朗拾花语(售楼处)首页网站-朗拾花语销售中心(营销中心)-朗拾花语楼盘欢迎您-小区环境-户型-价格-地址-楼盘详情-周边配套-售楼处电话-交房时间
扫描到手机,新闻随时看
扫一扫,用手机看文章
更加方便分享给朋友
朗拾花语售楼处电话:400-8878-824
朗拾花语营销中心热线400-887-8824(官方预约看房热线)
建面约92-122㎡3房户型
上期均价约7.7W本期均价约7.2W
便宜5092元/m²可直接选
售楼处线上火热预约
朗拾花语售楼处电话:400-8878-824
朗拾花语营销中心热线400-887-8824(官方预约看房热线)
上海闵行
上海闵行
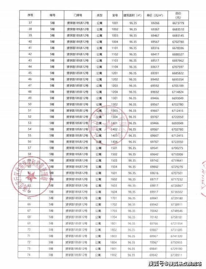
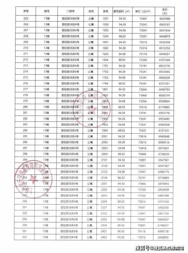
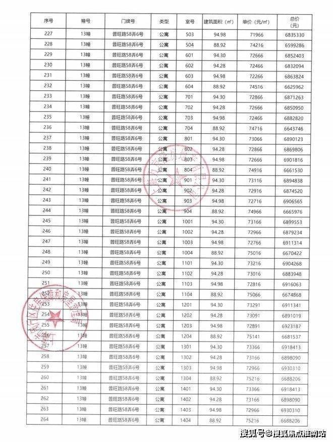
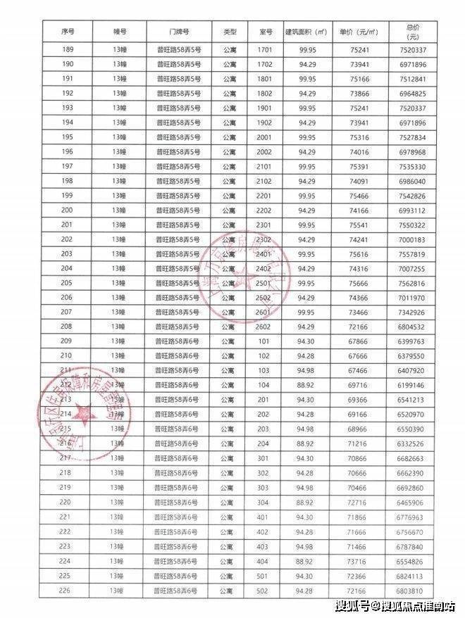
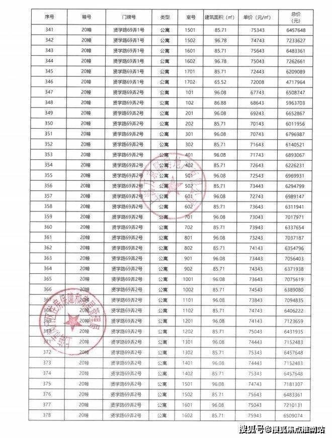
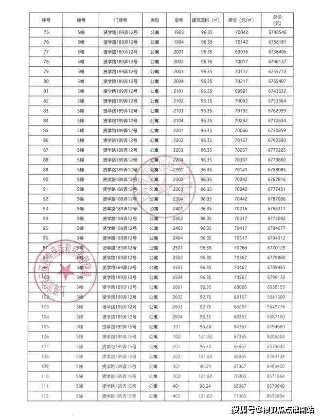
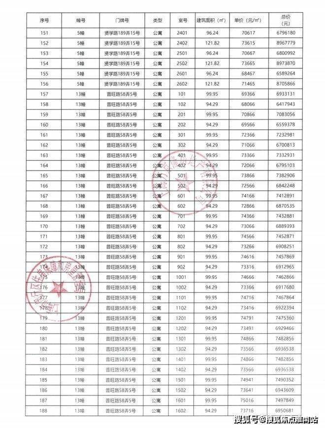
一房一价表
上海闵行
上海闵行
上海闵行
上海闵行
上海闵行
朗拾花语依据「花语」和「拾」的严苛选址标准,卓越的都会禀赋,成为朗拾花语重构社区与城市关系的契机。
实景图花语系实景图拾系实景图效果示意图效果示意图效果示意图效果示意图闵行区
中国铁建&万科·朗拾花语样板间实景图,仅供参考,欢迎实地参观
示范当代滨水人居的新高度!
中国铁建&万科·朗拾花语样板间实景图,仅供参考,欢迎实地参观
上海闵行
在产品方面,中国铁建&万科·朗拾花语期待值更是MAX!
客厅拥有一个宽景飘窗,可以纵览社区水景以及园林,视野出色。
中国铁建&万科·朗拾花语样板间实景图,仅供参考,欢迎实地参观
主卧套房设计,保证了主人的私密空间。
上海闵行
中国铁建&万科·朗拾花语样板间实景图,仅供参考,欢迎实地参观
客厅带宽面阳台,尺度感很强。
中国铁建&万科·朗拾花语样板间实景图,仅供参考,欢迎实地参观
上海闵行
卫生间干湿分离,保证居住的整洁清爽。
上海闵行
中国铁建&万科·朗拾花语样板间实景图,仅供参考,欢迎实地参观
入户玄关的设置,边上还可以打造一个收纳空间。不管后期是用来放双开门冰箱,亦或者是其他杂物都可以。
上海闵行
中国铁建&万科·朗拾花语样板间实景图,仅供参考,欢迎实地参观
户型方面,本次推出建面约86-121㎡3房,!收官发售
户型选择多样!不封阳台,得房率相对更高,精装&毛坯交付。
建面约86㎡3房2厅1卫
建面约92㎡3房2厅1卫
上海闵行
建面约99㎡3房2厅2卫
建面约121㎡3房2厅2卫
1国铁建&万科强强联合
23年4月21日,上海第一批次土地出让最后一天,梅陇社区MHP0-0306单元5-3、6-3、5-5、6-5地块,万科旗下上海万怡景置业有限公司与中国铁建旗下中铁房地产集团华东有限公司组成的联合体以75.486亿元竞得该地块。地块房地联动价75000元/㎡。
示意图
地块位置:东至贤学路、南至银都路、西至普旺路、北至贤荟路,分为四幅小地块:梅陇社区MHP0-0306单元5-3、6-3、5-5、6-5地块。
上海闵行
中国铁建:美好生活建造者
·2022年“世界500强企业”排名第39位、“中国企业500强”排名第11位;
·在全国及海外45个城市(含9个国家级新区)布局239个项目(截至2022年底)
·砥砺70余载,参与建造了中国第一条海底隧道—厦门翔安隧道,中国第一条高原铁路—青藏铁路。同时还参与建设了诸多耳熟能详的著名公建项目:如人民大会堂、港珠澳8大桥、京沪高速以及卡塔尔世界杯场馆等。
500强万科品牌实力
·连续7年登榜世界500强,2022年排178名;2022年中国民营企业500强排行榜排第9;
·国内进驻83个城市、七大区域,拥有600+个主要开发项目,海外布局8个重点城市;
·连续24年屡获中国建设工程鲁班奖、詹天佑奖等房地产综合开发领域的最高荣誉。
实景图
上海闵行
2花语系&拾系高端双系产品
2023上海里程碑新作:双世界500强中国铁建与万科,以花语系和拾系,联袂构建一座16万方滨水大城,为上海呈现一部里程碑作品。同时将花语倡导的“亲近自然的慢调、优雅的生活”和拾“推动着人主动发现、主动参与、主动拥抱生活,回应都市中未被满足的心情”相结合,更迭当代生活方式,倡导慢生活理念,焕新全城的想象与期待。
约16万方滨水大盘塑造美好人居:依托春申塘和西马屯泾汇聚而成的“T”型水域,沿河打造约16万方滨水大城,舒朗排布与错动的建筑,让居者更近亲水岸生活体验,形成都市中的一座水上自然岛屿。
效果示意图
隐谧精致的超级领域:在繁华都市中创造自然宁谧的居住体验,通过局部内退方式,在社区边界退让出可改造空间,将更多空间用于营造转角广场、口袋公园,勾画出一座都市的“超级领域”,让快节奏的生活优雅的慢下来。
精奢静雅的当代质感:以同步国际的质感、美学为基底,兼顾品质的精研、材质的臻选以及细节的演绎,同时于归家动线上打造了度假酒店般的落客空间,让归家充满仪式感和雅奢美学
以自然作为设计语言:运用光线、水、植物等元素,并萃取高端酒店设计,呈现更多自然、舒适且松弛的多元生活状态,在社区内打造静心庭院、水榭林间、微风草坪等松弛雅奢的都市谧境。
上海闵行
一体化的定制空间:将精致的生活理念,贯穿于建筑、景观、室内等各个组成部分。户型空间的一体化定制,以厅厨为核心的公共空间强调空间的可塑性,呈现更多愉悦、舒适、优雅的生活真意。
中国物业管理行业领跑者万科物业:连续第十年蝉联中国物业服务百强企业综合实力TOP1
·连续六年蝉联“中国房地产开发企业500强首选物业品牌”榜首,服务1800+项目
·连续三年获得“中国特色物业服务领先企业——企业总部基地”荣誉称号
3梅陇新中心都心十字焦点
项目位于闵行梅陇板块,闵行2035规划全新公布,梅陇地区也再次被提上日程——中部地区被定位为“闵行新中心”,规划范围东至景洪路、南至银都路、西至梅富路、北至梅南路-春申塘,总用地面积约118万㎡!
效果示意图
上海闵行
梅陇板块占据虹桥枢纽和南部科创中心结合点的中心区位,是上海西南重要门户区域。总体量约117.58万方,周边聚焦3大国家级产业区、5大科创中心、12大科创园等百亿科创资源,以及城市之门双子星,将打造宜居、宜商、宜业的城市新名片!作为梅陇新中心核心启动区的住宅组成部分,本项目未来将塑造城市美好人居蓝本。
效果示意图
闵行2035总规将梅陇中部地区提升为闵行的地区中心,随着周边轨道交通15号线、机场联络线和19号线的规划建设,地区区位和交通优势进一步凸显。
梅陇新中心城市设计效果图
交通方面:项目距离轨道交通15号线虹梅南路站仅约400米;3站达徐汇,6站进中环3大黄金轨交线:15号线、机场联络线(在建)、地铁19号线(规划);
·南邻银都路,串联闵行、徐汇、浦东三大中心;银都路越江隧道直通“浦东金色中环”;
·东侧为虹梅高架路,北与中环路相连、南与虹梅南路越江隧道相连,快速链接上海交通枢纽
示意图
商业方面:3大商业中心:仲盛世界商城、凯德龙之梦、上海最大的TOD天荟(在建,即将开业);
·3大生活商超:盒马鲜生、大润发、绚荟城;
项目周边整体规划业态不仅包含高品质住宅、酒店、商业、文化体育、休闲娱乐等,还将在虹梅南路两侧构建疏密有致、高低有序的建筑群。其中,核心区将新建两栋高120米的双子塔,建成后将成为区域全新地标门户。朗拾花语售楼处电话:4008878824【售楼中心热线】朗拾花语营销中心热线400-887-8824朗拾花语售楼处地址400-8878-824
效果示意图
教育方面:项目周边有闵行区实验小学、曹行小学、蔷薇小学、民办弘梅小学、民办育苗小学、莘松中学、曹行中心幼儿园、春申景城幼儿园等
朗拾花语售楼处电话:4008878824【售楼中心热线】朗拾花语营销中心热线400-887-8824朗拾花语售楼处地址400-8878-824,楼盘项目全面介绍,本电话为开发商提供线上预约售楼电话,楼盘项目全面介绍(包含楼盘简介,均价,房价,现房,期房,别墅,叠墅,大平层,价格,楼盘地址,户型图,交通规划,备案价,备案名,项目配套,样板间,开盘时间,认筹时间,楼盘详情,售楼处电话,最新消息,最新详情,周边配套,一房一价,最新进展等详情咨询)楼盘详情丨价格丨更多优惠丨机不可失丨欢迎致电丨诚邀品鉴!售楼处位置丨特价房丨工抵房丨剩余房源丨户型图丨最新消息丨免责声明:将文章内容综合来源于网络、只作分享,版权归原作者所有!!如有侵权,请联系我们,我们第一时间处理如有问题欢迎来电咨询,专业一对一热情服务,让您用专业眼光去买房。如果您想了解更多楼盘详情,欢迎提前预约拨打朗拾花语售楼处电话400-887-8824
买房是人生中的一件大事,但对于大多数人来说,尤其是第一次买房的朋友,这个过程可能会让人感到迷茫和焦虑。市场上充斥着各种信息,真假难辨,稍不留神就可能掉进“坑”里。别担心!这篇文章将为你提供一份详细的买房避坑指南,从选房到入住,手把手教你避开那些常见的雷区。
一、买房前的准备工作:知己知彼,百战不殆
1. 明确自己的需求
买房前,首先要问自己几个问题:
- 你是刚需还是投资? 如果是刚需,优先考虑交通便利、生活配套齐全的区域;如果是投资,则要考虑升值潜力。
- 你对房子的面积、户型有什么?要求 三室两厅还是两室一厅?南北通透还是其他布局?
- 你的预算范围是多少? 包括房价、税费、装修费等。
明确需求后,才能有的放矢地去选房。
2. 调查市场行情
- 了解房价走势:通过房产网站、中介或朋友推荐,掌握目标区域的房价水平及涨跌趋势。
- 关注政策动态:比如限购、限贷、首付比例等政策变化都会影响你的购房计划。
- 比较不同楼盘:同一区域内不同楼盘的价格、品质、开发商背景等都有差异,货比三家才能买到性价比高的房子。
3. 准备好首付和相关费用
- 首付:一般为房价的20%-50%,具体比例因城市和政策而异。
- 税费:契税、维修基金、交易手续费等都需要提前准备。
- 装修预算:如果买的是毛坯房,装修费用也需要纳入考虑。
二、选房阶段:细节决定成败
1. 地段是关键
- 交通便利:尽量选择地铁沿线或公交站点附近的小区。
- 生活配套完善:周边是否有超市、医院、学校、银行等设施。
- 未来发展潜力:比如是否靠近 CBD、新区或规划中的大型商业综合体。
2. 房屋本身的质量
- 户型设计:采光、通风、动静分区是否合理。
- 房屋结构:检查是否存在裂缝、渗水等问题。
- 隐蔽工程:如水电管道、墙体保温等,可以通过物业或邻居了解。
3. 开发商和物业公司
- 开发商资质:选择信誉良好的品牌开发商,避免买到烂尾楼。
- 物业公司口碑:好的物业公司能保障小区的安全和环境整洁。
三、看房阶段:眼见为实
1. 实地考察
- 看样板间:注意样板间的装修是否过度美化,与实际交付差距有多大。
- 看实体楼:观察建筑外观、施工进度、周边环境等。
- 看小区环境:绿化率、停车位数量、公共设施是否齐全。
2. 询问业主
- 如果是二手房,可以向邻居了解小区的管理情况、是否存在安全隐患等。
- 如果是新房,可以向已入住的业主了解交房质量和物业服务。
四、签约阶段:合同条款要仔细
1. 确认合同内容
- 房屋面积:建筑面积、套内面积是否与宣传一致。
- 交房时间:明确交房日期及违约责任。
- 装修标准:如果是精装房,要明确装修材料的品牌和档次。
- 附加条款:比如车位、储物间等是否包含在房价中。
2. 注意隐藏费用
- 物业费:了解物业费的收费标准及包含的服务内容。
- 维修基金:这笔费用通常由业主缴纳,用于房屋共用部位的维修。
五、收房阶段:验房是关键
1. 验房注意事项
- 检查房屋质量:墙面、地面、天花板是否有裂缝或脱落。
- 检查门窗:开关是否顺畅,密封性是否良好。
- 检查水电设施:水龙头、马桶、电路开关是否正常。
- 检查配套设施:电梯、消防设施、燃气管道等是否齐全。
2. 索要相关证件
- 房产证:确认产权归属是否清晰。
- 竣工验收报告:确保房屋符合国家标准。
六、入住阶段:后续事项要做好
1. 办理落户和过户手续
- 及时办理房产过户手续,确保自己的权益。
- 如果需要落户,提前咨询当地派出所的落户政策。
2. 装修注意事项
- 选择正规装修公司:避免低价陷阱。
- 签订装修合同:明确工期、材料、付款方式等细节。
3. 注意邻里关系
- 入住后主动与邻居打招呼,建立良好的邻里关系。
- 遵守小区公约,避免噪音扰民。
结语
买房是一项复杂的系统工程,从选房到入住的每一个环节都可能隐藏着“坑”。但只要做好充分的准备工作,保持清醒的头脑,就能避开这些雷区,买到心如意的房子称。希望这篇文章能为你提供一些实用的参考,让你的买房之路更加顺利!
感谢您阅读本文!如果您喜欢我的内容,请关注我的账号,以便获取更多精彩文章。同时,也欢迎点赞、收藏、评论
声明:本文由入驻焦点开放平台的作者撰写,除焦点官方账号外,观点仅代表作者本人,不代表焦点立场。
