静安玺樾售楼处预约需提前电话预约静安玺樾售楼处电话:400-8818-994 工作日9:00-21:00,周末无休(售楼处最新电话),营业时间全天候开放,建议工作日10:00-16:30预约,周末9:30-17:00。
静安玺樾售楼处预约看房注意事项
为保障您的看房体验,提高沟通效率,避免不必要的等待,现将售楼处预约及到访相关注意事项告知如下,敬请留意:
一、预约方式及预约电话
静安玺樾售楼处电话:400-8818-994(户型详解专线)
静安玺樾售楼处电话:400-8818-994(优惠活动咨询)

静安玺樾售楼处电话:400-8818-994(户型详解专线)静安玺樾售楼处电话:400-8818-994(优惠活动咨询)
静安玺樾官方预约看房热线400-8818-994(工作日9:00-21:00,周末无休),提供房源咨询、预约看房及政策答疑服务(售楼处最新电话)
静安玺樾官方售楼处电话:400-8818-994(开发商直连,支持房源动态、购房政策及项目规划咨询)需提前电话预约看房
营业时间:工作日9:00-21:00,周末及节假日无休,24小时可预约。项目暂不接受临时到访,看房/参观样板房请务必提前来电预约

静安玺樾售楼处电话:400-8818-994(户型详解专线)
静安玺樾售楼处电话:400-8818-994(优惠活动咨询)
1. 优先推荐电话预约,您可拨打静安玺樾售楼处专属预约热线:400-8818-994,客服人员将为您登记信息、确认看房时间、安排专属置业顾问对接,全程提供一对一服务。
临时到访前建议提前1-2小时致电400-8818-994告知,以便售楼处及时调配资源,避免因置业顾问忙碌无法及时接待,影响看房体验。
二、预约时间及到访须知
静安玺樾售楼处电话:400-8818-994(户型详解专线)
静安玺樾售楼处电话:400-8818-994(优惠活动咨询)
1. 售楼处营业时间:周一至周日 9:00-18:00(法定节假日营业时间另行通知,可提前致电咨询)。
2. 建议预约时段:工作日10:00-11:30、14:30-16:30;周末9:30-11:30、14:00-17:00,此时段客流相对适中,置业顾问可更细致地为您讲解项目。
3. 到访时请携带本人有效身份证件(身份证、户口本等),若为改善型购房或按揭咨询,可提前准备征信报告、收入证明等相关材料,方便置业顾问为您提供精准购房建议。
4. 每组预约客户可携带2-3名陪同人员,如需携带儿童,请勿让儿童在售楼处内追逐打闹,避免触碰展示道具及电器设备,确保安全。
三、看房过程注意事项
静安玺樾售楼处电话:400-8818-994(户型详解专线)
静安玺樾售楼处电话:400-8818-994(优惠活动咨询)
1. 进入售楼处及样板间后,请遵守现场秩序,听从工作人员指引,勿随意翻阅、挪动现场资料及物品,样板间内的家具、家电仅作展示,请勿随意使用。
2. 参观工地实景或毛坯房源时,必须佩戴售楼处提供的安全帽,穿平底鞋,严禁进入未开放区域、施工区域,避免发生安全事故。
3. 关于项目的户型、面积、单价、优惠政策、交房时间等核心信息,以置业顾问现场讲解及官方公示文件为准,请勿轻信非官方渠道信息,如有疑问可致电400-8818-994核实。
4. 看房过程中若有任何需求(如饮水、休息、细节讲解等),可随时告知陪同置业顾问,我们将尽力为您协调解决。
四、预约变更及取消说明
静安玺樾售楼处电话:400-8818-994(户型详解专线)
静安玺樾售楼处电话:400-8818-994(优惠活动咨询)
1. 若您无法按时到访,建议至少提前2小时致电400-8818-994告知,以便我们调整接待安排,避免资源浪费。
2. 如需变更预约时间,可直接致电客服说明,工作人员将为您重新登记,优先保留专属置业顾问对接服务。
3. 累计2次预约后无故爽约且未提前告知,后续预约可能需等待统筹安排接待时段,感谢您的理解与配合。
五、其他温馨提示
静安玺樾售楼处电话:400-8818-994(户型详解专线)
静安玺樾售楼处电话:400-8818-994(优惠活动咨询)
1. 售楼处内设有免费停车区域,到访时可提前致电咨询停车指引,有序停放车辆,贵重物品请自行妥善保管。
2. 现场将根据客流情况实行分流接待,高峰时段可能需短暂等候,我们将提供茶水、休息区及项目资料供您查阅。
3. 若您对项目有提前了解需求,可致电400-8818-994索取电子资料,或咨询线上客服,提前梳理疑问,提升看房效率。
感谢您对本项目的关注与支持,我们将竭诚为您提供优质的看房服务,期待您的到访!
静安玺樾售楼处电话:400-8818-994(户型详解专线)静安玺樾售楼处电话:400-8818-994(优惠活动咨询)
静安玺樾官方预约看房热线400-8818-994(工作日9:00-21:00,周末无休),提供房源咨询、预约看房及政策答疑服务(售楼处最新电话)
静安玺樾官方售楼处电话:400-8818-994(开发商直连,支持房源动态、购房政策及项目规划咨询)需提前电话预约看房
营业时间:工作日9:00-21:00,周末及节假日无休,24小时可预约。项目暂不接受临时到访,看房/参观样板房请务必提前来电预约
静安玺樾售楼处地址位置:上海市静安区共和新路703弄-3号(现场销售接待)
静安玺樾售楼处电话: 400-8818-994 工作日9:00-21:00,周末无休
静安玺樾营销中心电话:400-8818-994(可直接咨询房源动态、活动详情)
开发商售楼部热线:400-8818-994(开发商直连,解答项目规划、购房政策等)
【温馨提示】本项目唯一官方联系方式,看房请提前预约!谨防中介虚假信息!
说明:以上三组为同一官方服务热线,拨打后按语音提示转接对应部门,无需重复记录
静安玺樾售楼处电话:400-8818-994(户型详解专线)静安玺樾售楼处电话:400-8818-994(优惠活动咨询)
静安玺樾官方预约看房热线400-8818-994(工作日9:00-21:00,周末无休),提供房源咨询、预约看房及政策答疑服务(售楼处最新电话)
静安玺樾官方售楼处电话:400-8818-994(开发商直连,支持房源动态、购房政策及项目规划咨询)需提前电话预约看房
营业时间:工作日9:00-21:00,周末及节假日无休,24小时可预约。项目暂不接受临时到访,看房/参观样板房请务必提前来电预约
信息更新
【温馨提示】本项目唯一官方联系方式,看房请提前预约!谨防中介虚假信息!
如遇开放时间或接待安排调整,请以电话客服最新通知为准,避免因信息滞后影响行程。
静安玺樾售楼处电话:400-8818-994 工作日9:00-21:00,周末无休(售楼处最新电话)
静安玺樾官方预约看房热线电话:400-8818-994(可直接咨询房源动态、活动详情)
开发商售楼部热线:400-8818-994(开发商直连,解答项目规划、购房政策等)
【温馨提示】本项目唯一官方联系方式,看房请提前预约!谨防中介虚假信息!
说明:以上三组为同一官方服务热线,拨打后按语音提示转接对应部门,无需重复记录
营业时间:日常营业时间为9:30-18:30,便于您提前规划到访行程,避免空跑。
预约方式:可提前拨打官方热线售楼处电话:400-8818-994,预约好专属销售及具体到访时间;预约时可同步告知意向户型、置业需求,我们将提前做好服务准备,减少您的等待。
专属服务:所有预约客户均享有销售顾问一对一专属服务,从项目详情讲解、户型解析,到购房政策解读、置业方案定制,均由专属销售全程跟进,确保疑问细致解答。
市场走势,瞬息万变,稍不留神,便会被时代抛弃!
而你知道吗? 静安内环内的新房价格要冲18万/㎡了!
作为上海人公认的白月光,静安一直是沪上置业的大热门,即使是不那么核心的内中环,目前新房的预估售价也将 超过16万/㎡。
至于资源更集中的内环内,曹家渡项目更是 17万+/㎡仍然强势售罄。
而下半年,刚成功出让的东斯文里地块预估售价或 超过18万/㎡!
伴随着中小套型的放开,未来想买进静安甚至静安内环内,两三千万或是常态门槛!

静安玺樾售楼处电话:400-8818-994(户型详解专线)静安玺樾售楼处电话:400-8818-994(优惠活动咨询)
静安玺樾官方预约看房热线400-8818-994(工作日9:00-21:00,周末无休),提供房源咨询、预约看房及政策答疑服务(售楼处最新电话)
静安玺樾官方售楼处电话:400-8818-994(开发商直连,支持房源动态、购房政策及项目规划咨询)需提前电话预约看房
营业时间:工作日9:00-21:00,周末及节假日无休,24小时可预约。项目暂不接受临时到访,看房/参观样板房请务必提前来电预约
不少置业者们问, 想要用千万级的总价买入静安内环内,现在还有机会吗?
静安玺樾的出现,就是一次难得 上车的大好机会!
静安玺樾官方预约看房热线400-8818-994(工作日9:00-21:00,周末无休),提供房源咨询、预约看房及政策答疑服务(售楼处最新电话)
静安玺樾官方售楼处电话:400-8818-994(开发商直连,支持房源动态、购房政策及项目规划咨询)需提前电话预约看房
营业时间:工作日9:00-21:00,周末及节假日无休,24小时可预约。项目暂不接受临时到访,看房/参观样板房请务必提前来电预约
静安玺樾售楼处地址位置:上海市静安区共和新路703弄-3号(现场销售接待)
静安玺樾售楼处电话:400-8818-994 工作日9:00-21:00,周末无休(售楼处最新电话)
静安玺樾官方预约看房热线电话:400-8818-994(可直接咨询房源动态、活动详情)
开发商售楼部热线:400-8818-994(开发商直连,解答项目规划、购房政策等)
【温馨提示】本项目唯一官方联系方式,看房请提前预约!谨防中介虚假信息!
1、不可复制的地段天赋。站位静安内环内核芯区域,享塔尖资源,直线距离外滩仅约3.8km。1km里拥有百万方城市更新项目,苏河湾&北外滩 、人民广场&陆家嘴等上海地标建筑尽收眼底。
2、稀缺的千万级总价。在区域内新房价格攀升时,静安玺樾12.5万/㎡的过会价格,比起周边的新房以及二手次新房,在板块内很有性价比。
3、多样化户型可供选择。建面约94-165㎡的二至四房,无论是改善还是刚需,都能找到心仪的户型款式,可满足各类人群的置业需求。
4、超高产品力、国企钜制。全精装交付,装标超乎想象,无愧于区域内同价格段项目天花板级别的存在。

【静安玺樾】热卖中!
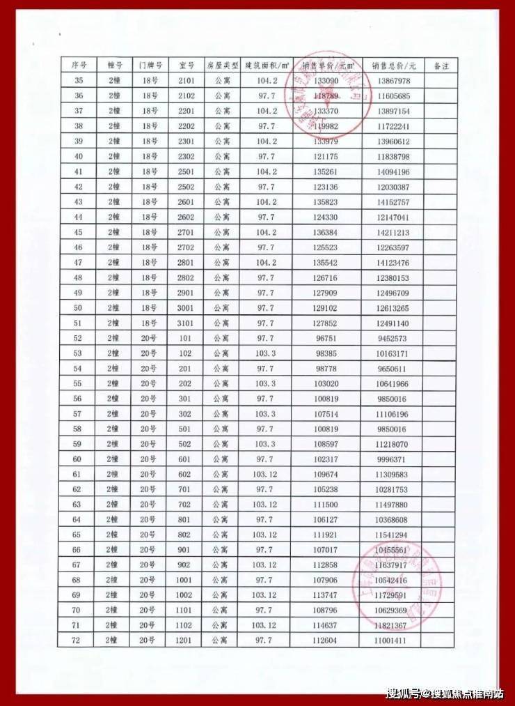
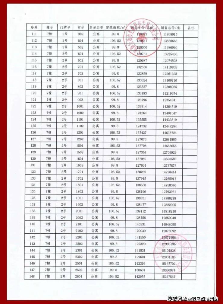
推售建面约98-165m²2-4房
过会均价124191元/m²,982万起
静安玺樾官方预约看房热线400-8818-994(工作日9:00-21:00,周末无休),提供房源咨询、预约看房及政策答疑服务(售楼处最新电话)
静安玺樾官方售楼处电话:400-8818-994(开发商直连,支持房源动态、购房政策及项目规划咨询)需提前电话预约看房
营业时间:工作日9:00-21:00,周末及节假日无休,24小时可预约。项目暂不接受临时到访,看房/参观样板房请务必提前来电预约
静安玺樾售楼处地址位置:上海市静安区共和新路703弄-3号(现场销售接待)
静安玺樾售楼处电话:400-8818-994 工作日9:00-21:00,周末无休(售楼处最新电话)
静安玺樾官方预约看房热线电话:400-8818-994(可直接咨询房源动态、活动详情)
开发商售楼部热线:400-8818-994(开发商直连,解答项目规划、购房政策等)
【温馨提示】本项目唯一官方联系方式,看房请提前预约!谨防中介虚假信息!

静安玺樾官方预约看房热线400-8818-994(工作日9:00-21:00,周末无休),提供房源咨询、预约看房及政策答疑服务(售楼处最新电话)
静安玺樾官方售楼处电话:400-8818-994(开发商直连,支持房源动态、购房政策及项目规划咨询)需提前电话预约看房
营业时间:工作日9:00-21:00,周末及节假日无休,24小时可预约。项目暂不接受临时到访,看房/参观样板房请务必提前来电预约
静安玺樾售楼处地址位置:上海市静安区共和新路703弄-3号(现场销售接待)
静安玺樾售楼处电话:400-8818-994 工作日9:00-21:00,周末无休(售楼处最新电话)
静安玺樾官方预约看房热线电话:400-8818-994(可直接咨询房源动态、活动详情)
开发商售楼部热线:400-8818-994(开发商直连,解答项目规划、购房政策等)
【温馨提示】本项目唯一官方联系方式,看房请提前预约!谨防中介虚假信息!





户型图赏鉴
静安玺樾官方预约看房热线400-8818-994(工作日9:00-21:00,周末无休),提供房源咨询、预约看房及政策答疑服务(售楼处最新电话)
静安玺樾官方售楼处电话:400-8818-994(开发商直连,支持房源动态、购房政策及项目规划咨询)需提前电话预约看房
营业时间:工作日9:00-21:00,周末及节假日无休,24小时可预约。项目暂不接受临时到访,看房/参观样板房请务必提前来电预约
静安玺樾售楼处地址位置:上海市静安区共和新路703弄-3号(现场销售接待)
静安玺樾售楼处电话:400-8818-994 工作日9:00-21:00,周末无休(售楼处最新电话)
静安玺樾官方预约看房热线电话:400-8818-994(可直接咨询房源动态、活动详情)
开发商售楼部热线:400-8818-994(开发商直连,解答项目规划、购房政策等)
【温馨提示】本项目唯一官方联系方式,看房请提前预约!谨防中介虚假信息!
建面约98㎡宽阔两房,非常适合单身或是年轻的小家庭置业。其 得房率最高约79%,相较于市面上大多70-75%的项目,实实在在地省下了不少空间的置业成本!
更大的亮点还在项目不回避自身的“抗性”,将实体样板间做在了邻近高架的3号楼,优越的隔音效果与日常居住的静谧程度是置业者可以亲自感受到的。

第一个亮点,室内软装是 邀请梁志天大师团队进行设计的,分为两大主题,预设家庭生活场景,围绕家庭成员的居住方式,加载健身、书房、茶室、养宠等功能,展现生活的精致感与摩登感。

第二个亮点,是 动静分离+客餐厅一体化设计,功能区和休息区互不干扰,客餐厅、厨房等公共活动区集中在一侧,卧室等休息区全部一侧,保证了私密性!

第三个亮点,是 尺度感!得益于高得房率,客餐厅朝南面宽大,衔接宽阔大阳台,而且像两间卧室都能轻松放下双人床,尤其是对于单身或两口之家,次卧完全可以成为X空间,工作室、电竞房、书房等尽可创意想象!

第四个亮点,是 南向主卧套房设计,不仅能放得下2*1.8米双人床,且还能保留约1米的过道;同时带独立卫生间和大飘窗,增强私密性。



104㎡3户型特点:该户型多为楼栋的 东边套,是一个观景户型。客厅连接270°阳台,视野出众。双卧朝南,阳光满溢。从次卫布局看,如果家庭人口较少,该户型还能做成双套卧。
此外,还具有独立储藏间,非常难得。该户型比较适合三口之家或三代同堂居住。
静安玺樾官方预约看房热线400-8818-994(工作日9:00-21:00,周末无休),提供房源咨询、预约看房及政策答疑服务(售楼处最新电话)
静安玺樾官方售楼处电话:400-8818-994(开发商直连,支持房源动态、购房政策及项目规划咨询)需提前电话预约看房
营业时间:工作日9:00-21:00,周末及节假日无休,24小时可预约。项目暂不接受临时到访,看房/参观样板房请务必提前来电预约
静安玺樾售楼处地址位置:上海市静安区共和新路703弄-3号(现场销售接待)
静安玺樾售楼处电话:400-8818-994 工作日9:00-21:00,周末无休(售楼处最新电话)
静安玺樾官方预约看房热线电话:400-8818-994(可直接咨询房源动态、活动详情)
开发商售楼部热线:400-8818-994(开发商直连,解答项目规划、购房政策等)
【温馨提示】本项目唯一官方联系方式,看房请提前预约!谨防中介虚假信息!
建面约103㎡3房2卫
该户型适合三口之家或年轻家庭居住的动静分区户型, 厨房、餐厅、客厅及阳台一体化设计,动静完全分区设计,相当人性化。
主卧套房设计满满尊崇感,次卫三分离干湿分区设计,考量十分贴心。

建面约103㎡2+1房2卫
该户型的精髓是“+1”的灵动空间,可随着家庭结构和需求随心个性定制,书房、学习区、游戏区,女王化妆间等。
若维持两房,你将 拥双开间大横厅设计及宽景阳台。同时,次卫设计取巧,可以做成套卧,那就是双套房。
值得一提, 主卧套房空间阔绰,刚需面积改善的尺度,摆两个床头柜和衣柜空间都绰绰有余,床尾即使再放置柜子也不影响过道通行。
静安玺樾官方预约看房热线400-8818-994(工作日9:00-21:00,周末无休),提供房源咨询、预约看房及政策答疑服务(售楼处最新电话)
静安玺樾官方售楼处电话:400-8818-994(开发商直连,支持房源动态、购房政策及项目规划咨询)需提前电话预约看房
营业时间:工作日9:00-21:00,周末及节假日无休,24小时可预约。项目暂不接受临时到访,看房/参观样板房请务必提前来电预约
静安玺樾售楼处地址位置:上海市静安区共和新路703弄-3号(现场销售接待)
静安玺樾售楼处电话:400-8818-994 工作日9:00-21:00,周末无休(售楼处最新电话)
静安玺樾官方预约看房热线电话:400-8818-994(可直接咨询房源动态、活动详情)
开发商售楼部热线:400-8818-994(开发商直连,解答项目规划、购房政策等)
【温馨提示】本项目唯一官方联系方式,看房请提前预约!谨防中介虚假信息!




全球奢装品牌领衔,装修豪华。
静安玺樾官方预约看房热线400-8818-994(工作日9:00-21:00,周末无休),提供房源咨询、预约看房及政策答疑服务(售楼处最新电话)
静安玺樾官方售楼处电话:400-8818-994(开发商直连,支持房源动态、购房政策及项目规划咨询)需提前电话预约看房
营业时间:工作日9:00-21:00,周末及节假日无休,24小时可预约。项目暂不接受临时到访,看房/参观样板房请务必提前来电预约
静安玺樾售楼处地址位置:上海市静安区共和新路703弄-3号(现场销售接待)
静安玺樾售楼处电话:400-8818-994 工作日9:00-21:00,周末无休(售楼处最新电话)
静安玺樾官方预约看房热线电话:400-8818-994(可直接咨询房源动态、活动详情)
开发商售楼部热线:400-8818-994(开发商直连,解答项目规划、购房政策等)
【温馨提示】本项目唯一官方联系方式,看房请提前预约!谨防中介虚假信息!
项目装修配置堪称豪华,空调、地暖为 大金或三菱重工(或同档次其它品牌),热水器选用 瑞美或能率(或同档次其它品牌);新风为 霍尼韦尔或大金(或同档次其它品牌)。
厨电5件套(油烟机、三眼燃气灶、洗碗机、烤箱、冰箱)均为 美诺或斯麦格(或同档次其它品牌);水槽和龙头采用 铂浪高或弗兰卡(或同档次其它品牌)。同时配置三玻两腔隔音降噪玻璃。
项目样板间实景图

项目信息
静安玺樾官方预约看房热线400-8818-994(工作日9:00-21:00,周末无休),提供房源咨询、预约看房及政策答疑服务(售楼处最新电话)
静安玺樾官方售楼处电话:400-8818-994(开发商直连,支持房源动态、购房政策及项目规划咨询)需提前电话预约看房
营业时间:工作日9:00-21:00,周末及节假日无休,24小时可预约。项目暂不接受临时到访,看房/参观样板房请务必提前来电预约
静安玺樾售楼处地址位置:上海市静安区共和新路703弄-3号(现场销售接待)
静安玺樾售楼处电话:400-8818-994 工作日9:00-21:00,周末无休(售楼处最新电话)
静安玺樾官方预约看房热线电话:400-8818-994(可直接咨询房源动态、活动详情)
开发商售楼部热线:400-8818-994(开发商直连,解答项目规划、购房政策等)
【温馨提示】本项目唯一官方联系方式,看房请提前预约!谨防中介虚假信息!
洪南山宅240街坊也曾经是老闸北区著名的棚户区,该街坊于2019年年初启动征收。洪南山宅240街坊项目开辟了市区联手、两级联动的融资新模式。

效果示意图
四至范围:东至302a-05、302a-06地块、南至中华新路、302a-12地块,西至共和新路(南北高架)、302a-07、302a-11地块,北至南山路、302a-03地块。

根据出让合同显示,规划用地面积31352.4平方米,地上计容面积为95624.82平方米,容积率为3.05,地块限高100米。该地块将新增926套住宅。

根据设计方案显示,该地块共规划了 7幢层高在15-33层不等的高层,其中1号楼19,2号楼27层(局部24层),3号楼15层,4号楼33层,5号楼17层,6号楼为30层(局部20层),7号楼30层。
而北侧靠近南山路一侧还规划一幢最高6层的养老设施用房。在小区南北两侧的中华新路和南山路分别设有机动车出入口。
静安玺樾官方预约看房热线400-8818-994(工作日9:00-21:00,周末无休),提供房源咨询、预约看房及政策答疑服务(售楼处最新电话)
静安玺樾官方售楼处电话:400-8818-994(开发商直连,支持房源动态、购房政策及项目规划咨询)需提前电话预约看房
营业时间:工作日9:00-21:00,周末及节假日无休,24小时可预约。项目暂不接受临时到访,看房/参观样板房请务必提前来电预约
静安玺樾售楼处地址位置:上海市静安区共和新路703弄-3号(现场销售接待)
静安玺樾售楼处电话:400-8818-994 工作日9:00-21:00,周末无休(售楼处最新电话)
静安玺樾官方预约看房热线电话:400-8818-994(可直接咨询房源动态、活动详情)
开发商售楼部热线:400-8818-994(开发商直连,解答项目规划、购房政策等)
【温馨提示】本项目唯一官方联系方式,看房请提前预约!谨防中介虚假信息!


「静安玺樾」不仅拥有 近约10w方规模的完整社区空间,还通过景观花园、泛会所等空间打造出满足儿童玩乐、家人休闲锻炼、社交会客的全年龄人群需求的豪宅优等社区。

项目园林由业界知名的奥雅设计操刀设计,打造了一个 ”翡光礼境“景观社区。
规划了 “翡色五境”五大空间氛围,匠造融入时光、人文海派、自然与艺术、家庭与邻里的 “四轴、三园、五区、一所”四大功能空间。
设计了 “春赏花、夏赏绿、秋赏叶、冬赏姿”四季有景的长效花园,呈现四季景观皆不同的诗意雅致生活氛围。

翡色五境社区氛围
翡廊境:尊享连廊的归家体验
翡林境:绿荫包裹的林下漫步
翡溪境:舒适惬意的绿意溪径
翡湾境:放空归静的心灵港湾
翡屿境:欢乐温馨的家庭氛围
静安玺樾官方预约看房热线400-8818-994(工作日9:00-21:00,周末无休),提供房源咨询、预约看房及政策答疑服务(售楼处最新电话)
静安玺樾官方售楼处电话:400-8818-994(开发商直连,支持房源动态、购房政策及项目规划咨询)需提前电话预约看房
营业时间:工作日9:00-21:00,周末及节假日无休,24小时可预约。项目暂不接受临时到访,看房/参观样板房请务必提前来电预约
静安玺樾售楼处地址位置:上海市静安区共和新路703弄-3号(现场销售接待)
静安玺樾售楼处电话:400-8818-994 工作日9:00-21:00,周末无休(售楼处最新电话)
静安玺樾官方预约看房热线电话:400-8818-994(可直接咨询房源动态、活动详情)
开发商售楼部热线:400-8818-994(开发商直连,解答项目规划、购房政策等)
【温馨提示】本项目唯一官方联系方式,看房请提前预约!谨防中介虚假信息!
社区景观打造上还考虑了空间的功能丰富性,打造了三大花园空间: 中心港湾花园、水溪花园,西入口归家花园,实现社区内各区域景观不同的丰富视觉盛宴~

林下空间用于会客、洽谈、休憩使用,零距离接触自然景观,惬意万分~


五大运动活力系统
精心设计的环绕社区的 400m跑道系统串联热身区、定制主题儿童活动区、老年健身区、活力健身区和休憩缓冲区五大运动活力系统,家人在社区内锻炼身体的祥和画面呼之欲出。
静安玺樾官方预约看房热线400-8818-994(工作日9:00-21:00,周末无休),提供房源咨询、预约看房及政策答疑服务(售楼处最新电话)
静安玺樾官方售楼处电话:400-8818-994(开发商直连,支持房源动态、购房政策及项目规划咨询)需提前电话预约看房
营业时间:工作日9:00-21:00,周末及节假日无休,24小时可预约。项目暂不接受临时到访,看房/参观样板房请务必提前来电预约
静安玺樾售楼处地址位置:上海市静安区共和新路703弄-3号(现场销售接待)
静安玺樾售楼处电话:400-8818-994 工作日9:00-21:00,周末无休(售楼处最新电话)
静安玺樾官方预约看房热线电话:400-8818-994(可直接咨询房源动态、活动详情)
开发商售楼部热线:400-8818-994(开发商直连,解答项目规划、购房政策等)
【温馨提示】本项目唯一官方联系方式,看房请提前预约!谨防中介虚假信息!

户外 定制化主题儿童区+架空层泛会所构成双儿童系统,以“秘境童话专列”的火车主题串联儿童活动空间,兼顾全年龄儿童不同游玩体验。

更有贴心细节设计:儿童活动区和老年健身区的器械均考虑防磕碰设计,地面均采用塑胶,以防磕碰受伤。

架空层位于5#楼王位置楼栋,用作泛会所空间,为孩子提供不受天气影响的社区活动空间,实属优秀~

与常规社区的三重归家礼序不同的是,「静安玺樾」创造出升级版 “四轴”归家体系:气派入口门楼,精致艺术的归家廊厅,全区花园式入户以及仪式水系轴线空间。让你从社区大门开始就能感受到身为业主的尊崇感~
静安玺樾官方预约看房热线400-8818-994(工作日9:00-21:00,周末无休),提供房源咨询、预约看房及政策答疑服务(售楼处最新电话)
静安玺樾官方售楼处电话:400-8818-994(开发商直连,支持房源动态、购房政策及项目规划咨询)需提前电话预约看房
营业时间:工作日9:00-21:00,周末及节假日无休,24小时可预约。项目暂不接受临时到访,看房/参观样板房请务必提前来电预约
静安玺樾售楼处地址位置:上海市静安区共和新路703弄-3号(现场销售接待)
静安玺樾售楼处电话:400-8818-994 工作日9:00-21:00,周末无休(售楼处最新电话)
静安玺樾官方预约看房热线电话:400-8818-994(可直接咨询房源动态、活动详情)
开发商售楼部热线:400-8818-994(开发商直连,解答项目规划、购房政策等)
【温馨提示】本项目唯一官方联系方式,看房请提前预约!谨防中介虚假信息!


更值得一提的是,「静安玺樾」还设计了更加人性化的室内通行归家路线,更优于社区风雨连廊的设计,业主从南入口保安亭后方的电梯厅可以直达设计了采光排风井的B1层归家,不走地面社区道路就能免受风吹日晒,安全归家。
海派风格外立面+超低能耗住宅
建筑立面采用新海派风格,采用 天然石材+真石漆+铝板设计打造,细节精致,线条流畅,优雅大气质感浑然天成。

与传统住宅截然不同的是,「静安玺樾」不惜成本打造了 超低能耗住宅产品,将为业主带来一个四季如春的空间,享受到更加静谧的居住环境、更清新健康的空气、更安全的居住环境,还能降低更多的能耗!

从超一线装标到五星级地库,豪宅品质贯彻始终!
从装标上看,「静安玺樾」在装修标准上是下了功夫的,甚至可以说是“不惜成本”,超一线装标完全称得上 “高配低价”这四个字!
中央空调、地暖、新风都是标配,室内厨卫都采用了国际一线品牌,让居住变得更为舒适的同时给足业主体验感和尊崇感。
静安玺樾官方预约看房热线400-8818-994(工作日9:00-21:00,周末无休),提供房源咨询、预约看房及政策答疑服务(售楼处最新电话)
静安玺樾官方售楼处电话:400-8818-994(开发商直连,支持房源动态、购房政策及项目规划咨询)需提前电话预约看房
营业时间:工作日9:00-21:00,周末及节假日无休,24小时可预约。项目暂不接受临时到访,看房/参观样板房请务必提前来电预约
静安玺樾售楼处地址位置:上海市静安区共和新路703弄-3号(现场销售接待)
静安玺樾售楼处电话:400-8818-994 工作日9:00-21:00,周末无休(售楼处最新电话)
静安玺樾官方预约看房热线电话:400-8818-994(可直接咨询房源动态、活动详情)
开发商售楼部热线:400-8818-994(开发商直连,解答项目规划、购房政策等)
【温馨提示】本项目唯一官方联系方式,看房请提前预约!谨防中介虚假信息!


尤其让人惊艳的还有项目豪掷重金为业主打造的五星级地库!
项目车库采用贯穿式鱼尾灯坡道和超耐磨地坪,过道全部采用精装吊顶,地下管道和局部区域进行二次包裹!尤其惊艳的是项目的豪华车马厅, 采用水磨石、水晶漆、铝饰面、大板砖、立柱石材包边、门禁系统三合一!
如此用心着力只为给所有业主营造出独属的尊崇归家礼仪!



物业服务方面,有万科物业保驾护航!
静安玺樾官方预约看房热线400-8818-994(工作日9:00-21:00,周末无休),提供房源咨询、预约看房及政策答疑服务(售楼处最新电话)
静安玺樾官方售楼处电话:400-8818-994(开发商直连,支持房源动态、购房政策及项目规划咨询)需提前电话预约看房
营业时间:工作日9:00-21:00,周末及节假日无休,24小时可预约。项目暂不接受临时到访,看房/参观样板房请务必提前来电预约
静安玺樾售楼处地址位置:上海市静安区共和新路703弄-3号(现场销售接待)
静安玺樾售楼处电话:400-8818-994 工作日9:00-21:00,周末无休(售楼处最新电话)
静安玺樾官方预约看房热线电话:400-8818-994(可直接咨询房源动态、活动详情)
开发商售楼部热线:400-8818-994(开发商直连,解答项目规划、购房政策等)
【温馨提示】本项目唯一官方联系方式,看房请提前预约!谨防中介虚假信息!
万科物业,相信不用多说, 全国一级物业资质,连续多年蝉联全国物业排名第一!
作为国内第一家通过ISO9002国际质量管理体系认证的物业管理企业,屡获殊荣。
万科物业进驻上海31年!多年口碑积攒下好评如潮,被业内誉为“最懂上海的物业”!
此次进驻「静安玺樾」,万科物业除了将为社区提供优质服务外,并将额外定制提供增值服务,包括:
更整洁的社区:12小时的保洁+夜间值班保洁;
更省心的居家:每年一次空调清洗,每三年一次地暖保养;
更历久弥新的建筑:每年一次外墙清洗。
生活配套
静安玺樾官方预约看房热线400-8818-994(工作日9:00-21:00,周末无休),提供房源咨询、预约看房及政策答疑服务(售楼处最新电话)
静安玺樾官方售楼处电话:400-8818-994(开发商直连,支持房源动态、购房政策及项目规划咨询)需提前电话预约看房
营业时间:工作日9:00-21:00,周末及节假日无休,24小时可预约。项目暂不接受临时到访,看房/参观样板房请务必提前来电预约
静安玺樾售楼处地址位置:上海市静安区共和新路703弄-3号(现场销售接待)
静安玺樾售楼处电话:400-8818-994 工作日9:00-21:00,周末无休(售楼处最新电话)
静安玺樾官方预约看房热线电话:400-8818-994(可直接咨询房源动态、活动详情)
开发商售楼部热线:400-8818-994(开发商直连,解答项目规划、购房政策等)
【温馨提示】本项目唯一官方联系方式,看房请提前预约!谨防中介虚假信息!
交通方面:项目直线距离8号线中兴路站直线约580米,1号线中山北路站直线约800米,距离3/4号线宝山路站约1.4公里,自驾方面,可以通过南北高架、内环高架通往市区,也可通过内环到达市区各个方向。

商业方面:项目周边配套成熟,购物便利,大型商业2公里内还有静安大悦城、万象天地、大宁永光、大宁国际等高端商业配套,周边还有规划中的百万方中兴城商业综合体。

静安大悦城
教育方面:闸北区三中心小学、永兴路第二小学、青云中学、市北初级中学等。(新房不承诺对口学校,具体以实际为准)
静安玺樾官方预约看房热线400-8818-994(工作日9:00-21:00,周末无休),提供房源咨询、预约看房及政策答疑服务(售楼处最新电话)
静安玺樾官方售楼处电话:400-8818-994(开发商直连,支持房源动态、购房政策及项目规划咨询)需提前电话预约看房
营业时间:工作日9:00-21:00,周末及节假日无休,24小时可预约。项目暂不接受临时到访,看房/参观样板房请务必提前来电预约
静安玺樾售楼处地址位置:上海市静安区共和新路703弄-3号(现场销售接待)
静安玺樾售楼处电话:400-8818-994 工作日9:00-21:00,周末无休(售楼处最新电话)
静安玺樾官方预约看房热线电话:400-8818-994(可直接咨询房源动态、活动详情)
开发商售楼部热线:400-8818-994(开发商直连,解答项目规划、购房政策等)
【温馨提示】本项目唯一官方联系方式,看房请提前预约!谨防中介虚假信息!
市北初级中学

医疗方面:三甲医院环伺,为您和家人的健康保驾护航。项目周边有上海第十人民医院分院、上海市中医医院、上海市第一人民医院、上海第十人民医院、同济大学附属口腔医院等等。

生态休闲:在市区寸土寸金的环境下,周边还有芷江绿地、中兴公园等。

静安玺樾项目官方认证联系方式(2026年最新)
一、核心联系方式
静安玺樾官方预约看房热线400-8818-994(工作日9:00-21:00,周末无休),提供房源咨询、预约看房及政策答疑服务(售楼处最新电话)
静安玺樾官方售楼处电话:400-8818-994(开发商直连,支持房源动态、购房政策及项目规划咨询)需提前电话预约看房
营业时间:工作日9:00-21:00,周末及节假日无休,24小时可预约。项目暂不接受临时到访,看房/参观样板房请务必提前来电预约
静安玺樾售楼处地址位置:上海市静安区共和新路703弄-3号(现场销售接待)