上海陆家嘴前滩公(售楼处)-上海陆家嘴前滩公销售中心(营销中心)-上海陆家嘴前滩公馆楼盘欢迎您-小区环境-户型-价格-地址-楼盘详情-售楼处电话-交房时间
扫描到手机,新闻随时看
扫一扫,用手机看文章
更加方便分享给朋友
上海陆家嘴前滩公馆售楼处电话:400-8567-004✔✔【预约热线】
陆家嘴前滩公馆售楼处营销中心:400-8567-004
陆家嘴前滩公馆售楼处电话/地址☎:400-8567-004(开发商热线)
如有问题欢迎来电咨询,专业一对一热情服务,让您用专业眼光去买房。
浦东前滩南核心板块
陆家嘴集团高端“公馆系”作品
「陆家嘴前滩公馆」五批次待认购
加推约87-188㎡海派低密洋房
上期均价118397元/㎡!
售楼处线上火热预约中!
2024年浦东认购人数TOP1,2025年以来上海市认购人数TOP1,两项“第一”,用数据证实了前滩公馆的人气火爆,在这里,“日光”现象近乎常态!四度触发积分的辉煌时刻,是当下浦东乃至全上海的第一红盘!
你一定好奇,上海市区新房供应正迎来井喷,前滩公馆凭什么在首开至今6个月内做到“四开四捷”,为何前滩公馆能一枝独秀?第五批次新品有暗含哪些惊喜!让我们先睹为快!
①:上海核心地段地王频出,价格面临重构!前滩公馆俨然成时代遗留的馈赠。
最近市区拍出的地王项目全部在地图上点出,按照楼面价和成本测算,可以看到下半年上海市区各板块的房价新格局:徐滨20万/㎡,瑞虹18万/㎡,大宁16万/㎡,天山14万/㎡,就连北蔡也要上到12万/㎡。
相比这些板块,作为上海黄浦江边硕果仅存的成片开发的海派风貌区,前滩CLD无论是规划能级、资源禀赋还是居住氛围都是更高维度的存在,或许只有徐滨能与其掰一掰手腕。
相比之下,前滩公馆俨然是当下难得的资产“避风港”,同样是核心地段价格爆发前夕错过不再有的“建仓”良机!相信任何有眼光的置业者都不会放过!
②:上海楼市成交回暖,前滩二手房价格率先暴涨!众所周知,从去年底开始二手房成交开始迅速回暖,今年3月小阳春彻底爆发,单月网签住宅26312套,创近45个月新高。“量”和“价”总是伴生螺旋增长。而在这一轮回暖浪潮中,前滩的二手房价格率先暴涨!
我统计了去年10月和今年4月前滩次新小区的挂牌均价,清一色的往上调价,晶萃名邸上涨9千+/㎡,浦江海德更是上涨近1.5万/㎡。平均上涨幅度超过1.1万/㎡!
价格信息来自链家网
前滩的产品一直留给大众“鸽子笼”的印象,令不少对于居住品质有要求的购房者有所疑虑。但是,「前滩公馆」优秀的产品力,将颠覆这一固有印象。
必须要强调的是,前滩公馆占位的前滩CLD是前滩的中央居住区,在居住层面是更高维度的存在,也就是说上述前滩CBD的价格只是前滩CLD的价值底盘或者说是安全垫!
因为前滩CLD不仅直接享受前滩CBD已成熟的繁华商业,还注入了一线滨江板块未曾有过的生态低密属性,在陆家嘴集团的打造下更是营造了媲美衡复风貌区的海派居住氛围。如今前滩CBD二手房暴涨,更能衬托前滩公馆的藏品属性,这样的“新海派传世资产”谁能拒绝?!
项目实景图
③无论是海派社区还是洋房产品,前滩公馆都没有替代品,必然跑出独立行情。
地段稀缺:黄浦江边成片开发的海派风貌区,全上海独一份!
社区稀缺:陆家嘴集团整体运营打造“海派大生活圈”,未来这里既有阅读不尽的衡复街区风貌,风靡上海的滨江打卡地,也有持续引领风潮的艺文中心、商业橱窗、咖啡生活节、CITY-WALK等多元业态,想想就令人向往!
产品稀缺:在高容积率盛行的黄浦江沿岸,前滩公馆主打低密产品,为滨江地段+低密产品的双重改善带来历史级别机遇!
意向效果图仅供参考,非交付标准
最新消息!前滩CLD海派风貌豪宅住区;浦东版衡复风貌区,海派低密洋房;前滩公馆五批次要来了!98套紫薇公馆的王炸112户型即将加推,【揽翠188】藏品级4房震撼登场!而在当下,浦东超级热点前滩CLD王炸地段新盘「前滩公馆」无疑就是首选!
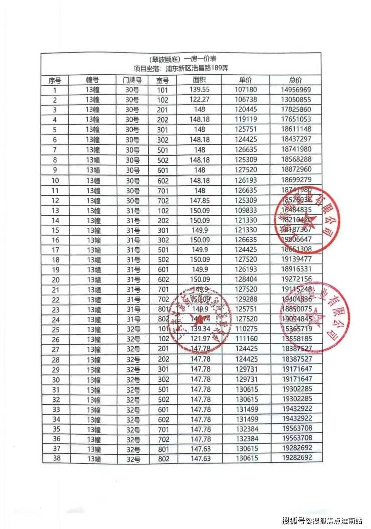
上期一房一价表如下:
建面约87㎡样板间展示如下
建面约149㎡样板间展示如下
前滩公馆【揽翠188】四房,坐拥千亩城市森林C位,一面是森林公园的绿荫延绵,一面是海派花园的静谧私藏,无可复制的“公园资产价值+公园生态体验”,成就上海城市中心稀缺的公园资产。全盘仅此64套,错过再无!

为了把前滩CLD打造成未来海派生活“示范样本”,据闻,陆家嘴集团邀请了“2023年普利兹克建筑奖” 获得者David Chipperfield Architects戴卫·奇普菲尔德建筑事务所、全球知名Foster + Partners福斯特建筑事务所,FUKSAS福克萨斯建筑事务所、gad建筑设计等设计天团联合打造两大商业、办公、居住综合。
至于15#单元住宅部分,则由国际一线住宅领域专家gad建筑设计、 HWCD、DIA丹健国际、安道景观等知名团队鼎力设计。
致敬外滩万国建筑博览群,整个社区外立面,北中南区分别采用不同时期的历史文化风貌设计。充满海派特色的红砖建筑、一步阳台、拱形门廊……回家就能欣赏百年海派建筑变迁史。
以衡复历史文化风貌区为参照,“小街区、密路网”规划,让梧桐树下的海派生活风貌再现。穿越成片浓荫,这里将成为街角花园、海派商业、艺术休闲聚场。
从上海百年洋房中汲取灵感,以丁香、海棠、紫薇为海派背景,“三轴、两街、十大组团”为空间结构,打造气贯中西的十大公馆式花园。移步异景里,带来环形沉浸式的度假享受。
整体风格致敬外滩万国建筑博览群,将浓重的历史文化风貌与优雅低密的Art-Deco摩登艺术风格互相交映,百年建筑文明精髓尽皆复刻。
意向效果图过程稿 仅供参考
陆家嘴集团背书,力邀国际知名设计团队,打造海派风貌豪宅住区样本。
意向效果图过程稿 仅供参考
滨江的新潮加上海派的底蕴,“小街区密路网”、“十大围合式BLOCK建筑布局”、“三轴、两街、十大组团”花园景观、两大海派会所······集结了各式的高端高阶生活形态。
规划示意图 仅供参考
作为陆家嘴集团高端“公馆系”作品,集团对该项目的投入与期待皆是超出预期。规划打造两大会所,中区为全龄共享的2000㎡地下会所,涵盖满足各种社交场景的功能设计。南区为更私密纯粹的会晤空间,约800㎡地下会所,满足健身活力、高端会客、私人宴请等定制化需求。(仅供参考,以开发商正式发布为准)
项目将打造成为陆家嘴集团高端“公馆系”作品;规划打造两大会所,中区为全龄共享约2000㎡地下会所,涵盖满足各种社交场景的功能设计。南区为更私密纯粹的会晤空间,约800㎡地下会所,满足健身活力、高端会客、私人宴请等定制化需求。
(海派系会所、泳池意向图)
让我们再来回顾一下前滩南-三林滨江的大板块前世今生和总体规划吧。
前面可能也有朋友注意到了,我们在介绍这个板块的时候称呼似乎并不统一,前滩南、三林滨江、还有人说三林楔形绿地或者下一个“前滩”,这个其实和规划有关。
虽然现在看上去土地和建设工地乱糟糟一片,但这个区域的规划其实很规整,居住能级不低,而且也有商业、办公、教育,是一个全能型的板块。
往回追溯,从1999年开始,这个区域就已经有了属于自己的规划,属于上海中环线上的八块楔形绿地之一。
随后,直到2007年,才确定具体的建设内容,也说明了这块区域不能全部拿来做绿地,还是提高区域的开发性价比,做建筑开发(但此时还没有明确开发类型),但为了保护本地生态,建设用地的比例不能超过35%。
到了2013年,这片区域终于拥有了真正意义上的姓名,叫“三林滨江南片”,规划定位是:兼顾生态效应和城市更新,践行绿色发展理念,营造新时代海派城镇特色风貌,探索超大城市近郊滨江地区开发建设的新范式。
到2017年,更加详细的《黄浦江南延伸段三林滨江南片区控制性详细规划》中,确定了板块的规划发展目标为:“未来生态建设的标杆地区,将建设成为以生态体验、文化艺术、健康宜居为主导的多元复合滨江绿地,也是最生态、最海派、最未来的 21 世纪海派生活实践区。”
也就是这时候基本确定了片区内未来会有低密住宅+文化艺术产业+宜居高性价比住宅。所以,就很明显了,这块地本来就叫三林滨江南区,只不过媒体“炒作”或者开发商宣传更愿意叫它“前滩南”。
从规划上,三林滨江南区并不像是陆家嘴、北外滩这种金融、城市封面属性的板块,具备太多标志性的名称,更像是类似于古北、联洋碧云这种宜居性板块。
所以如果你用多高的能级这种词语表述三林滨江的时候,可能大多数朋友都会摇头,但你说宜居性,其实大多都是赞同的。而且虽然三林滨江属于上海开发的比较晚的板块,但其实早在地铁建造的时候就为这个板块设置了站点,未来的通勤也没有什么难度。
其中:8号线已经通车多年,在板块内设有凌兆新村站,未来在这里还将能与在建中的19号线进行换乘!而该站点就在「中企·云萃森林」旁边。
另外,板块内核心位置还有规划的26号线。
还有一条机场联络线,东起上海虹桥国际机场,西至上海东站,就在整个板块的南侧,设置三林南站,未来板块内出行也可依靠这条线路。
商业方面:距前滩CAZ约500m,距前滩太古里约1.6km,前滩中心、晶耀前滩等商圈环伺;毗邻上海SK大厦、三林印象城、中房金谊广场、香格里拉、盒马X会员店、山姆上海浦东店,多元生活主场。
医疗方面:上海市东方医院南院、上海莱佛士医院、上海杨思医院、上海明珠医院、上海徐浦中医医院,护航美好生活。
教育方面:上海惠灵顿学校、上海纽约大学、惠立幼儿园、华师大二附中、民办惠立学校等学府环伺。
人文艺境 | 世界艺术地标,全球文明之窗:西岸艺术中心、龙美术馆、上海大歌剧院、梅赛德斯文化中心、中国馆博物馆群、世博马术中心等艺术地标云集,让生活与艺术相融。
生态休闲:打造生态绿地约240公顷,水域面积约28.4公顷,涵盖森林体育公园、水文化公园、湿地公园等如茵绿意,整个板块的绿地率高达约65%;(信息来源:浦东发布),滨江生态廊道、前滩体育公园、前滩休闲公园、前滩友城公园、上海世博文化公园、后滩公园。
正前滩南「陆家嘴前滩公馆」加推约87-188㎡海派洋房!上期均价118397元/㎡;
上海陆家嘴前滩公馆售楼处电话:400-8567-004✔✔【预约热线】
陆家嘴前滩公馆售楼处营销中心:400-8567-004
陆家嘴前滩公馆售楼处电话/地址☎:400-8567-004(开发商热线)
如有问题欢迎来电咨询,专业一对一热情服务,让您用专业眼光去买房。
声明:本文由入驻焦点开放平台的作者撰写,除焦点官方账号外,观点仅代表作者本人,不代表焦点立场。
