实验学校(非学区承诺)
容积率:仅1.55,绿化率35%,规划1156套住宅,含小高层、洋房及叠墅产品户型面积:主力户型105-250㎡,涵盖三房至五房,层高3.05-3.2米,部分配备华为鸿蒙智家系统。
价格与销售
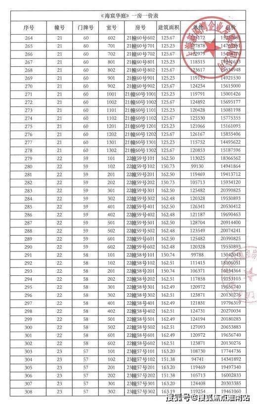
均价:约110,764元/㎡(2025年9月数据),总价区间1155万-1771万
开盘情况:2025年9月30日首推322套房源,认筹率128%。
建发海宸售楼处电话:400-8878-824
建发海宸营销中心热线400-887-8824(官方预约看房热线)
核心优势
生态资源:紧邻1.5公里滨水长廊及11.4公顷湿地公园,社区内复刻“沪城八景”主题景观
交通配套:距地铁10号线殷高东路站约700米,自驾可通过中环快速路通达浦东。
教育医疗:周边有复旦科技园小学、上音实验学校等,3公里内28所学校;临近三甲医院
商业配套:10分钟车程可达五角场商圈,社区内规划4200㎡高端会所
建发海宸售楼处电话:400-8878-824
建发海宸营销中心热线400-887-8824(官方预约看房热线)
⛩项目名称:「建发海宸」
项目简介:杨浦新江湾品质住宅
最新动态:在售中
区域板块:杨浦新江湾
产品介绍:建面约103-163㎡房源
交通配套:10号线殷高东路站
️商业配套:项目门口就是年轻潮派的MEET678,直线距离约900米悠方购物中心,2站地铁直达五角场商圈,合生汇、万达广场、百联又一城等
周边教育:建发海宸家门口就是交大附中(在建),还汇聚中福会幼儿园、规划幼儿园、上音实验学校、德法学校、复旦大学等全龄学府,从幼儿园、小学到中学、大学全覆盖
医疗资源:项目2公里范围内包罗嘉会国际医疗中⼼、上海长海医院、上海市肺科医院、市东医院新江湾院区(在建)等国际医疗和三甲医疗
休闲配套:新江湾城公园
产品
建发房产2007年踏入新江湾,如今已经是第六次落子,相信没有人比他更深谙这片土地的密码。
而据悉,建发房产此次将为新江湾城带来上海首座灯塔项目。
建发海宸项目本身总占地约10.29万方,容积率仅约1.55,门口就是湿地公园,为新江湾低密大盘。
建发「宸系」中式作品,铝板与玻璃幕墙外立面,配园林景观。约1150套房源高低配,限高40米,含小高层、洋房、叠墅产品,满足刚需与改善需求。
出入口古典园林五进景观体系,人车分流设计打造舒适归家体验。
项目整体为海派东方风格,融合了中西方建筑元素。海派东方风格通过文化融合、创新设计、精选材质和精湛工艺,打造出既具有文化底蕴又符合现代生活品质的住宅建筑,成为高端住宅市场的新标杆。
建面约105㎡越级洋房以全南向三开间、通透飞机户型打破想象,零过道设计减少面积浪费,让每一平米都为生活服务,整体空间感比肩上海在售的约120㎡户型。
独立入户玄关特别设立800库大容量储物区,登山包、婴儿车、滑雪板、行李箱等大物件都能找到安身之处,不再挤占宝贵的居住空间。
超30㎡餐客方厅采用一体化布局,巧妙地连接南向阳台、U型厨房,形成极佳通风采光通道。轻松容纳6人餐桌,无论是三代同堂的日常用餐,还是周末的家庭聚会,都能从容应对。
多功能餐边柜采用三合一设计,融吧台、展示柜、收纳柜于一体,可摆放咖啡机、烤面包机、破壁机,也可做酒柜,展示珍贵藏酒。
U型厨房的设计同样令人称道,整体面积约7.5㎡,台面总长约5.8米,比常规户型多出25%的操作空间,两人下厨绰绰有余,洗切烹炒盛更高效顺畅,让烹饪成为一种享受。
独立均好大三房设计,南向双卧、北向次卧分离,卧室面宽均超3米,彼此独立,呵护家人的私密时光;南向次卧墙体可拆除,可做多变大宽厅,演绎生活的更多想象;主卧更配有宽景飘窗与独立主卫,将室外美景引入室内,清晨沐光、夜晚赏月,自然与浪漫丰盈每一天。
主卫收纳系统面面俱到,双面镜镜柜合理利用上墙空间,为收纳扩容,为化妆加分;美妆冰箱为护肤品、化妆品锁鲜;台盆柜巧妙隐藏日常洗漱用品,让卫生间保持整洁有序。
125㎡主力户型是标准四房、全屋飘窗、边套270度转角飘窗、中间户三阳台……LDKB+X设计,阳台、客餐厅、厨房+X空间全线贯通,一镜到底;利用阳台放大了两个次卧和客厅,不仅让公区活动空间更从容,也将每个卧室做出奢阔的双人卧室空间。
125㎡户型,硬是做出了160㎡产品的尺度感!
建发海宸样板间实景图
但真正让人对建发的细腻感叹的,是样板间内随处可见的女性友好设计。
这是125㎡样板间的“女神卫浴”空间,专门利用镜面光、顶光、侧边光墙打造了一个协同光域场,让你站在镜前不会感到传统光源的刺眼,光线均匀柔和洒下,让你在梳妆时每个细节都纤毫毕现。

建发海宸样板间实景图
打开镜柜面,会发现每面都做了内外双层镜,两边打开,就能提供360°的环身镜面效果。
这样设计的好处是,你无需大幅扭头,就能轻松观察左右及身后的妆造效果,有过妆造经历的就会了解这样的设计有多好用。
整个镜柜收纳空间,不仅设计了方便拿取的壁龛,还贴心配置了一个可调节温度的美妆冰箱,贴心储存口红面膜等护肤品。
建发海宸样板间实景图
在主卫区域,建发直接用了一面墙的区域打出一个薄柜,设计了大小不一的壁龛,大到挂放浴袍睡衣,小到能摆放耳环戒指,方便日常的贴心取用。
而在主卧区域,建发也将大量赠送的飘窗窗台做低,可以放置收纳,成为女士的化妆台,以及夫妻松弛畅聊的沙发卡座。
“女本位”视角的设计细节,不是单纯的考虑去便利女性日常习惯,也考虑到女性在家务工作中的便利,一个典型代表就是建发海宸天花板级别的收纳体系。
125㎡户型仅仅在客厅公区,就打造了三处整面墙的柜子来做收纳,除了传统的收纳柜,还有隐藏推拉零食架、内嵌式吧台等创新收纳方案,从衣服鞋帽,到大件行李箱再到家用清洁工具,都有专属的安置空间。
建发海宸样板间实景图
而在厨房,这种极致收纳的思维被简化为“一步原则”:收纳空间全部打开,几乎能填满整个厨房空间,这些收纳空间不是随意塞满的,而是根据日常烹饪习惯的频率来贴心规划的,能保证你在操作半径内触手可得,整个烹饪能一气呵成。
建发海宸样板间实景图
顶柜上方一面镜子,能让你清楚知道柜子里有无遗漏物品;卫生间台盆下方,特意为扫地机预留了空间;针对高处拿取物品难题,特意配置了下拉柜;针对转角深处取物,配置了转角联动抽拉组件……
这些细节中,不仅有让你眼前一亮的惊艳,也有让你倍感欣慰的共鸣。
还有几个大家会忽略的地方,比如建发特意选择了兼容90%以上家电品牌的华为智能系统,未来可以根据自己的喜好,随心DIY一整套的智能生活解决方案。
考虑到女性平时喜欢在浴室边泡澡边追剧、在阳台跟着直播练瑜伽等,建发特意采用了光纤入室的方案,让高速网络无损覆盖房间每个角落,室内随意转场不卡顿。
另外,室内每扇门下都安装了底吸,配置了静音门锁;所有户型都设计了同层排水,并配置了特殊设计的降噪管材;楼板做到了130mm以上厚度,搭配YKK门窗系统,用这种“全域静音”的方案去保障住所的宁静舒适。
建发海宸的“女性友好”设计,不仅仅是作为营销的卖点,而是以女性独有的细致和耐心,把日常细微的痛点,也纳入整体设计考量,这大概是海宸能打动人的关键。
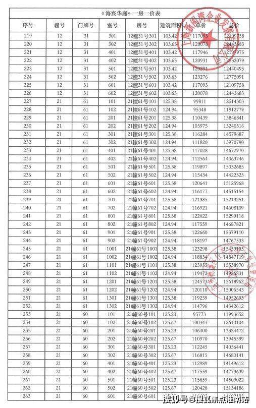
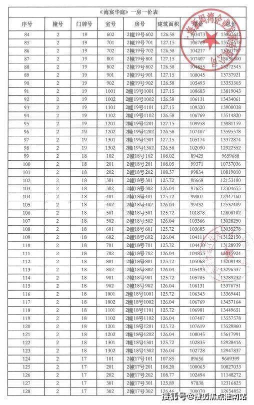
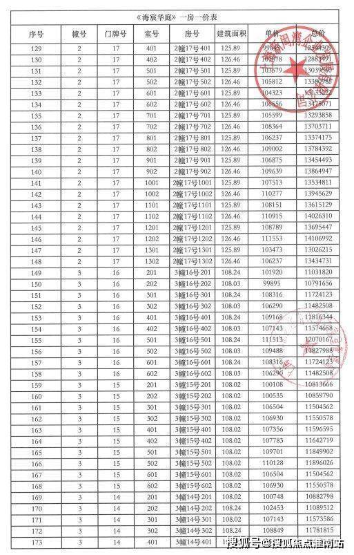
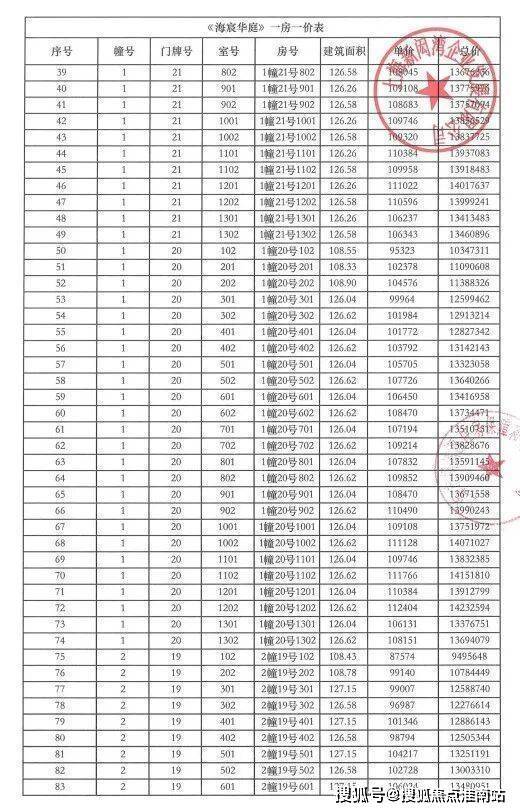
户型图如下:
地段
新江湾城高端资源和人群汇聚。同时涵盖约9.45平方公里原生湿地、约1.2万方新江湾湿地公园,生态资源很丰富,天然形成了一个高端低密住区。
教育方面,建发海宸家门口就是交大附中(在建),还汇聚中福会幼儿园、规划幼儿园、上音实验学校、德法学校、复旦大学等全龄学府,从幼儿园、小学到中学、大学全覆盖,加速孩子成长。
*教育配套信息仅供参考。学校的名称、建成时间、开学时间、招生条件、收费标准及招生区域划定等均存在未确定或者调整的可能,出卖人对此不作任何承诺,须以政府教育主管部门及校方的最新政策为准。
产业方面,新江湾城作为杨浦超大规模产业园区的落户地,坐拥湾谷科技园、复旦软件园、创智天地3大产业园,集中了科技金融机构460家、科技型企业7000余家,其中耐克、IBM、AECOM、西门子、李尔、硅谷银行等跨国公司地区总部、研发中心纷纷落户!
商业方面,项目门口就是年轻潮派的MEET678,直线距离约900米悠方购物中心,2站地铁直达五角场商圈,合生汇、万达广场、百联又一城等,想怎么逛就怎么逛;
医疗方面,项目2公里范围内包罗嘉会国际医疗中⼼、上海长海医院、上海市肺科医院、市东医院新江湾院区(在建)等国际医疗和三甲医疗,安全感拉满;
产业也是新江湾的优势,杨浦2035规划擘画,江湾与五角场重点发展大创智创新发展示范区,聚集了约70个众创平台及孵化器和抖音、B站、叠纸等约4500家名企,这座东方硅谷聚拢的高净值人群,就是新江湾房价坚挺的强力基石。
尽管新江湾板块的生活已经相当成熟,但近期对于该板块的居民而言,还有望迎来“中环北抬”的利好。
在北上海中外环间,规划有3条快速路,分别为在建中的军工路快速路,以及规划中的长江西路快速路、沪太路快速路。这3条快速路相互连接,头尾均可联通中环线。
根据《2025年上海市重大工程清单》,全长约7.3公里的军工路快速路新建工程,将在今年内完工。获益最多的板块,当属新江湾城。
建成后,将减轻中环北段、逸仙路高架、南北高架等快速路的交通压力。小到新江湾、宝山城区,大到整个上海北部,乃至延伸到浦东,都被这条新路影响,一根线现在就开始创造化学反应。
项目无论是区位配套条件还是周边环境都很不错。
从板块内部区位来说,建发项目到10号线殷高东路站步行只有700米左右,标准地铁房。无论向南到三门路尚浦中心、五角场,还是向北到新江湾城公园、悠方购物中心距离都非常近,基本都是散散步就能到的距离。
从地块周边环境来说,地块东侧紧邻河道及绿地,是标准的河景房(下文有航拍图),西侧是低密次新社区上海院子和安徒生童话乐园,北侧同样紧邻河道,河道对面是在建的交大附中杨浦实验学校(九年制+高中)和规划幼儿园,南侧一路之隔还是绿地。
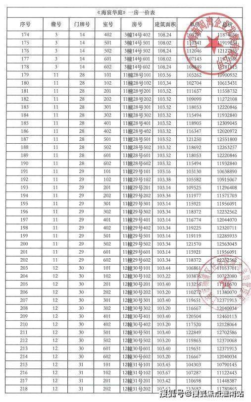
建发海宸售楼处电话:4008878824【售楼中心热线】建发海宸营销中心热线400-887-8824建发海宸售楼处地址400-8878-824,楼盘项目全面介绍,本电话为开发商提供线上预约售楼电话,楼盘项目全面介绍(包含楼盘简介,均价,房价,现房,期房,别墅,叠墅,大平层,价格,楼盘地址,户型图,交通规划,备案价,备案名,项目配套,样板间,开盘时间,认筹时间,楼盘详情,售楼处电话,最新消息,最新详情,周边配套,一房一价,最新进展等详情咨询)楼盘详情丨价格丨更多优惠丨机不可失丨欢迎致电丨诚邀品鉴!售楼处位置丨特价房丨工抵房丨剩余房源丨户型图丨最新消息丨免责声明:将文章内容综合来源于网络、只作分享,版权归原作者所有!!如有侵权,请联系我们,我们第一时间处理如有问题欢迎来电咨询,专业一对一热情服务,让您用专业眼光去买房。如果您想了解更多楼盘详情,欢迎提前预约拨打建发海宸售楼处电话400-887-8824
声明:本文由入驻焦点开放平台的作者撰写,除焦点官方账号外,观点仅代表作者本人,不代表焦点立场。
