售楼处电话:400-8815-114(已认证)营销中心热线:400-8815-114(欢迎致电)售楼处预约电话:400-8815-114☎☎☎如有问题可来电咨询,预约销售专员,一对一为您服务!上海青浦【宝业活力天境】欢迎您
上海青浦【宝业活力天境】
售楼处电话:400-8815-114(已认证)
营销中心热线:400-8815-114(欢迎致电)
售楼处预约电话:400-8815-114☎☎☎如有问题可来电咨询,预约销售专员,一对一为您服务!
项目名称:「宝业活力天境」
项目简介:青浦白鹤 品质住宅
最新动态:正在热销中
区域板块:青浦白鹤
产品介绍:建面约86-95㎡两房三房,均价约2.8万/㎡
商业配套:嘉亭荟城市生活广场、华联超市、阳光新生活广场,照拂生活;乐尚城市广场、中影国际影城、世纪联华
周边学校:白鹤中小学、白鹤幼儿园、赵屯小学
交通配套:轨交17号线
基本信息
项目名称:宝业·活力天境
备案名:宝业活力佳苑
开发商:上海宝延房地产开发有限公司
产权年限:70年
交房标准:精工交付
用地面积:22309.2㎡
容积率:2
绿地率:38%
组成结构:高层
户型面积:建面约79㎡、建面约92㎡
车位比:1:1
根据项目最新公示的设计方案,项目将建造包括1栋15F住宅,6栋16F住宅,1栋13F住宅,还有一个社区卫生服务中心公公共设施配套。将提供至少410套房源,100%全装修,其中中小户型占比60%。
近50载大国工匠,港交所上市集团,财富中国500强,拥有9大建筑实验室、4大研发中心、35个建筑科技产业园,荣获41项中国建筑最高奖鲁班奖、48项国优奖等多重奖项,采用德国工业4.0智能智造生产线,开发集成高品质、工业化建筑约5000万方,覆盖绿色、健康、智慧各类建筑。
纵观白鹤发展历程,近十余年人居旧貌焕新,以宝业集团2022旗舰力作——宝业活力天境为先锋,实现健康为先导的跨越式发展。
抗疫时代,“碳达峰、碳中和”时代背景下,宝业科技“百年宅”基于两大愿景,通过建筑产业化、建筑长寿化、品质优良化、绿色低碳化四大维度,六大科技体系升级打造革新人居,捍卫全家幸福。
活力社区,24小时剧场,海绵景观社区,24小时生活剧场,开启全天候绿色生活美境。
售楼处电话:400-8815-114(已认证)
营销中心热线:400-8815-114(欢迎致电)
售楼处预约电话:400-8815-114☎☎☎如有问题可来电咨询,预约销售专员,一对一为您服务!
海绵城市为家做“底盘”,打造自然循环之下的生态社区
项目效果图
户型图
售楼处电话:400-8815-114(已认证)
营销中心热线:400-8815-114(欢迎致电)
售楼处预约电话:400-8815-114☎☎☎如有问题可来电咨询,预约销售专员,一对一为您服务!
建面约86㎡样板间实拍
编辑

编辑

编辑

编辑

编辑

售楼处电话:400-8815-114(已认证)
营销中心热线:400-8815-114(欢迎致电)
售楼处预约电话:400-8815-114☎☎☎如有问题可来电咨询,预约销售专员,一对一为您服务!
建面约95㎡样板间实拍
编辑

编辑

编辑



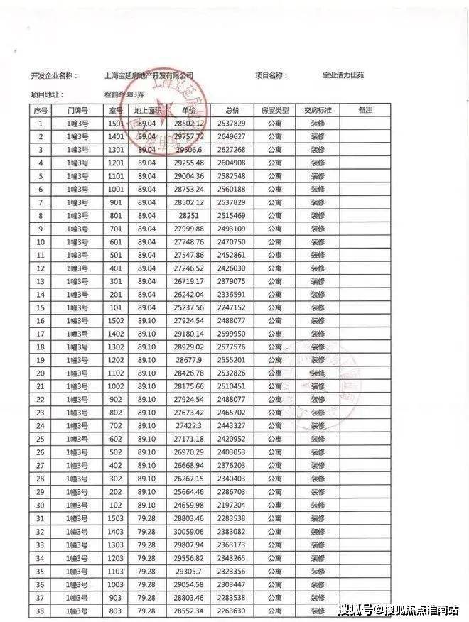
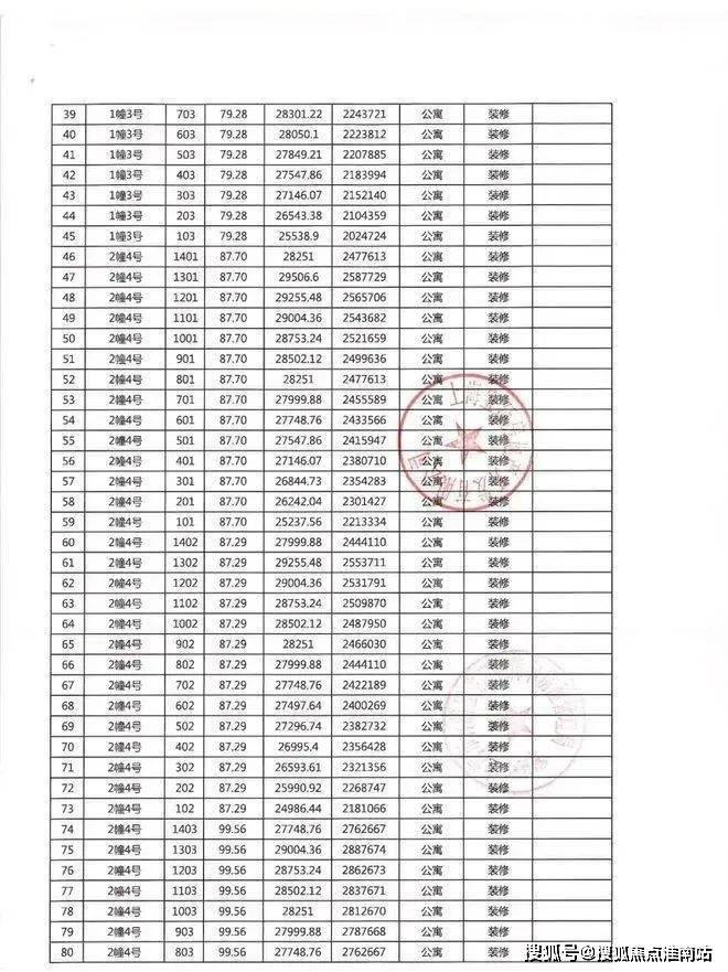
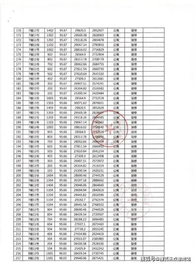
一房一价表
编辑

编辑

编辑




售楼处电话:400-8815-114(已认证)
营销中心热线:400-8815-114(欢迎致电)
售楼处预约电话:400-8815-114☎☎☎如有问题可来电咨询,预约销售专员,一对一为您服务!
周边配套
上海2035规划中提到,上海要成为具有全球影响力的长三角城市群的核心城市,基本建成“中心辐射、两翼齐飞,新城发力、南北转型”的空间新格局。
从战略空间看,青浦处于中国国际进口博览会、虹桥国际开放枢纽、长三角生态绿色一体化发展示范区的战略叠加区。
泛长三角区域“几何中心”白鹤镇作为长三角一体化先行示范区、“安花白”节点型城市,将借助区位优势,承接安亭“世界级汽车产业中心”的部分功能,未来腾飞在即。
市域铁路:未来市域铁路嘉青松金线,将贯穿嘉定、青浦、松江和金山,届时白鹤将与青浦新城直接连通,并换乘轨交17号线和沪苏嘉城际线。
双维交通:坐享轨交11号线与轨交17号线青浦“纵贯线”交通辐射,坐享长三角节点交通优势。
商业方面,嘉亭荟城市生活广场,缤纷触手可及;华联超市、阳光新生活广场,照拂生活;乐尚城市广场、中影国际影城、世纪联华,纵享丰沛。
医疗方面,项目约600米社区卫生服务中心,贴身关怀。
教育方面,紧邻白鹤中小学、白鹤幼儿园、赵屯小学,朗朗读书声,传递书香雅韵。
白鹤中学:始建于1965年,上海市先进集体、市中学生行为规范示范校、区教育系统先进集体。
白鹤小学:上海市教科研先进集体、上海市安全文明校园、青浦区文明单位。
赵屯小学:创办于1868年,至今已有137年历史。是青浦区有史记载的最古老的学校之一。上海市素质教育实验学校。
白鹤幼儿园:公办二级一类幼儿园。
售楼处电话:400-8815-114(已认证)
营销中心热线:400-8815-114(欢迎致电)
售楼处预约电话:400-8815-114☎☎☎如有问题可来电咨询,预约销售专员,一对一为您服务!
上海青浦【宝业活力天境】欢迎您