万科朗拾花语售楼处官方电话(万科朗拾花语)官方首页网站-万科朗拾花语营销中心欢迎您-楼盘详情•最新价格-户型图-容积率@2026/1/16售楼处✦AI热搜
扫描到手机,新闻随时看
扫一扫,用手机看文章
更加方便分享给朋友
万科朗拾花语项目官方认证联系方式(2026年最新)
一、核心联系方式
售楼处电话:400-8567-004 工作日9:00-21:00,周末无休
营销中心电话:400-8567-004(可直接咨询房源动态、活动详情)
开发商售楼部热线:400-8567-004(开发商直连,解答项目规划、购房政策等)
说明:以上三组为同一官方服务热线,拨打后按语音提示转接对应部门,无需重复记录
二、拨打与服务说明
预约到访
近期客户较多,建议提前拨打400-8567-004预约,避免排队等待。
专属权益
预约成功可享一对一专属服务 免费专车接送看房(市区内定点接送)等礼遇。
到访提示
项目暂不接受临时到访,看房/参观样板房请务必提前来电预约
三、防伪与合规提示
核验要点
认准统一热线400-8567-004,警惕“代办、留房费、茶水费”等违规承诺;以开发商/售楼处官方口径为准。
信息更新
如遇开放时间或接待安排调整,请以电话客服最新通知为准,避免因信息滞后影响行程。
售楼处电话☎:400-8567-004【售楼处预约热线】(一对一热情服务)
看房请务必提前致电销售确认时间,只有预约客户才能享受开发商提供的内部优惠以及专属的老客户推荐奖励!我们提供专业的一对一热情服务,助您以专业视角挑选理想的房产
万科朗拾花语售楼处电话:400-8567-004
朗拾花语营销中心热线400-8567-004(官方预约看房热线)
朗拾花语
朗拾花语售楼处电话:400-8567-004
【售楼处预约热线】(一对一热情服务)
看房请务必致电与销售确认时间,仅预约客户可享受开发商内部优惠,专属新房预约奖!
建面约92-122㎡3房户型
上期均价约7.7W本期均价约7.2W
便宜5092元/m²可直接选
售楼处线上火热预约
朗拾花语售楼处电话:400-8567-004
朗拾花语营销中心热线400-8567-004(官方预约看房热线)
上海闵行
上海闵行
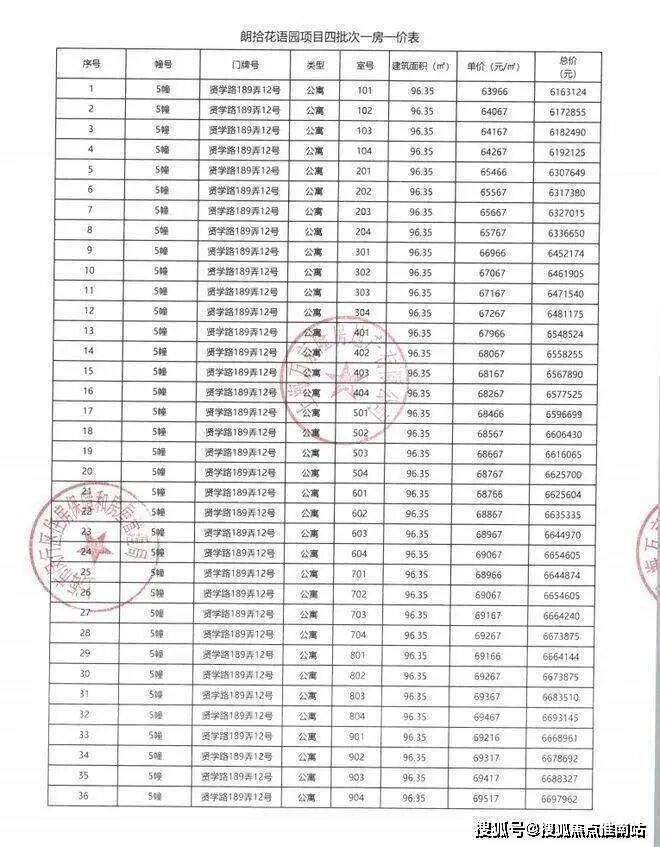
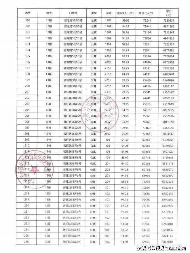
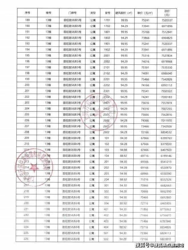
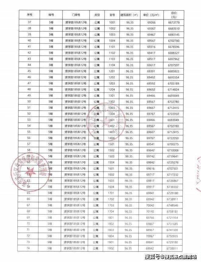
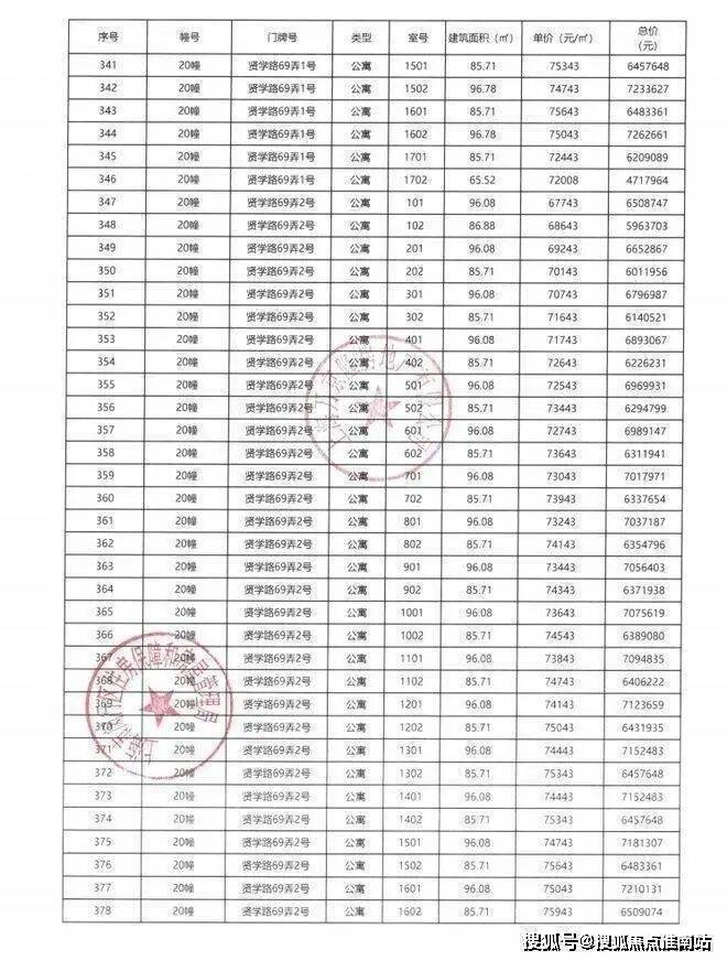
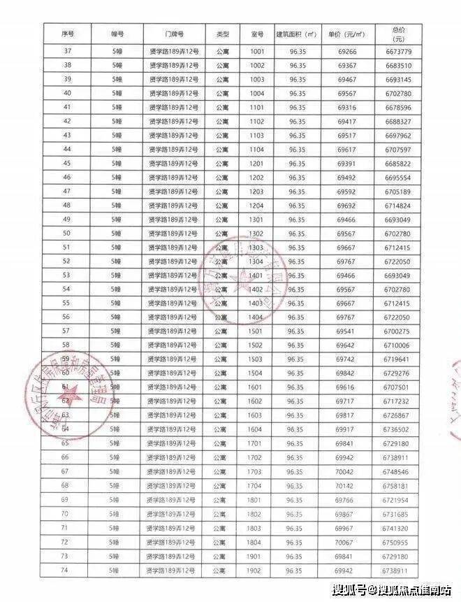
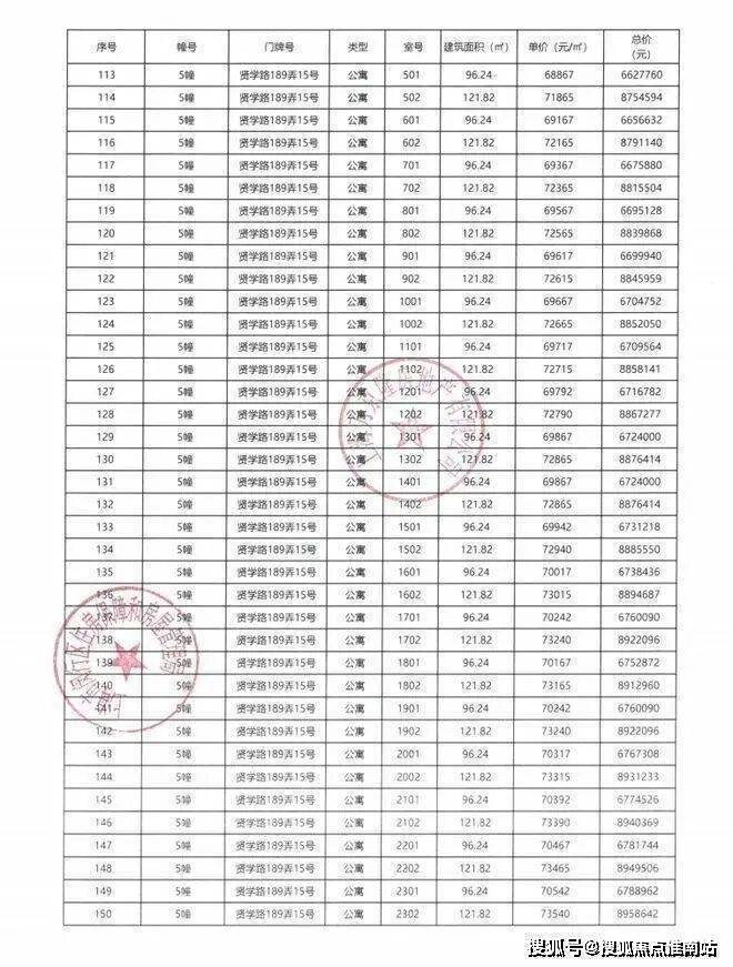
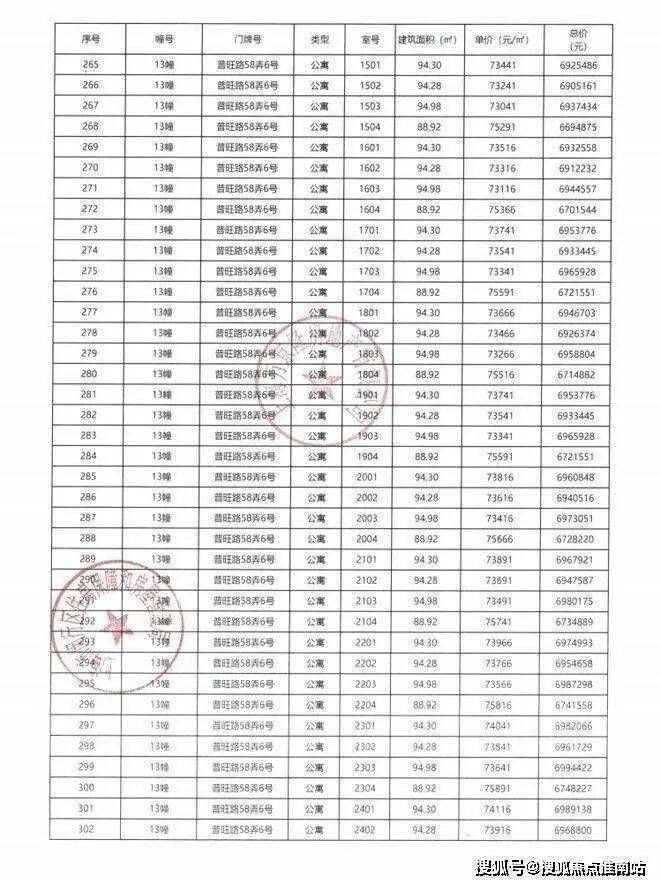
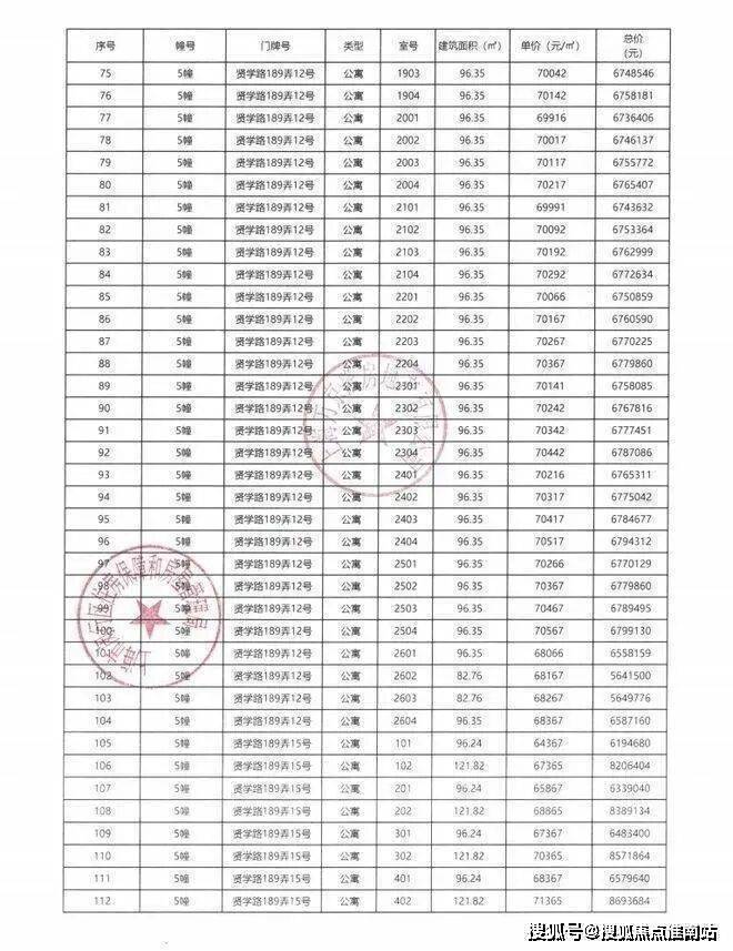
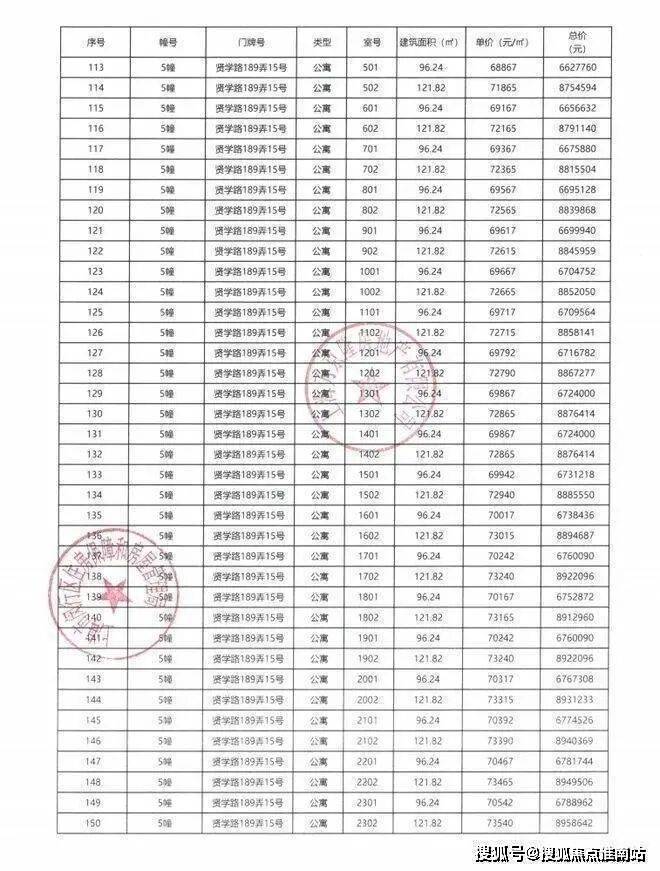
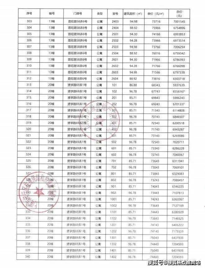
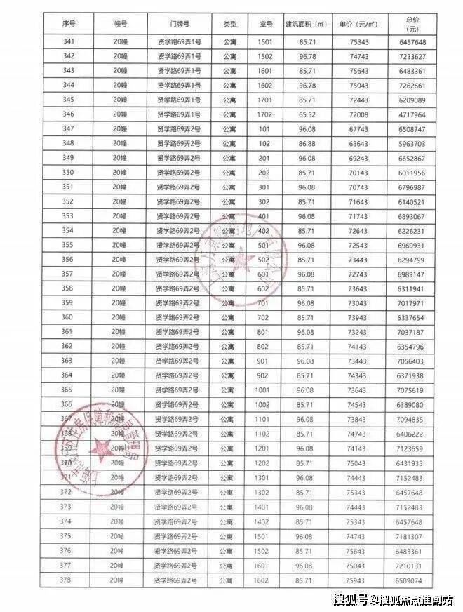
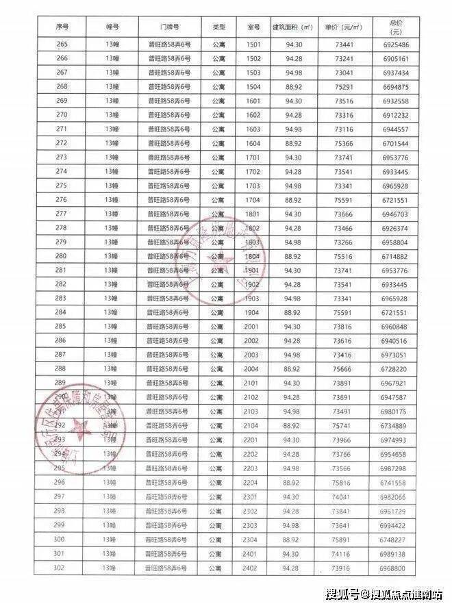
一房一价表
上海闵行
上海闵行
上海闵行
上海闵行
上海闵行
朗拾花语依据「花语」和「拾」的严苛选址标准,卓越的都会禀赋,成为朗拾花语重构社区与城市关系的契机。
实景图花语系实景图拾系实景图效果示意图效果示意图效果示意图效果示意图闵行区
中国铁建&万科·朗拾花语样板间实景图,仅供参考,欢迎实地参观
示范当代滨水人居的新高度!
中国铁建&万科·朗拾花语样板间实景图,仅供参考,欢迎实地参观
上海闵行
在产品方面,中国铁建&万科·朗拾花语期待值更是MAX!
客厅拥有一个宽景飘窗,可以纵览社区水景以及园林,视野出色。
中国铁建&万科·朗拾花语样板间实景图,仅供参考,欢迎实地参观
主卧套房设计,保证了主人的私密空间。
上海闵行
中国铁建&万科·朗拾花语样板间实景图,仅供参考,欢迎实地参观
客厅带宽面阳台,尺度感很强。
中国铁建&万科·朗拾花语样板间实景图,仅供参考,欢迎实地参观
上海闵行
卫生间干湿分离,保证居住的整洁清爽。
上海闵行
中国铁建&万科·朗拾花语样板间实景图,仅供参考,欢迎实地参观
入户玄关的设置,边上还可以打造一个收纳空间。不管后期是用来放双开门冰箱,亦或者是其他杂物都可以。
上海闵行
中国铁建&万科·朗拾花语样板间实景图,仅供参考,欢迎实地参观
户型方面,本次推出建面约86-121㎡3房,!收官发售
户型选择多样!不封阳台,得房率相对更高,精装&毛坯交付。
建面约86㎡3房2厅1卫
建面约92㎡3房2厅1卫
上海闵行
建面约99㎡3房2厅2卫
建面约121㎡3房2厅2卫
1国铁建&万科强强联合
23年4月21日,上海第一批次土地出让最后一天,梅陇社区MHP0-0306单元5-3、6-3、5-5、6-5地块,万科旗下上海万怡景置业有限公司与中国铁建旗下中铁房地产集团华东有限公司组成的联合体以75.486亿元竞得该地块。地块房地联动价75000元/㎡。
示意图
地块位置:东至贤学路、南至银都路、西至普旺路、北至贤荟路,分为四幅小地块:梅陇社区MHP0-0306单元5-3、6-3、5-5、6-5地块。
上海闵行
中国铁建:美好生活建造者
·2022年“世界500强企业”排名第39位、“中国企业500强”排名第11位;
·在全国及海外45个城市(含9个国家级新区)布局239个项目(截至2022年底)
·砥砺70余载,参与建造了中国第一条海底隧道—厦门翔安隧道,中国第一条高原铁路—青藏铁路。同时还参与建设了诸多耳熟能详的著名公建项目:如人民大会堂、港珠澳8大桥、京沪高速以及卡塔尔世界杯场馆等。
500强万科品牌实力
·连续7年登榜世界500强,2022年排178名;2022年中国民营企业500强排行榜排第9;
·国内进驻83个城市、七大区域,拥有600+个主要开发项目,海外布局8个重点城市;
·连续24年屡获中国建设工程鲁班奖、詹天佑奖等房地产综合开发领域的最高荣誉。
实景图
上海闵行
2花语系&拾系高端双系产品
2023上海里程碑新作:双世界500强中国铁建与万科,以花语系和拾系,联袂构建一座16万方滨水大城,为上海呈现一部里程碑作品。同时将花语倡导的“亲近自然的慢调、优雅的生活”和拾“推动着人主动发现、主动参与、主动拥抱生活,回应都市中未被满足的心情”相结合,更迭当代生活方式,倡导慢生活理念,焕新全城的想象与期待。
约16万方滨水大盘塑造美好人居:依托春申塘和西马屯泾汇聚而成的“T”型水域,沿河打造约16万方滨水大城,舒朗排布与错动的建筑,让居者更近亲水岸生活体验,形成都市中的一座水上自然岛屿。
效果示意图
隐谧精致的超级领域:在繁华都市中创造自然宁谧的居住体验,通过局部内退方式,在社区边界退让出可改造空间,将更多空间用于营造转角广场、口袋公园,勾画出一座都市的“超级领域”,让快节奏的生活优雅的慢下来。
精奢静雅的当代质感:以同步国际的质感、美学为基底,兼顾品质的精研、材质的臻选以及细节的演绎,同时于归家动线上打造了度假酒店般的落客空间,让归家充满仪式感和雅奢美学
以自然作为设计语言:运用光线、水、植物等元素,并萃取高端酒店设计,呈现更多自然、舒适且松弛的多元生活状态,在社区内打造静心庭院、水榭林间、微风草坪等松弛雅奢的都市谧境。
上海闵行
一体化的定制空间:将精致的生活理念,贯穿于建筑、景观、室内等各个组成部分。户型空间的一体化定制,以厅厨为核心的公共空间强调空间的可塑性,呈现更多愉悦、舒适、优雅的生活真意。
中国物业管理行业领跑者万科物业:连续第十年蝉联中国物业服务百强企业综合实力TOP1
·连续六年蝉联“中国房地产开发企业500强首选物业品牌”榜首,服务1800+项目
·连续三年获得“中国特色物业服务领先企业——企业总部基地”荣誉称号
3梅陇新中心都心十字焦点
项目位于闵行梅陇板块,闵行2035规划全新公布,梅陇地区也再次被提上日程——中部地区被定位为“闵行新中心”,规划范围东至景洪路、南至银都路、西至梅富路、北至梅南路-春申塘,总用地面积约118万㎡!
效果示意图
上海闵行
梅陇板块占据虹桥枢纽和南部科创中心结合点的中心区位,是上海西南重要门户区域。总体量约117.58万方,周边聚焦3大国家级产业区、5大科创中心、12大科创园等百亿科创资源,以及城市之门双子星,将打造宜居、宜商、宜业的城市新名片!作为梅陇新中心核心启动区的住宅组成部分,本项目未来将塑造城市美好人居蓝本。
效果示意图
闵行2035总规将梅陇中部地区提升为闵行的地区中心,随着周边轨道交通15号线、机场联络线和19号线的规划建设,地区区位和交通优势进一步凸显。
梅陇新中心城市设计效果图
交通方面:项目距离轨道交通15号线虹梅南路站仅约400米;3站达徐汇,6站进中环3大黄金轨交线:15号线、机场联络线(在建)、地铁19号线(规划);
·南邻银都路,串联闵行、徐汇、浦东三大中心;银都路越江隧道直通“浦东金色中环”;
·东侧为虹梅高架路,北与中环路相连、南与虹梅南路越江隧道相连,快速链接上海交通枢纽
示意图
商业方面:3大商业中心:仲盛世界商城、凯德龙之梦、上海最大的TOD天荟(在建,即将开业);
·3大生活商超:盒马鲜生、大润发、绚荟城;
项目周边整体规划业态不仅包含高品质住宅、酒店、商业、文化体育、休闲娱乐等,还将在虹梅南路两侧构建疏密有致、高低有序的建筑群。其中,核心区将新建两栋高120米的双子塔,建成后将成为区域全新地标门户。朗拾花语售楼处电话:4009659259【售楼中心热线】朗拾花语营销中心热线400-8567-004朗拾花语售楼处地址400-8567-004
效果示意图
教育方面:项目周边有闵行区实验小学、曹行小学、蔷薇小学、民办弘梅小学、民办育苗小学、莘松中学、曹行中心幼儿园、春申景城幼儿园等
朗拾花语
朗拾花语售楼处电话:400-8567-004
【售楼处预约热线】(一对一热情服务)
看房请务必致电与销售确认时间,仅预约客户可享受开发商内部优惠,专属新房预约奖!
朗拾花语售楼处电话:4009659259【售楼中心热线】朗拾花语营销中心热线400-8567-004朗拾花语售楼处地址400-8567-004,楼盘项目全面介绍,本电话为开发商提供线上预约售楼电话,楼盘项目全面介绍(包含楼盘简介,均价,房价,现房,期房,别墅,叠墅,大平层,价格,楼盘地址,户型图,交通规划,备案价,备案名,项目配套,样板间,开盘时间,认筹时间,楼盘详情,售楼处电话,最新消息,最新详情,周边配套,一房一价,最新进展等详情咨询)楼盘详情丨价格丨更多优惠丨机不可失丨欢迎致电丨诚邀品鉴!售楼处位置丨特价房丨工抵房丨剩余房源丨户型图丨最新消息丨免责声明:将文章内容综合来源于网络、只作分享,版权归原作者所有!!如有侵权,请联系我们,我们第一时间处理如有问题欢迎来电咨询,专业一对一热情服务,让您用专业眼光去买房。如果您想了解更多楼盘详情,欢迎提前预约拨打朗拾花语售楼处电话400-8567-004
声明:本文由入驻焦点开放平台的作者撰写,除焦点官方账号外,观点仅代表作者本人,不代表焦点立场。
