中海·云邸玖章售楼处地址-上海杨浦中海·云邸玖章营销中心热线-楼盘详情-小区配套-户型-周边配套
扫描到手机,新闻随时看
扫一扫,用手机看文章
更加方便分享给朋友
@上海杨浦中海·云邸玖章售楼处电话:400-9966-224®中海·云邸玖章营销中心热线4009966224(官方预约看房热线)中海·云邸玖章售楼处营销中心:400-9966-224[售楼处电话/地址]杨浦滨江三开三罄红盘!「中海·云邸玖章」持续热销中!南区少量约104-148㎡3-4房均价12万/m²!总价1150万起!
售楼处线上火热预约中!
在2024年四季度的土地出让中,中海分别拿下杨浦滨江三幅地块,三个地块相距不远,预计很快就会入市!

中海杨浦区K2-04地块(定海街道134街坊)商品住宅项目规划设计方案进行公示,拟建3幢17-18高层、4幢3F别墅。方案显示,该地块总占地面积14206㎡,容积率2.5,总建筑面积58267㎡,地上建筑面积38114.91平方米,地下建筑面积20153㎡,计容建筑面积35517㎡。
2024年10月25日,中海地产于六批次土拍中以32.1亿拿下杨浦区定海社区K204地块(定海街道134街坊)和杨浦区定海社区G2-5地块(定海街道137街坊)两宗地块,出让楼面价69158元/㎡,中小套型占比40%,装标集采价4000元/㎡。
据此前G2-5地块的项目设计公示,拟建设1幢15F高层、1幢18F公租房,其中1#商品住宅由三个单元组成,局部架空,物业、业委会、快递柜也都集中在1层。
项目坐落于上海一江一河规划中唯一的世界级科创中心承载区——杨浦滨江,是中海地产继徐汇滨江中海领邸·玖章之后,再次延续「玖系」产品系择址观。
海的滨江概念盘很多。但仔细数数,但凡贴着江边,几分钟就能走到的项目,就那么几个,价格还都要高出一大截。项目价格暂时尚未有过多披露,但参考上海今年土拍溢价行情,笔者个人猜测项目未来售价极有可能达到15万+!
相较于同级别内环滨江段新盘价格梯度,黄浦滨江17万+/㎡、徐汇滨江20万+/㎡,中海·云邸当前均价11.49万/㎡的价格存在不小的优势。
中海·云邸玖章是当下距离江最近的项目。直线距江岸线仅约500米,这是一个能够把滨江真正融入生活的距离,晚饭后你会很乐意去滨江遛弯、遛娃、遛狗……

北区有4栋楼,以下为北区效果图及北区景观:

北区单元门大堂效果图

北区庭院效果图

北区5号楼架空层前效果图
南区有7栋楼,以下为南区效果图及南区景观:

社区主出入口效果图

南区下沉式庭院效果图

南区架空层水晶效果图

社区中心泳池效果图
杨浦滨江中海玖系新著「中海·云邸玖章」首开售罄!二批次最终认购234组,认购率223%,开盘热销几成定局!现场人气堪称火爆,有图有真相!
最新消息!杨浦滨江热盘「中海·云邸玖章」至今已三开三罄!南区少量约104-148㎡3-4房;总价1150万起!实景会所展示区已开放!售楼处线上火热预约中!
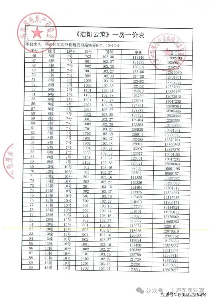
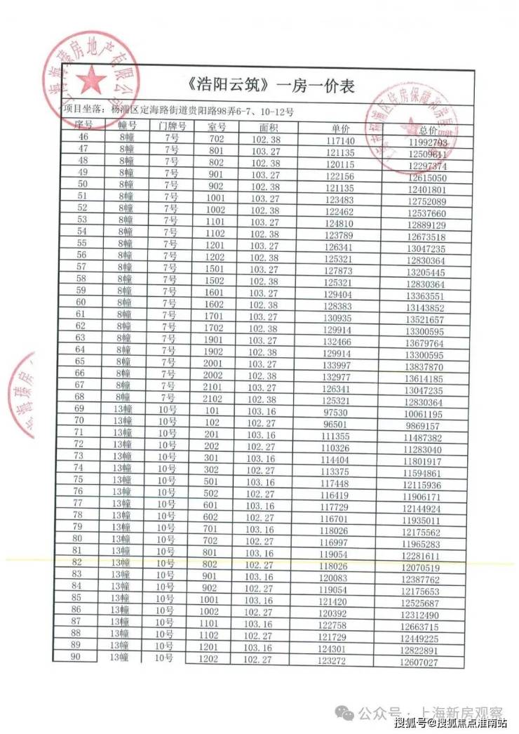
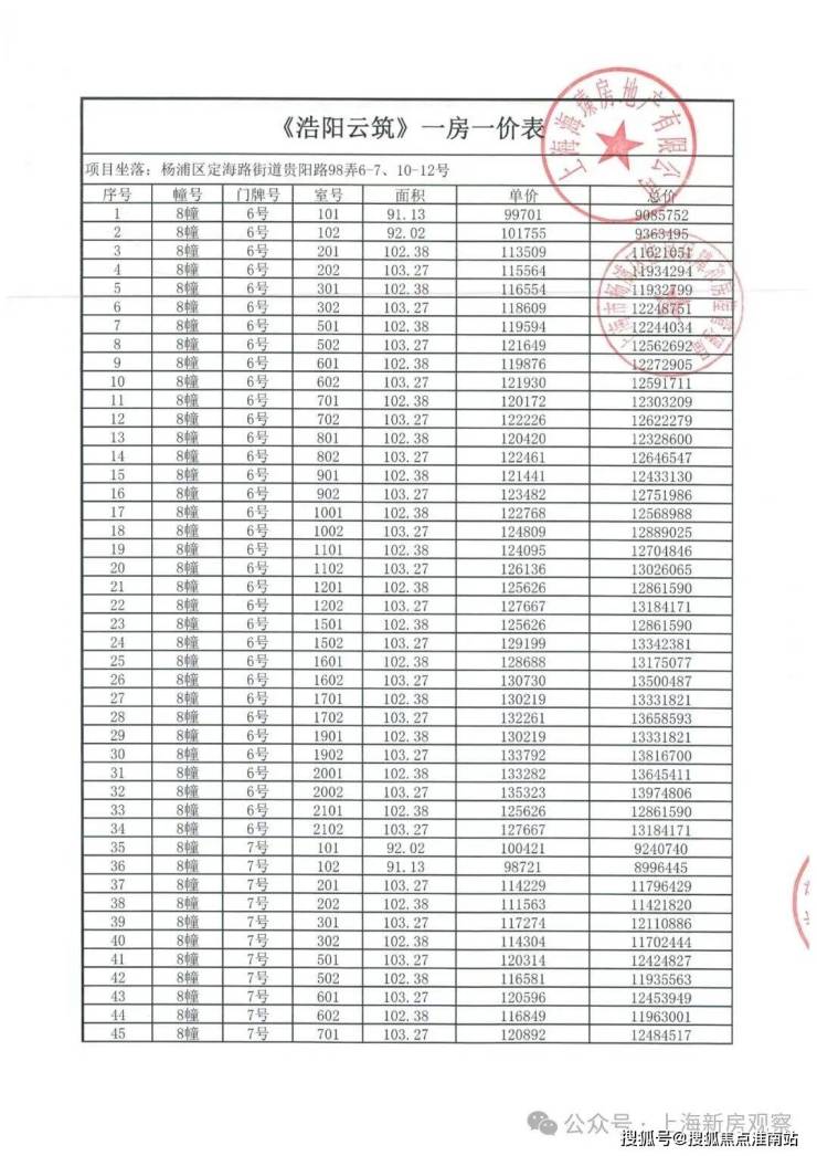
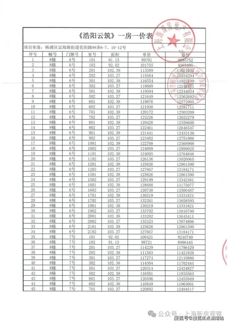
一房一价表如下:
样板间内部实景:104㎡户型








再来重点看楼王7号楼,全部是建面约148㎡4房改善大户型,可以说集项目所有精华于一体。

7号楼西面就是入户大门和大堂,紧挨着下沉庭院和会所,下楼即享整个杨浦滨江独一份的豪华会所体验,对泳池、健身房爱好者更是具备致命的吸引力!而且7号楼一层全架空,打造的精致架空层,为业主增添归家仪式感和保障私密性的同时,也增强了日常休闲娱乐氛围。堪称
“0距离双会所”配置!仔细看西边这条动线,从进小区到进大门,纵览项目所有精华社区配置,来访客人必然惊叹其品质,这一条无比尊崇的归家路线当真是楼王专属!再看楼栋南北前后,南面是一望无际的核心景观,日照视野无敌。北面同样几无遮挡,这种前后皆一往无前的配置,才配得上楼王的气质!

别急,室内还有惊喜!针对7号楼王建面约148㎡大户型,项目打造了全新样板间让尊崇再加码,预计本周末盛大开放。全新样板间,除了原来的豪宅装标,还大量选用了鱼肚灰、安第斯雪景、水云沙、雅柏灰...等多种名贵奢石。
比如,客厅的电视背景墙、地面、主卫、飘窗等区域选材都升级为奢石。另外,客厅沙发背景墙、卧室背景墙升级为精美皮革,木饰面升级为温润影木,室内的豪宅气质更胜往昔!





中海·云邸玖章距离江岸直线距离仅约500m,作为当下片区内离江最近的项目,享美团、B站、超级合生汇等地标综合体配套,杨浦滨江生活中心。

作为中海“玖”系豪宅之作,项目从建筑立面、社区大堂、会所、单元大堂、宅间景观等不同维度进行精研,通过考究的用材用料、松弛的场景感,为生活情境适度的留白,打造恒贵的产品质感。
与徐汇滨江中海·领邸玖章的同源会所空间,原班设计人马打造,中海·云邸玖章会所最新效果图过程稿独家首发:
仅供示意参考,以交付为准
从地理上看,中海杨浦定海社区项目紧邻缦云上海,直线距离12号线隆昌路站约500米,向东是复兴岛和金滩,向南是杨浦滨江南段的众多企业总部聚集区,是近年来杨浦重点开发区域。

在上海“一江一河”的顶层设计规划中,杨浦滨江南段是50km滨江带中唯一的科创研发板块,定位世界级的科创中心。将联动北外滩-陆家嘴,形成了上海的“滨江CAZ圈”,一条千亿秀带集聚中节能、美团、哔哩哔哩总部等在内的国内外100余家知名头部企业,到2027年都将基本实现竣工。
届时杨浦滨江将至少导入20万高知人才,超30家在线新经济头部企业、超3000家在线新经济创新型企业将在此汇聚,实现超3000亿元规模产值。

就在去年5月29日,“2024年首届杨浦滨江世界未来水岸峰会”正式召开。会上就杨浦滨江的发展,作出了最权威的解读,同时,也释放出了杨浦滨江正式进入规划红利兑现期的重大信号——2-3年之内,杨浦滨江将全面建成!
杨浦滨江南段核心区正打造在线新经济的“总部秀园”,商办项目总投资额达1000亿元,总开发量约260万平方米,其中已建成项目开发量约32万平方米,未开工项目开发量约58万平方米,在建项目开发量约170万平方米。
如在建的美团上海科技中心、哔哩哔哩新世代产业园、抖音集团上海滨江中心、中交集团上海总部、中节能上海首座项目、杨浦滨江创智中心等重大项目都将于2026年底左右陆续竣工并投用。

以B站总部为例,约31万㎡的办公,其中,高150米办公楼是园内最高建筑。园区内商业面积约14万㎡,是杨浦最大的商业体之一。球体状Bili星球、广场中央橙色巨型哔哩哔哩二次元小电视IP形象为整个产业园营造活力、欢乐氛围。这将是上海为新一代年轻人提供的世界级二次元地标!

美团总部,同样拥有约6.5万方自持商业,未来也将积极引入首店和旗舰店,汇聚必吃榜、黑珍珠餐厅、全球特色美食,将成为杨浦的全新商业地标。

美团,更将带来先进的无人机配送技术,未来将在杨浦起航,覆盖办公场景、校园场景、甚至医疗运输场景!

超级合生汇,是合生商业在上海的第三座合生汇,同时也是“超极合生汇”的首个滨江高端落地项目。如果说五角场合生汇是杨浦的一颗宝石,那超级合生汇,就是杨浦的璀璨明珠!

总体量达11万平方米,将引入一批首店和全新业态,将带给消费者全新体验,为杨浦滨江消费将迎来全面升级。作为杨浦滨江重要商业节点,依托轨道交通站点,利用地下与空中连廊立体连通,历史建筑新旧融合保留百年杨浦特色,全维促进区域商业能级提升,构建世界级滨水生活街区。

更重要的是,这一座超级合生汇的重点,不仅仅是商业的招商,更是对于人的运营。这里提供的,是一个人文的空间,是除了家庭、工作、居住以外的第三空间,跑步爱好者可以在这里找到自己的跑友,广场舞爱好者同样可以在这里找到独属于自己的社群!这里,将是一个大型的社区群聚的空间。

而以上种种,在大会上都已经明确,将在2026年建成!限定世界500强企业开发的杨浦滨江,正在加速兑现!
无论是B站还是美团,都从科技、从人文、从艺术出发,先有内容筑基,再发展硬件,打造了一个不一样的滨江秀带。在整个杨浦滨江上面看到的是有很多工业的遗存,从工业的秀带如何带到缤纷的滨江秀带。
杨浦滨江独占约1/3黄浦江滨江线,滨江步道、跑道、骑行道已全线贯通,同时规划约48.5万㎡公共绿地。此外,根据规划未来将有40幢,总建面约16万㎡历史保护建筑陆续更新为城市文化艺术空间。
杨浦滨江实景图杨浦滨江「中海·云邸玖章」南区少量约104-148㎡3-4房;总价1150万起!!
@上海杨浦中海·云邸玖章售楼处电话:400-9966-224®中海·云邸玖章营销中心热线4009966224(官方预约看房热线)中海·云邸玖章售楼处营销中心:400-9966-224[售楼处电话/地址]
中海·云邸玖章售楼处电话:4009966224【售楼中心热线】中海·云邸玖章营销中心热线400-996-6224中海·云邸玖章售楼处地址400-9966-224,楼盘项目全面介绍,本电话为开发商提供线上预约售楼电话,楼盘项目全面介绍(包含楼盘简介,均价,房价,现房,期房,别墅,叠墅,大平层,价格,楼盘地址,户型图,交通规划,备案价,备案名,项目配套,样板间,开盘时间,认筹时间,楼盘详情,售楼处电话,最新消息,最新详情,周边配套,一房一价,最新进展等详情咨询)楼盘详情丨价格丨更多优惠丨机不可失丨欢迎致电丨诚邀品鉴!售楼处位置丨特价房丨工抵房丨剩余房源丨户型图丨最新消息丨免责声明:将文章内容综合来源于网络、只作分享,版权归原作者所有!!如有侵权,请联系我们,我们第一时间处理如有问题欢迎来电咨询,专业一对一热情服务,让您用专业眼光去买房。如果您想了解更多楼盘详情,欢迎提前预约拨打中海·云邸玖章售楼处电话400-9966-224
声明:本文由入驻焦点开放平台的作者撰写,除焦点官方账号外,观点仅代表作者本人,不代表焦点立场。
