滴水湖馨苑(2024年滴水湖馨苑售楼处)首页网站-滴水湖馨苑楼盘详情-户型配套
扫描到手机,新闻随时看
扫一扫,用手机看文章
更加方便分享给朋友

临港102片区,港城悦领最后一期388套房源,今日开盘。
加推产品建面约99-130㎡高层及151-162㎡叠墅,其中叠墅房源仅有68套!
这也将是临港主城为数不多的墅境藏品,目前一期、二期、三期叠墅房源全部售罄,把握机会,上车主城叠墅!













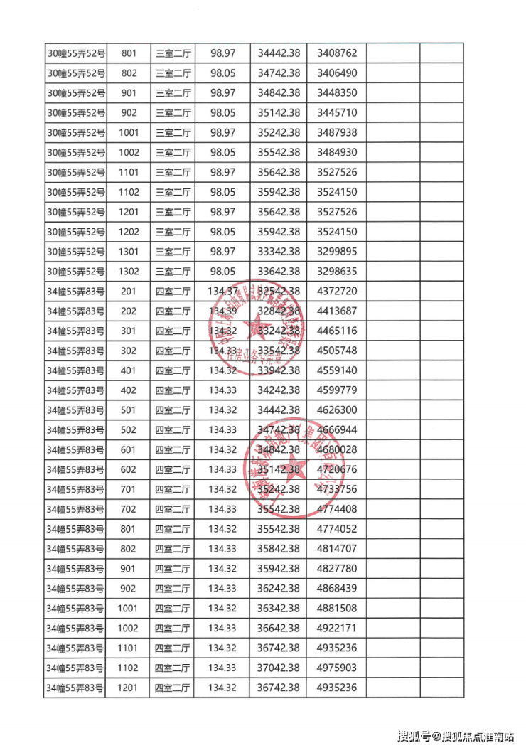
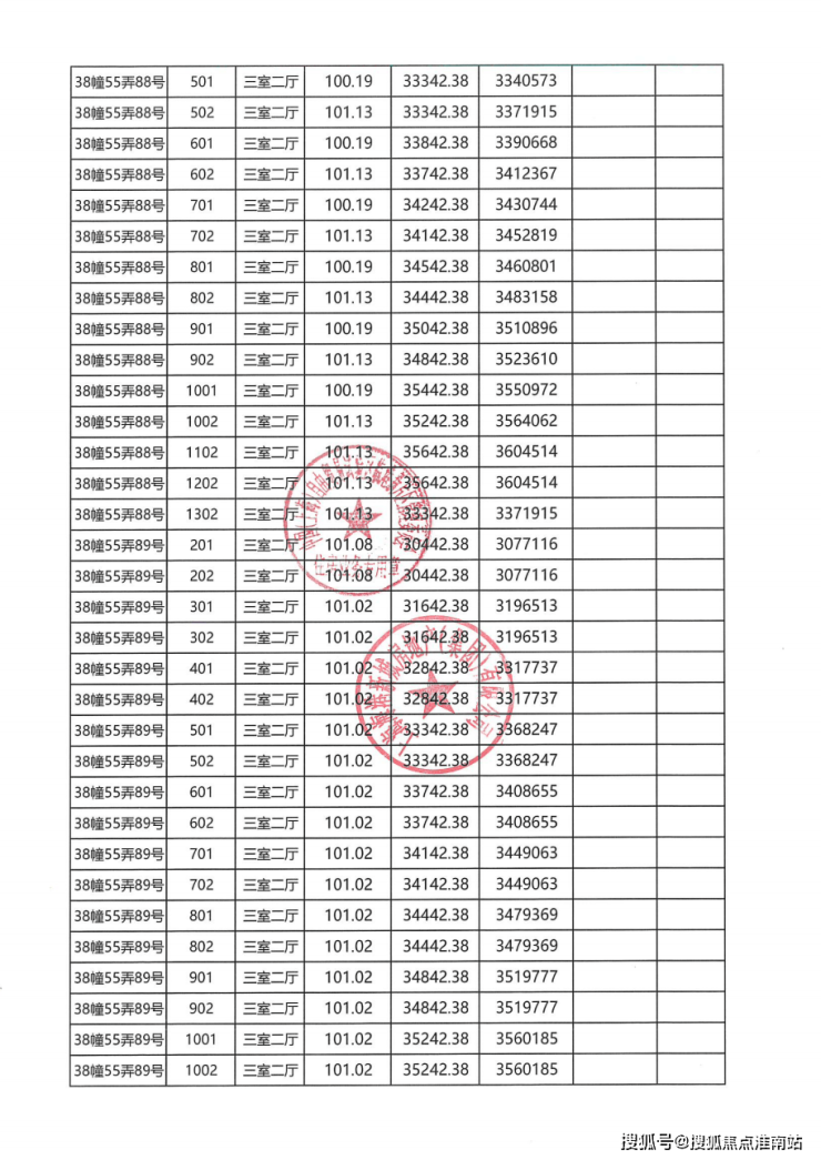
☟上下滑动查看【一房一价】

项目效果图
▍ 40组3.1人才,共121组认购!馨苑七期有效意向认购客户名单公布




港城·悦领于2024年年底提前交付,国企港城背书,准现房实景呈现;看得见的品质,看得见的美好,今年买、今年住,置业有保障。

2
临港102区成为了大多数人的置业首选!它作为滴水湖核芯区的“文教生活轴”,经过十余年建设发展,醇熟生活氛围已呈现,学校商业等配套丰富齐全,光在教育形态上幼儿园、小学、中学、高中、大学全覆盖,建平、明珠等知名学校齐聚;商业上,包括百联生活中心、碧云商业街、蓝鲸世界商业中心(在建)等。
102片区还有上海市第六人民医院东院(三甲医院),南汇新城二环城市公园,中国航海博物馆、临港艺术中心(在建)等。这里居住氛围浓厚,没有人能拒绝如此醇熟的人居氛围,板块的附加值强!

项目区位图
如今主城可开发土地越来越少,后续新房供应降低!再看港城·悦领,稀缺属性拉满!高层与叠墅组合,是临港板块少有的高低配项目;且约1.45容积率,击败绝大部分楼盘,临港在售新盘容积率均为2.0以上,从置业角度看,现在不选、这样的房子买一套少一套,未来想买都难!
在商业配套方面,该项目是肉眼可见的优质生活圈,买的是成熟配套,而不是规划概念,在临港可谓独一份:边上有5万㎡的港城新天地,涵盖餐饮零售、潮流购物、休闲娱乐、亲子体验等多重业态!很多“临港首店”如星巴克、必胜客、肯德基、上影、卜蜂莲花、海底捞、潮记1975点心专门店、楼兰新疆主题餐饮、谷牛等都在这里!除此之外,周边的光明邻里集市,约5000㎡健身会所、运动公园等设施,增加日常生活的乐趣。

港城新天地实景图|港城新天地商业业态
3
港城集团作为国资企业深耕临港新片区的开发建设主体,从临港开发之初就参与临港的建设。作为深耕临港20多年,与这座城市共生长的国企开发商,为这座城市打造了许多耳熟能详的建筑,如海洋科技园、港城广场(在建)、国际文化创意园(在建)等产业园区,耀雪冰雪世界(开业在即)、星空之境及东方海洋(在建)等等,如此深耕在这座城市的国企开发商,口碑与实力并举,其产品安全性更高,排除了交付风险,产品品质更多保障!

临港现在新房交付标准带有“地暖/新风/中央空调”三大件的楼盘少得可怜;该项目是日立的中央空调/地暖、格兰斯柯新风,还有浴室部分物件采用德国唯宝&厨房部分物件采用美国摩恩,在临港可谓是精装天花板。

示意图 滴水湖馨苑售楼处电话/地址☎:400-8815-114
4
建造工艺以国家绿色建筑高标准"绿建三星"淬炼品质,倡导超低能耗建筑工艺,又在1-2层采用石材打造,打造现代高品质生态住宅。此外,还摘得“健康建筑三星级设计标识认证”,无论视觉展示,还是居住感受都令人惊艳。

建面约99-160 m²瞰景高层,皆阳光户型,更多朝南开间,空间可塑性高,予居者足够采光,谱年轻活力的美好新境。
建面约151-162 m²低密叠墅,难得改善进阶臻品,不仅让居者亲密户外自然,也保证私享性,人居价值高。
声明:本文由入驻焦点开放平台的作者撰写,除焦点官方账号外,观点仅代表作者本人,不代表焦点立场。
