2025华发海上都荟售楼处电话-(华发海上都荟售楼处)2025楼盘详情-最新房价-首页网站-户型配套
扫描到手机,新闻随时看
扫一扫,用手机看文章
更加方便分享给朋友
上海松江「华发海上都荟」
售楼处电话:400-9966-224✔✔【预约热线】华发海上都荟售楼处电话:400-9966-224✔✔华发海上都荟售楼处电话/地址☎:4009966224✔✔(开发商热线)如有问题欢迎来电咨询,专业一对一热情服务,让您用专业眼光去买房。
松江洞泾板块9/12号线(西延伸在建)双轨交盘「华发海上都荟」主力建面约91-101㎡高层&约90-136㎡叠加约450万级拿下,双地铁口高配3房
作为自带流量基因的红盘,上海楼市少有的双轨交新盘——华发海上都荟一直备受购房者关注。项目首开现场人气爆棚,热度非凡,堪称一场全市级的盛宴。项目首开当月劲销7成,约200余套房源名花有主,总销金额高达约11.5亿!
火爆的背后是市场对项目的青睐。
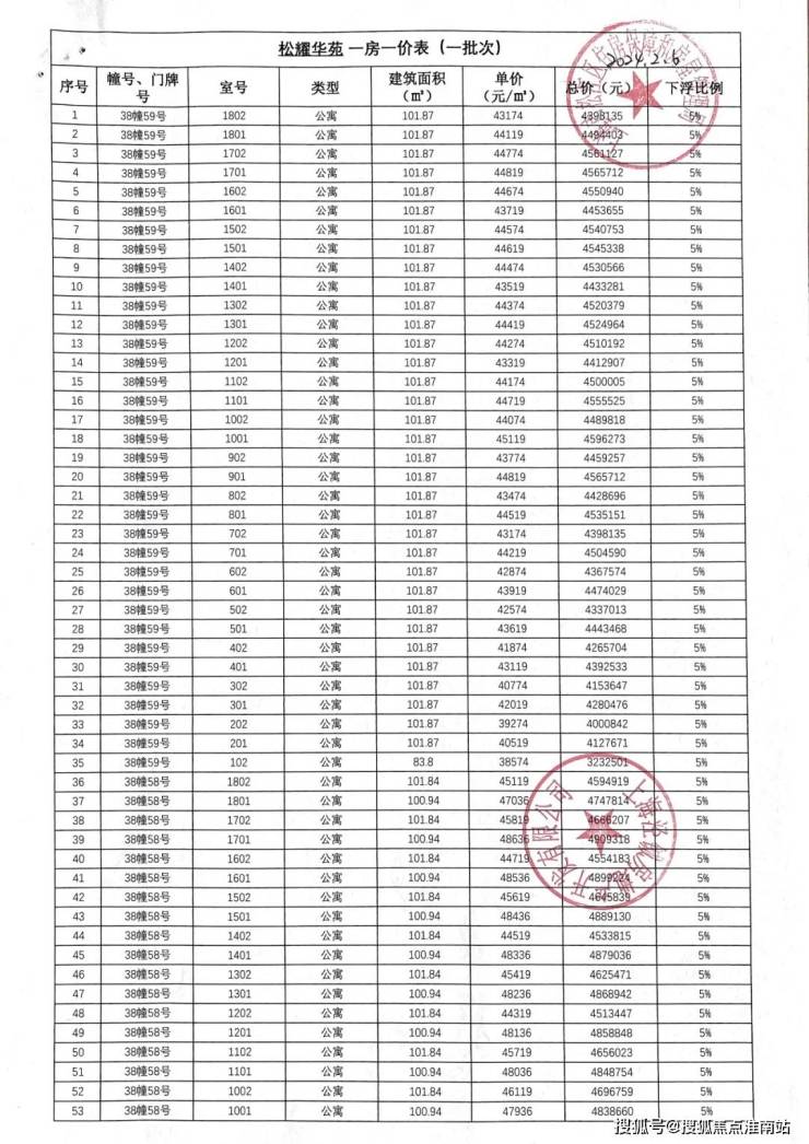
除了双轨交优势,项目无论是硬核产品、高配精装、还是性价比、区域发展潜力等等方面,放在全市范围内来看,都具有压倒性的优势,不难想象项目为何首开就劲销。「一房一价表」
华发·海上都荟 项目位于松江洞泾板块,洞泾位于整个松江城区北部,东连新桥,西傍余山国家级度假区,南邻中山街道,北接泗泾。随着《洞泾镇国土空间总体规划(2020-2035)》出炉,锚定“大象起舞、精准发力、中部崛起”的发展定位,以“一核两轴一带”为引领,洞泾镇正抓紧重构城镇空间发展新格局,承接虹桥国际开放枢纽中央商务区辐射,高起点规划建设“洞泾未来湾”,打造松江北部新地标,构建“街区”“园区”“小区”三个层次的高品质人居环境典范。
乘着轨交12号线西延伸段和沪松快速路即将开建的春风,加快构建产城融合发展的空间结构体系。再过不久,一个集科创、人文、生态于一体,涵盖地铁上盖商业、高品质科创办公、综合文化中心、高端教育配套和古镇特色商业等五大功能的综合性地铁TOD(以公共交通为导向的开发)开发区域即将在原砖桥贸易城地块拔地而起。届时,洞泾镇将沿沪松公路与莘砖公路打造生态廊道,未来湾南北区域打造TOD综合活力中心、都市运动中心,形成“一廊双心”空间发展轴线。
现在上海卷产品力
都卷成这样了
一个项目刚开始接待客户
就把会所、入户大堂、交付车库等等
一系列能呈现
项目位于松江洞泾
华发海上都荟
公区
豪华的入户大堂、下沉式花园
悬浮客厅、咖啡书吧
儿童游乐室、生鲜超市
健身房、星空顶地下车库
满屏所见即所得
都是交付给你的
打卡拍照圣地
你家就是顶流
当你已经觉得满分
人家内部做的更细致
三大件给大家配齐的
进口霍尼韦尔的新风
AO史密斯的地暖+空调
5w+的楼盘
三大件往往,全国产是常有的事情
而华发这次真的给力
厨房更是配备了
只有10w+豪宅中才会配备的西门子的燃气灶+抽油烟机
更是贴心的加配了洗碗机
正是考虑到年轻人不爱洗碗的这一大痛点
卫生间洁具全套的科勒
基本信息
2023年7月11日,华发70.631亿元竞得松江区洞泾镇SJS30006单元04-04、05-01、05-05号地块,成交楼板价25850元/㎡,房地联动价50000元/㎡。
该项目地块距离9号线洞泾直线约400米,在建地铁12号线西延伸段直线约600米。四至范围:东至百尧村路,南至联营村路,西至04-03地块,北至城桂路。
华发海上都荟占地超13万㎡,被道路分割成三个地块,北靠城桂路、道路对面就是规划幼儿园;南临联营村路;西至嘉松南路绿化带;东面是百尧村路,紧邻一条天然河道大张泾。
首批次即将推售的是位于中间的地块,西边是城隆路,东边是一条自然水系,从本地块步行约600米左右即到9号线洞泾站,未来步行6/700米也能到达12号线洞泾站,在三个块地块中均衡性较好。
根据项目规划设计方案,拟建56幢4-18F的住宅、保障房以及其他配套用房。
网上资料显示,该地块可售住宅约2700套,项目预计将由高层住宅、6层洋房或叠墅、4层叠墅组成。
具体经济指标如下:
04-04地块:
占地面积44871㎡ 容积率2.1,8栋18F住宅 6栋6F住宅 6栋4F住宅,住宅套数942套。
05-01地块:
占地面积52003.6㎡ 容积率2.1,9栋18F住宅 6栋6F住宅 5栋4F住宅,住宅套数1055套。
05-05地块:
占地面积36806.1㎡ 容积率2.1,7栋18F住宅 6栋6F住宅 2栋4F住宅,加保障房 住宅套数735套。
户型分布示意图:
04-04地块:
占地面积44871㎡ 容积率2.1
8栋18F住宅 6栋6F住宅 6栋4F住宅
住宅套数942套
设计方案公示图@图源网络
05-01地块:
占地面积52003.6㎡ 容积率2.1
9栋18F住宅 6栋6F住宅 5栋4F住宅
住宅套数1055套
设计方案公示图@图源网络
05-05地块:
占地面积36806.1㎡ 容积率2.1
7栋18F住宅 6栋6F住宅 2栋4F住宅
加保障房 住宅套数735套
02
推售信息
产品方面,项目推建面约91—101㎡3房2卫&建面约90-136㎡叠墅!
先看项目的高层户型。
首先,项目的整盘联动价为5万/㎡,那么高层的均价大概率低于5万/㎡,还是精装交付,单价上就比同纬度其他板块更具性价比!
其中,项目主力高层户型都是建面约101㎡3房,客户选房无需纠结全部都在射程范围之内,同时带来了较为统一的圈层。
最后,项目的户型设计水准是真的高,来看详细解读:
①建面约101㎡F&G户型:南北通透+三开间朝南,备受认可的飞机户型!
建面约101㎡的F和G户型都是市面上备受认可的飞机经典款户型。
南北通透保证了良好的通风效果,三开间朝南保证了充足的光照。
客餐厅厨一体化+大尺度观景阳台,整个公区几乎没有面积浪费,营造的空间感和尺度感远超同价位其他竞品!
主卧套房设计,自带衣帽间和独立卫生间,舒适度与私密性兼具!
全卧室飘窗、干湿三分离、U字型厨房设计,细节把控到位!
②建面约101㎡H户型:三面采光,全能景观王炸边厅户型!
同样是3房2卫的配置,功能性与舒适度兼具。
该户型惊艳的地方在于大尺度的景观边厅设计,搭配超大阳台,营造IMAX级别的客厅景观面,极具阔绰感!
全卧室飘窗、干湿三分离、U字型厨房设计,同样的魔鬼细节!
除了高层户型,项目还有建面约90-133㎡叠墅。作为居住业态的高阶形态,叠墅已然是很多人的置业梦想!
· 得房率:叠墅因为有更多灵动空间,得房率要高的多。
· 空间可塑性:相比“一层不变”的生活,叠墅生活情境更立体,更个性化。
· 上下分层:叠墅相比平层能更好照顾各家庭成员的生活习惯,适合多代人共居。
· 身份更有荣耀感:叠墅形态更高级,面子上更有满足感。尤其是30岁左右,就圆梦墅居,生活层次的进阶让内心有一份自豪感!
而如今,华发·海上都荟居然打造了建面约90㎡的时尚叠墅产品,低总价圆满墅居,这样的置业机会不可错过!
当然项目建面约116-133㎡叠墅都实现了4房功能性,无疑是适配二胎家庭的终极改善产品!
板块解读
从前默默无闻,如今要站起来了?
源于12号线(西延伸段在建)
但,不仅因为12号线(西延伸段在建)
其实,之前制约区域发展的,依然是交通问题,别说其他区的人不进来,就连隔壁板块的人,无论是刚需还是改善,都不太会考虑来这里。
这让松江,在过去很长一段时间,严重缺乏活力!虽然地理位置,北接泗泾,东侧即是松江最大产业G60科创走廊和莘闵别墅区,甚至位置相比松江新城更靠近市区。
12号线的西延伸(在建),确实有望盘活这片区域。
12号线西延伸段(在建)
ps:12号线西延伸(在建),2022年6月批复,8月公示选线规划,12月正式动工。其他轨交平均2年零3个月走完的流程,12号线西延伸(在建)仅用了半年。
这足以证明12号线西延伸(在建)对于松江,乃至整个上海的意义。在上海,已经有太多的案例证明,轨交新动作的开始,就是板块价值蜕变的开始。
这里将迎来更多的新鲜人口!
首先是居住在松江,上班在其他区的居民,出行方式唯有9号线一条,而早高峰时段,9号线佘山站的时候,就已经很多人了,到了泗泾站,更是到了几乎天天限流的阶段。
等到12号线西延伸(在建)开通,那么,9号线的客流不仅能得到缓解,且在洞泾站上车的人,还有了非常诱人的“终点站”优势!比如居住在泗泾南面,泗泾塘以南的居民,多了出行的选择!再者,12号线(西延伸段在建)将直达G60科创走廊、穿过莘闵别墅区,衔接闵行古美、徐汇康健田林、龙华、徐汇滨江....再到达淮海路、杨浦滨江,链接浦东...
而且,松江的房价,还是更亲民的!
先看9号线泗泾站的地铁房,商品房像保利翡丽公馆,在6-7万/㎡;其他小区,也基本在4-5万/㎡;
松江新城站,三湘四季花城,在5.7-5.8万/㎡;新房指导价,高层则在5.95万/㎡;
数据来源:链家二手房
而这里塘和家园(动迁房),3-4万/㎡;长泰西郊这样的独栋别墅小区,单价也仅在5.4-6万/㎡,新房指导价,高层在5万/㎡,洋房+联排小区,指导价经过一轮涨价以后,在5.3万/㎡。
颠覆性加强的轨交通达能力+低洼的房价优势,对于虹吸产业人口、松江其他板块刚改置业人口以及闵行、甚至徐汇外溢人口,都有非常大的助力!
双TOD规划?
12号线洞泾站(西延伸段在建)
还有无限遐想
有人会问,说的那么“厉害”,但是相比有印象城、有万达的松江新城,配置略显“荒芜”,不还是个弟弟吗?相比松江其他板块,这里交通、商业、教育都处于弱势,即使12号线(西延伸段在建)弥补了交通短板,后期如果没有靠谱的商业+教育,同样也很难发展起来。
那我们一起来看看区域的各项配套,看看是不是真的“一无所有”。
商业方面,依靠着12号线西延伸(在建),有双TOD规划,其中一个,就是未来湾TOD。就在沪松公路站!还有一个是刘五公路站的生态科技城TOD规划!
信息来源:上海松江
两大TOD规划很亮眼,都是集地铁上盖商业、高品质科创办公、综合文化中心、高端教育配套和古镇特色商业等多功能于一体的综合性TOD,形成超级数字场景的标杆示范区。
另外,也就是2023年第二批次土拍,华发拿下的9/12号线(西延伸段在建)洞泾地铁站周边3幅地块。距离9号线、12号线洞泾站(西延伸段在建),直线距离在500米以内,妥妥地轨交大盘。
交通配套:项目距离9号线洞泾地铁站以及12号线西延伸线洞泾地铁站直线约400m,12号线西延伸线预计在27年底实现通车,未来业主们即可享交真正的双轨出行。
商业方面:项目直线距离1公里处即是松江印象城,周边还有松江万达广场、宝乐汇广场、五龙商业广场、开元地中海、泰晤士小镇。
教育配套:项目北面直线距离约400米处便是民办爱朗双语幼儿园,周边还有洞泾百鸟幼儿园、9年一贯制的洞泾外国语实验学校(预计24年9月建成)、华东师范大学第二附属中学松江实验学校等,项目地块北侧还规划有幼儿园用地。
最新消息9/12号线(西延伸在建中)双地铁房上海西南新一代高品质封面之作华发·海上都荟售楼处&样板间已开放接待推建面约91—101㎡高层&约90-136㎡叠加
上海松江华发海上都荟售楼处电话:400-9966-224✔✔【预约热线】华发海上都荟售楼处电话:400-9966-224✔✔华发海上都荟售楼处电话/地址☎:4009966224✔✔(开发商热线)如有问题欢迎来电咨询,专业一对一热情服务,让您用专业眼光去买房。
声明:本文由入驻焦点开放平台的作者撰写,除焦点官方账号外,观点仅代表作者本人,不代表焦点立场。
