2025大华公园柏翠(售楼处电话)首页网站-大华公园柏翠售楼处地理位置-大华公园柏翠_户型图_价格_大华公园柏翠容积率_楼盘简介_小区环境_户型配套
扫描到手机,新闻随时看
扫一扫,用手机看文章
更加方便分享给朋友
大华公园柏翠售楼处电话:400-891-9910
上海大华公园柏翠售楼处电话☎:400-891-9910【开发商售楼处预约看房热线】(一对一热情vip服务)
全市为数不多的限价楼盘
距离静安400米,中环旁
上海大华公园柏翠售楼处电话☎:400-891-9910【开发商售楼处预约看房热线】(一对一热情vip服务)

总价约520万起,在中环旁买正3房
只有大华公园柏翠能满足你!
上海大华公园柏翠售楼处电话☎:400-891-9910【开发商售楼处预约看房热线】(一对一热情vip服务)
有一个前提大家一定要清楚:大华公园柏翠是整个中环线上,距离市区更近的新房。
这个项目与很多千万以上的豪宅处于同一纬度:
中环的地段价值+总价约500万+起的价格,大华公园柏翠妥妥的价格洼地!
但在这样的洼地价格上,大华还为购房者带来了比肩千万级豪宅的产品力,真的是非常惊艳:
先来看户型:
建面约101㎡的3房!
上海大华公园柏翠售楼处电话☎:400-891-9910【开发商售楼处预约看房热线】(一对一热情vip服务)
稀缺属性上:
目前上海中小套配比已经改变了,小高层和高层产品未来的门槛将会是建面约110㎡起。
这意味着,未来不仅将增加10-20㎡置业成本,并且百平米左右的3房将成为市场臻稀产品。
产品力上:
如果你熟悉上海市场,你会发现目前市面上的户型普遍会面临:利用率低、有连廊、采光不足、卫生间少/功能性差、卧室太小不够等问题。
但大华公园柏翠的建面约101㎡3房2卫,却很好的解决了以上所有问题:
约5.3米的大横厅、整体约11.5米的巨型南向面宽!

一方面,在整个中环甚至是整个上海,百平米3房能做到约11.5米面宽的新房,只有大华公园柏翠。
另外一方面,这个南向采光面带来的居住舒适度是MAX级的。
尤其是约5.3米的大横厅+超大阳台的设计,撑起气场的同时,也能为家庭带来更多的生活想象。
上海大华公园柏翠售楼处电话☎:400-891-9910【开发商售楼处预约看房热线】(一对一热情vip服务)
实景图
小高层+飞机户型造就真3房的实用性!

小高层的天然高得房率+飞机户型带来的0走道优势,让这个百平米户型做到了真正的3房!
相比竞品户型的2房+1个功能房,其功能性天壤之别。
实景图
南北通透带来极为宜居的居住环境!

大华公园柏翠的客餐厅以及厨房一脉相连,中间套也能实现完全的南北通透,出色的空气流动性能为业主带来更加舒适、宜居的居住氛围。
LDKB的设计,在撑起气场的同时,也增加了更多的生活想象!
还有细节方面的设计,例如:次卫的干湿分离保证室内的干燥;入户的玄关、主卧的套房,保证了主人的私密空间...
这个户型拥有一个“好户型”的所有特质,上车必看的首选户型!
样板间看房视频独家首发!
上海大华公园柏翠售楼处电话☎:400-891-9910【开发商售楼处预约看房热线】(一对一热情vip服务)
建面约142㎡类一梯一户顶奢4房:
稀缺属性上:
2021年至今,整个上海140-145㎡新房仅供应532套,占比不足5%。光这个产品在整个市场中就已经足够稀缺了。
产品力上:
说实话,到建面约142㎡的维度,各个项目的户型设计都很不错。
但有几点真的是大华公园柏翠独有的。
类一梯一户,享独立电梯厅,在入户仪式感和私密性拉满的同时,增加了实际使用面积,变相提高了“得房率”。
四开间朝南,南向面宽达约15.4米,其中三卧朝南。一般来说,4房户型中2房朝北是逃不掉的问题,但大华公园柏翠长面宽短进深的设计,让这个户型的得房率、采光度更上一层楼。
约5.9米面宽的巨幕横厅,加上同样面宽的宽绰阳台,为业主带来更多的生活想象。
这个户型拥有一个好户型应该拥有的所有特质!
上海大华公园柏翠售楼处电话☎:400-891-9910【开发商售楼处预约看房热线】(一对一热情vip服务)
实景图
这两个产品,真的是如今上海市面上,同级别户型中设计感最强的户型。
最后,还有一点:项目将标配国际家装大牌、臻选精奢材质。
再来看比肩千万级豪宅的奢华公区:
在归家动线上特别打造了“三进式”归家礼序,并且每一层归家礼序的打造,都是按照千万级豪宅才有的规格。
一进:宽约80米、高约6米的气派大门。
并且在选材上选用来自吴哥窟的进口石材,尽显静谧奢华的气质。
主入口利用108片伯爵灰大理石打造12座景墙单元,辅以香槟色不锈钢修饰。
整体迎宾空间耗材约1800片大理石,这样的大门规格、石材用料以及用心程度,无不体现出大华公园柏翠对标豪宅的决心。
实景图
二进:围合庭院。
庭院由4处归家通道、8扇造型屏风和1座水景雕塑的一体化设计打造而成。
用料上,庭院两侧设计师选用大理石与镂空铝板虚实结合,利用2层柏翠造型铝线条错拼而成,更显精致;
上海大华公园柏翠售楼处电话☎:400-891-9910【开发商售楼处预约看房热线】(一对一热情vip服务)
实景图
三进:宅门。
整座大堂外墙采用伯爵灰大理石满铺高墙,电动门镶嵌宝格绿奢石,实现无感通行;
这些用料和最终呈现出来的浓郁海派氛围,是对大华集团实力和匠心最好的体现。
另外,大华公园柏翠利用12级叠水、2座树池、9步水上汀步,运用六重造景的手法打造近500平的中央水景!
实景图
用一颗柏翠树型的构筑物形成独具艺术气质的“大树咖啡厅”,不仅拔高了社区的整体审美艺术和品味,也可供业主闲时聊天赏景、遛宠遛娃。
并且将中心场地抬高1米,在水系池底通铺1300多片的PRADA绿石(仿石砖)、精选斜飘乌桕、造型紫薇等名贵树种...
不难看出,大华公园柏翠不仅卷用料,更在审美艺术、生活方式上接轨国际前沿,拔升了高端住宅的品味和调性,整体的公区用料更是媲美高端豪宅!
上海大华公园柏翠售楼处电话☎:400-891-9910【开发商售楼处预约看房热线】(一对一热情vip服务)
实景图
上海大华公园柏翠售楼处电话☎:400-891-9910【开发商售楼处预约看房热线】(一对一热情vip服务)
总的来说,大华公园柏翠的产品力,有着不输任何对手的底气!一旦步入二手,这就是整个中环旁的王者,拥有极强的未来潜力。

大宁市北高新产业区辐射
距离市区更近的约500万+起新房
一个好房子除了优质的产品外,地段也是非常关键的因素。
而大华公园柏翠的地段,有几个关键词:
静安400米!
大华公园柏翠距离静安区只有约400米左右的直线距离,是整个宝山距离中心城区最近的新房。
加上周边1号线、18号线、南北高架等城市主动脉的加持,整个大华公园柏翠去哪儿都方便。
上海大华公园柏翠售楼处电话☎:400-891-9910【开发商售楼处预约看房热线】(一对一热情vip服务)
大宁市北高新产业区外溢首站!
市北高新以数字经济全生态+数据要素创新等产业形态,与张江科学城(硬科技)、漕河泾(电子信息)形成错位竞争.
其能级位居上海中心城区科技园区第一梯队,更是上海数字化转型的核心引擎之一。
要知道,在漕河泾的辐射下,像闵行七宝、徐汇长桥都已经是千万级的置业区了。
而大宁这两年不断加码,区域内的新房目前放风价已经来到了约16万+的水平,作为大宁下一站,大华公园柏翠已经周边未来的发展,更是潜力十足!
商业、教育、生态不断落地!
当然,产业利好外溢是一方面,打铁还需自身硬,整个大华公园柏翠周边的居住价值,同样在不断升温。
商业方面,项目不仅近邻宝山万达,东侧一街之隔规划有约2.5万平方米商业综合体,繁华生活咫尺之间。
教育方面,大华公园柏翠南侧九年一贯制公办学校已经在建,未来的学府氛围将非常浓厚。
免责声明: 以上教育资源整理仅代表楼盘与学校的距离,该房屋所在项目暂未划分学区,开发商不对项目交房后所属学区、学校做任何承诺。教育资源分配或学校/学区划分以及学校的具体招生规则等请以政府相关主管部门、教育机构公开的最新信息为准。上海大华公园柏翠售楼处电话☎:400-891-9910【开发商售楼处预约看房热线】(一对一热情vip服务)
生态方面,西南两侧还有规划的大体量生态绿化。
最后,大华公园城市前期千人摇号的一二三期均已交付入住,整个大社区的居住环境、氛围已经非常浓郁。四期大华公园柏翠这个王冠之上的作品一旦交付,即刻就能享受生活。
这个地段,不管是从交通、产业、配套还是生活环境来看,都是无懈可击的。是约500万+起能买到的,最好的地段!

三大利好加持
约500万+起的价格,真的错过就不再有
宝山其实从去年南北转型开始,就展现出了完全不同以往的发展势头来。
对于大华公园柏翠而言,周边更是三大利好加持:
中环北抬箭在弦上!
军工路快速路新建工程预计今年年内完工,意味中环北抬今年将迈出重要一步。
而长江西路快速路已被列入2025年上海市重大工程清单,预计即将开工。
一旦落地,大华公园柏翠就真的是中环内的新房了!
上海大华公园柏翠售楼处电话☎:400-891-9910【开发商售楼处预约看房热线】(一对一热情vip服务)
“一江两河”的城市脉络,正在孕育!
一江一河作为上海的顶层规划风光无限,但同样作为上海三大干河之一的蕴藻浜却一直默默无闻。
直到2024年,宝山公示了《吴淞江-蕰藻浜沿线地区专项规划》,上海北部这条主干河道的开发建设提上日程!
上海,有望从现在的“一江一河”,发展成为“一江两河”!
而蕰藻浜就在大华公园柏翠北侧。
将规划整体打造一条蓝绿交织、清新明亮、连湖串链、通江达海和水韵特色鲜明、创新功能集聚、滨水活力彰显的上海大都市江南水廊发展带,体现中华风范、江南风光、创新风尚。

上海大华公园柏翠售楼处电话☎:400-891-9910【开发商售楼处预约看房热线】(一对一热情vip服务)
图片来源网络
蕰藻浜将于黄浦江、苏州河一同组成钻石三角,支撑起上海的顶层规划。
而大华公园柏翠所在的位置,正好是蕴藻浜和东茭泾组成的t字水网,步行范围内遍布公园、河道,生态居住氛围浓郁。
最后,还有一点,就是:大场机场的搬迁!
总结一下,以大华公园柏翠为核心,周边聚集了宝山最重要的科创产业、资源能级。
同时,项目又是整个北中环距离静安、大宁,以及上海主动脉南北高架更近的项目。
示意图
可以预想到,未来以项目为中心,周边未来聚集的高薪产业、高知人口以及城市菁英不计其数。
而大华公园柏翠遥遥领先的产品力,未来将吸引这些改善置业客户的不断追逐,直至将其顶上北境之王的价格和地位。
这样的潜力和未来预期,是其他单核发展的板块所无法比拟的。
上海大华公园柏翠售楼处电话☎:400-891-9910【开发商售楼处预约看房热线】(一对一热情vip服务)
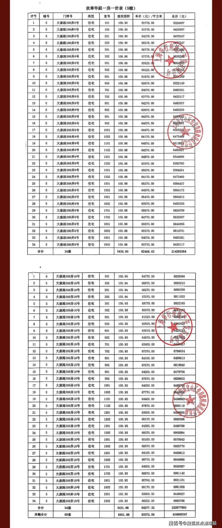
完整一房一价表如下:
上海大华公园柏翠售楼处电话☎:400-891-9910【开发商售楼处预约看房热线】(一对一热情vip服务)
大华公园柏翠售楼处电话:400-891-9910
上海大华公园柏翠售楼处电话☎:400-891-9910【开发商售楼处预约看房热线】(一对一热情vip服务)
The difference in risk and return between stocks and bonds is mainly reflected in the following aspects:
Risk: Stocks typically carry higher risk than bonds. The stock price fluctuates greatly and is influenced by various factors such as the company's operating conditions and market sentiment, which may result in significant losses for investors. In contrast, bonds have clear agreements and guarantees for interest rates and principal recovery, resulting in relatively lower risks.
Yield: Stocks typically have a higher potential for returns than bonds. Although stock prices fluctuate greatly, it also means that higher returns may be obtained. The returns on bonds are relatively stable and limited, mainly coming from fixed interest income and principal recovery at maturity.
Stability: The bond has a predetermined interest rate before purchase, and investors can receive fixed interest at maturity, which provides a stable expected return for bond investors. The dividend yield of stocks is uncertain, and their dividend income fluctuates with the company's profitability.
The difference in risk and return between stocks and bonds is mainly reflected in the following aspects:
Risk difference: Stocks are often considered a high-risk investment tool because their price fluctuations can be significant, which can increase investors' risk. In addition, if the company performs poorly, investors may suffer losses. In contrast, bonds are generally regarded as a low-risk investment tool. The price fluctuations of bonds are usually smaller than those of stocks, so their risk is relatively low.
Yield difference: Stocks generally have much higher returns than bonds. This is because the returns of stocks not only come from dividends, but also from capital gains brought about by the rise in stock prices. The returns on bonds are mainly fixed interest income, which is relatively stable but lower compared to stocks.
Stability difference: Bonds have a predetermined interest rate before purchase, and investors can receive fixed interest at
股票和债券在风险与收益上的差异主要体现在以下几个方面:
风险:股票的风险通常高于债券。股票价格波动较大,受公司经营状况、市场情绪等多种因素影响,可能导致投资者遭受重大损失。相比之下,债券的利率和本金回收有明确的约定和保障,风险相对较低。
收益:股票的收益潜力通常高于债券。虽然股票价格波动大,但也意味着可能获得更高的回报。债券的收益相对稳定且有限,主要来自固定的利息收入和到期时的本金回收。
稳定性:债券在购买前已确定利率,到期时投资者可获得固定利息,这一特点为债券投资者提供了稳定的收益预期。而股票的股息率则具有不确定性,其股息收入随公司盈利情况波动。
股票和债券在风险与收益上的差异主要体现在以下几个方面:
风险差异:股票通常被认为是一种高风险的投资工具,因为股票的价格波动可能会很大,这可能会增加投资者的风险。此外,如果公司表现不佳,投资者可能会遭受损失。相比之下,债券通常被认为是一种低风险的投资工具。债券的价格波动通常比股票小,因此,它们的风险也相对较低。
收益差异:股票的收益一般也远大于债券。这是因为股票的收益不仅来自于股息,还来自于股价上涨带来的资本利得。而债券的收益主要是固定的利息收入,相对于股票来说,收益较为稳定但较低。
稳定性差异:债券在购买前已确定利率,到期时投资者可获得固定利息,这一特点为债券投资者提供了稳定的收益预期。而股票的股息率则具有不确定性,其股息收入随公司盈利情况波动,这使得股票投资具有更高的收益潜力,但同时也伴随着更高的风险。
股票入门基础知识包括以下几个方面:
股票的定义和种类:股票是公司发行的一种所有权凭证,代表股东对公司的所有权。股票种类包括普通股、优先股等。
股票交易市场:股票交易市场是股票买卖的场所,包括一级市场和二级市场。在中国,主要的股票交易所有上海证券交易所和深圳证券交易所。
股票交易规则:股票交易规则包括交易时间、交易单位、涨跌停板制度等。例如,A股交易实行T+1制度,即当天买入的股票需要在第二天后才可以进行买卖交易。
股票分析方法:股票分析方法主要包括基本面分析和技术分析。基本面分析涉及公司财务报表、行业状况等,而技术分析则通过图表、指标等分析股票走势。
投资心态与策略:投资者应树立正确的投资观念,避免盲目跟风,保持冷静的投资心态。同时,根据自身的风险承受能力、投资目标等制定合适的投资策略。
实战技巧与案例:了解一些实战中的经验技巧,如如何捕捉热门股、如何设置止损点等。通过实际案例,学习如何应用所学知识进行实战操作。
声明:本文由入驻焦点开放平台的作者撰写,除焦点官方账号外,观点仅代表作者本人,不代表焦点立场。
