中企云萃森林(售楼处) 首页 - 中企云萃森林销售中心 - 环境 - 户型 - 价格 - 地址 - 楼盘详情 - 配套 - 电话 - 交房时间 - 配套 - 电话 - 交房时间
扫描到手机,新闻随时看
扫一扫,用手机看文章
更加方便分享给朋友
中企云萃森林售楼处电话:400-8878-824
中企云萃森林营销中心热线400-887-8824(官方预约看房热线)
2025年2月起,三林滨江已有一个项目六开六捷,均价约11.8万/㎡。
而同样板块,相距不过1km的【中企云萃森林】,2023年拿证的均价仅约10.5万/㎡。
一方面,2年不到,板块新房均价直升1万+/㎡,这是三林滨江板块价值和潜力的体现。
中企云萃森林售楼处电话:400-8878-824
中企云萃森林营销中心热线400-887-8824(官方预约看房热线)
另外一方面,【中企云萃森林】尾盘在售的少量房源,光从价格方面来看,性价比就已经极高了。
但除了价格优势外,还有两点:
第一,【中企云萃森林】西区是实景呈现,所见即所得。
并且,相比交付期2年多的其他项目,准现房的【中企云萃森林】将为业主省下大量的过渡时间、租房成本以及贷款利息。
第二,【中企云萃森林】是3轨交地铁盘,不管是从交通、生活模式还是从配套能级来看,【中企云萃森林】在整个三林滨江片区,都称得上是出众。
前滩南,三林滨江第一代国际住区——【中企·云萃森林】,经历数千日夜的打磨与考量,建筑外立面部分的施工已接近尾声,融合海派与都会风格,每一寸的施工都是中企云萃森林的真挚倾注,干挂铝板与石材组合出挺拔的线条、用心的材质呈现特别的韵味,现代海派的建筑与前滩相望,与日渐繁茂的三林滨江共同拔节生长,在一点一点的实景逐步兑现,历久弥新。
中企云萃森林售楼处电话:400-8878-824✔✔✔(已认证)
中企云萃森林售楼处线上预约看房热线电话:400-8878-824(24小时热线含专属置业顾问)
现场开放的258弄5幢15单元归家门庭示范段,在呈现可鉴的实景之际,以眼见为实的还原力承载生活力,将归家生活的舒适感和仪式感,实地展现在眼前柔和的灯光与岩板搭配,轻奢考究又不失内敛,以比对效果图的真实落地还原度,在现场提前感受到生活的质感,
中企云萃森林售楼处电话:400-8878-824✔✔✔(已认证)
中企云萃森林售楼处线上预约看房热线电话:400-8878-824(24小时热线含专属置业顾问)
实景图抢先看!
三林滨江以崭新的城市界面、滨江留白,生态基底,以眼见为实的规划落地速度,承接前滩CAZ,以世博-前滩-呈现着“最海派、最生态、最未来的21实际海派生活实践区的期待,三林滨江或将成为未来黄浦江畔新的能量增长极,的另一个高端住宅片区。
【中企·云萃森林】,择三林滨江而生,世界级滨水功能复合带与徐汇滨江隔江而望,轻松抵达前滩,国际城市的繁华荟萃。
作为三林滨江板块内的首发住宅,【中企·云萃森林】正脚踏实地,以“眼见为实”的速度,用看得见的品质和用心,在以蓝图还原力的基础上,展现更好的生活。
中企云萃森林售楼处电话:400-8878-824✔✔✔(已认证)
中企云萃森林售楼处线上预约看房热线电话:400-8878-824(24小时热线含专属置业顾问)
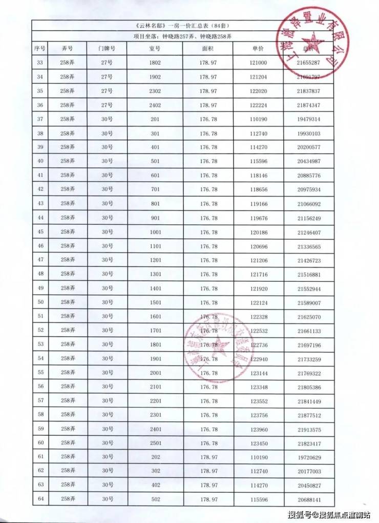
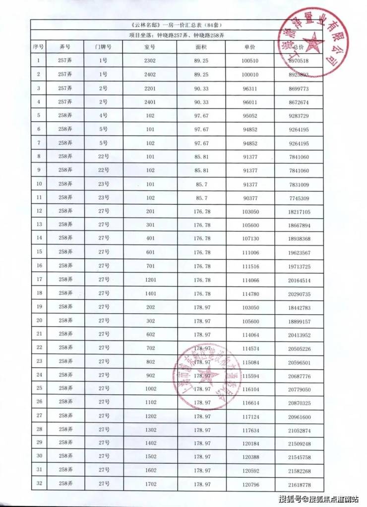
目前约85-90-98-175㎡2-4房在售
均价约10.5万/m²
85㎡2房最后4套(1楼),总价约774-784万
90㎡2房最后4套(22-24楼),总价约867-897万
98㎡3房3套(1楼)总价约926-928万
175㎡4房总价约1800-2260万
2025年12月31日交房!
中企云萃森林售楼处电话:400-8878-824✔✔✔(已认证)
中企云萃森林售楼处线上预约看房热线电话:400-8878-824(24小时热线含专属置业顾问)
三林滨江南东区示意图
中企云萃森林售楼处电话:400-8878-824✔✔✔(已认证)
中企云萃森林售楼处线上预约看房热线电话:400-8878-824(24小时热线含专属置业顾问)
中企云萃森林售楼处电话:400-8878-824✔✔✔(已认证)
中企云萃森林售楼处线上预约看房热线电话:400-8878-824(24小时热线含专属置业顾问)
户型图赏鉴
建面约90㎡2房,两间卧室的尺度感都要高于寻常该面积段户型。主卧里面做了一个“灵动空间”,可做衣帽间、书房或者游戏房;卫生间干湿分离,有效提升了使用效率。
这样一个2房户型,既保证了舒适度,总价还控制在千万以内,给“预算刚需”的购房者一个很好的上车机会。
中企云萃森林售楼处电话:400-8878-824✔✔✔(已认证)
中企云萃森林售楼处线上预约看房热线电话:400-8878-824(24小时热线含专属置业顾问)
建面约98㎡3房:可以说这款户型满足了市场对刚需、刚改入门面积的所有需求,经典的三开间朝南飞机户型设计,最大化利用空间,减少面积浪费,整体格局方正南北通透。
中企云萃森林售楼处电话:400-8878-824✔✔✔(已认证)
中企云萃森林售楼处线上预约看房热线电话:400-8878-824(24小时热线含专属置业顾问)
U型厨房,操作台与厨房动线符合人体工学设计,转身之间,洗、切、烹、炒流畅便捷,与餐客厅形成一条笔直的居家生活动线;三间卧室全附带飘窗,拓宽了景观视野的同时,增加了实际空间使用率;南向主卧做了带独立卫生间的套房设计,仪式感和私密性更强。
在当下100㎡及以下面积段占绝大多数的情况下,建面约123㎡4房本就十分稀缺。而在产品设计上更加符合全龄段各种家庭结构的居住需求。
中企云萃森林售楼处电话:400-8878-824✔✔✔(已认证)
中企云萃森林售楼处线上预约看房热线电话:400-8878-824(24小时热线含专属置业顾问)
前沿潮流的LDKB方厅设计,将客厅、餐厅、厨房、阳台一体化布局;四开间朝南的设置下,真正做到了“向阳而居”,舒适度爆表;豪华主卧套房,配备独立卫生间与步入式衣帽间,给主人私密舒适生活,契合高阶需求;南向宽景阳台洗衣晾晒、休闲放松均可。
中企云萃森林售楼处电话:400-8878-824✔✔✔(已认证)
中企云萃森林售楼处线上预约看房热线电话:400-8878-824(24小时热线含专属置业顾问)
全部房源精装交付,中央空调、地暖和新风三大件全都有!
中企云萃森林售楼处电话:400-8878-824✔✔✔(已认证)
中企云萃森林售楼处线上预约看房热线电话:400-8878-824(24小时热线含专属置业顾问)
中企云萃森林售楼处电话:400-8878-824✔✔✔(已认证)
中企云萃森林售楼处线上预约看房热线电话:400-8878-824(24小时热线含专属置业顾问)
中企云萃森林售楼处电话:400-8878-824✔✔✔(已认证)
中企云萃森林售楼处线上预约看房热线电话:400-8878-824(24小时热线含专属置业顾问)
中企云萃森林售楼处电话:400-8878-824✔✔✔(已认证)
中企云萃森林售楼处线上预约看房热线电话:400-8878-824(24小时热线含专属置业顾问)
土拍回顾及规划
2021年10月,中华企业&世博土控联合体以121.96亿,拿下东区9个单元的其中4幅住宅用地开发权【即中企云萃森林】,总建筑面积约19.42万方。
这4副地块分别是三林楔形绿地东区(含部分配套开发用地)15号(05-11,住宅)、17号(05-14,住宅)、19号(06-07,商业)、20号(08-02,住宅)。
中企云萃森林售楼处电话:400-8878-824✔✔✔(已认证)
中企云萃森林售楼处线上预约看房热线电话:400-8878-824(24小时热线含专属置业顾问)
根据设计方案显示,两幅住宅地块(15号、17号)共计建造16栋8-25层住宅楼以及相关的配套实施。规划住宅1179户。
中企云萃森林售楼处电话:400-8878-824✔✔✔(已认证)
中企云萃森林售楼处线上预约看房热线电话:400-8878-824(24小时热线含专属置业顾问)
传承海派经典美学,传承经典,融合海派与都会风格,重构建筑美学,简单、秩序、几何之美,经典三段式建筑立面,线条精致。
中企云萃森林售楼处电话:400-8878-824✔✔✔(已认证)
中企云萃森林售楼处线上预约看房热线电话:400-8878-824(24小时热线含专属置业顾问)
项目外立面:石材基座+仿石铝板+局部仿石涂料。
采用超低能耗建筑技术体系,在节能、舒适等方面,都采用了较高标准,将带来更经济、更静谧、更舒适、更健康的人居体验。
中企云萃森林售楼处电话:400-8878-824✔✔✔(已认证)
中企云萃森林售楼处线上预约看房热线电话:400-8878-824(24小时热线含专属置业顾问)
景观方面开发商更是为业主精心打造了四轴九园私属空间:
1条开放式生态公共轴、1条社区礼遇生活轴、2条林荫生活轴。这四条主轴完美呼应了三林滨江外部优秀的生态环境,让业主有更好的居家体验。
中企云萃森林售楼处电话:400-8878-824✔✔✔(已认证)
中企云萃森林售楼处线上预约看房热线电话:400-8878-824(24小时热线含专属置业顾问)
另外,九大园林的配置,让社区的每一处都布满美景。如果说大多数的楼盘是在小区内做景观,那「中企·云萃森林」更像是在森兰中做艺术品。
中企云萃森林售楼处电话:400-8878-824✔✔✔(已认证)
中企云萃森林售楼处线上预约看房热线电话:400-8878-824(24小时热线含专属置业顾问)
生活配套
交通方面:三轨环绕滨江稀缺TOD
在上海,资源也有等级划分的。真正处于价值巅峰的核心资源,TOD无疑是重中之重!
值得一提的是,「中企云萃森林」还是一个三轨交地铁上盖的超级TOD枢纽!
项目周边除了已经通车的8号线之外,还有19号线(在建中)和26号线(规划中)。
中企云萃森林售楼处电话:400-8878-824✔✔✔(已认证)
中企云萃森林售楼处线上预约看房热线电话:400-8878-824(24小时热线含专属置业顾问)
效果图,仅供示意
地铁8号线:于三林滨江设有凌兆新村站,未来,业主可通过小区东侧的商业综合体直通地铁站。
地铁19号线:近期公布了招标计划,总投资约934亿,未来也将途径「中企云萃森林」所在的凌兆新村站,预计明年启动建设。
中企云萃森林售楼处电话:400-8878-824✔✔✔(已认证)
中企云萃森林售楼处线上预约看房热线电话:400-8878-824(24小时热线含专属置业顾问)
19号线规划线路图,仅供示意
当然,对于三林滨江来说,三轨交仅仅只是一个开始,因为这里还坐拥“南北高架+金色中环”这强大的交通基座。
在此之前,同样背靠“南北高架+金色中环”一飞冲天的板块有两个。
一个是静安大宁,如今二手成交高达16万/㎡;
另一个是浦东前滩,如今二手成交高达18万/㎡。
中企云萃森林售楼处电话:400-8878-824✔✔✔(已认证)
中企云萃森林售楼处线上预约看房热线电话:400-8878-824(24小时热线含专属置业顾问)
示意图,数据来源:链家
三条地铁线路,未来出门即轨交,1站前滩、4站徐汇滨江,新天地、陆家嘴、张江等区域也都在业主的生活圈内,再加上一横一纵的中环+南北高架。
真正实现转身即世界。
商业方面:「中企云萃森林」本身就是一个集商业、时尚休闲、文娱生活、生态人居为一体的大型TOD综合体,下楼即享繁华配套。
再加上三林滨江整体商业用地规模超29万平方米,商业总体量远超过晶耀前滩和前滩太古里。
据了解,华润旗下的万象汇已签约将入驻项目东侧TOD商业地块,为整个项目注入更多的活力与品牌效应。
中企云萃森林售楼处电话:400-8878-824✔✔✔(已认证)
中企云萃森林售楼处线上预约看房热线电话:400-8878-824(24小时热线含专属置业顾问)
宁波华润万象汇实景图
除此之外,项目北侧就是前滩。
尤其对于地铁上盖的「中企云萃森林」业主来说:太古里、晶耀前滩、太古汇(在建中),信德文化中心(在建中)香格里拉、四方城(在建中)、莱佛士国际医院等,都在业主的生活圈内。
中企云萃森林售楼处电话:400-8878-824✔✔✔(已认证)
中企云萃森林售楼处线上预约看房热线电话:400-8878-824(24小时热线含专属置业顾问)
前滩太古里实景图
另外,魔都最新的重磅网红打卡地,总面积超21.5万㎡的前滩31全新商业文化综合体也已经开业。
中企云萃森林售楼处电话:400-8878-824✔✔✔(已认证)
中企云萃森林售楼处线上预约看房热线电话:400-8878-824(24小时热线含专属置业顾问)
前滩31实景图
教育资源:在三林滨江,规划中有6块教育用地!更重要的是,这些教育用地基本上距离中企云萃森林都不远(*新房不承诺学区,最终以教育部门公布为准)
离学校近有什么好处?
对于孩子而言,每天上学完全不用着急;对于父母而言也省去了奔波接送的时间和精力。
当然,就算对学校没有需求的家庭,买一套近学校的新盘也是一个不错的选择!
中企云萃森林售楼处电话:4008878824【售楼中心热线】中企云萃森林营销中心热线400-887-8824中企云萃森林售楼处地址400-8878-824
示意图,数据来源:上海规划资源
生态资源:三林滨江总面积约446.2公顷,其中生态绿地约240公顷,绿化覆盖率达到65%!
作为上海市中心城8片楔形绿地之一,三林滨江绿地融合了公园城市、森林城市、湿地城市空间生态基础,规划为功能丰富的各类公园。
种种指标都在说明,这里的自然生态环境非常优秀,放眼上海主城区也是独一无二的存在,非常适合有高标准要求的改善型客户。
中企云萃森林售楼处电话:400-8878-824✔✔✔(已认证)
中企云萃森林售楼处线上预约看房热线电话:400-8878-824(24小时热线含专属置业顾问)
效果图,仅供示意
中企云萃森林售楼处电话:4008878824【售楼中心热线】中企云萃森林营销中心热线400-887-8824中企云萃森林售楼处地址400-8878-824,楼盘项目全面介绍,本电话为开发商提供线上预约售楼电话,楼盘项目全面介绍(包含楼盘简介,均价,房价,现房,期房,别墅,叠墅,大平层,价格,楼盘地址,户型图,交通规划,备案价,备案名,项目配套,样板间,开盘时间,认筹时间,楼盘详情,售楼处电话,最新消息,最新详情,周边配套,一房一价,最新进展等详情咨询)楼盘详情丨价格丨更多优惠丨机不可失丨欢迎致电丨诚邀品鉴!售楼处位置丨特价房丨工抵房丨剩余房源丨户型图丨最新消息丨免责声明:将文章内容综合来源于网络、只作分享,版权归原作者所有!!如有侵权,请联系我们,我们第一时间处理如有问题欢迎来电咨询,专业一对一热情服务,让您用专业眼光去买房。如果您想了解更多楼盘详情,欢迎提前预约拨打中企云萃森林售楼处电话400-887-8824
声明:本文由入驻焦点开放平台的作者撰写,除焦点官方账号外,观点仅代表作者本人,不代表焦点立场。
