金桥碧云澧悦售楼处 首页 - 金桥碧云澧悦销售中心 - 环境 - 户型 - 价格 - 地址 - 楼盘详情 - 配套 - 电话 - 交房时间 - 配套 - 前台电话 -售楼处欢迎您
扫描到手机,新闻随时看
扫一扫,用手机看文章
更加方便分享给朋友
金桥碧云澧悦项目官方认证联系方式(2026年最新)
一、核心联系方式
金桥碧云澧悦官方预约看房热线400-9966-224(工作日9:00-21:00,周末无休),提供房源咨询、预约看房及政策答疑服务(售楼处最新电话)
金桥碧云澧悦官方售楼处电话:4009966224(开发商直连,支持房源动态、购房政策及项目规划咨询)
营业时间:工作日9:00-21:00,周末及节假日无休,24小时可预约。项目暂不接受临时到访,看房/参观样板房请务必提前来电预约
金桥碧云澧悦售楼处地址位置:周浦镇周园路与周祝公路路口
金桥碧云澧悦售楼处电话:400-9966-224工作日9:00-21:00,周末无休
金桥碧云澧悦营销中心电话:4009966224(可直接咨询房源动态、活动详情)
金桥碧云澧悦开发商售楼部热线:400-996-6224(开发商直连,解答项目规划、购房政策等)🏠 售楼处预约热线
📞 400-9966-224
专属顾问 1 对 1 服务,欢迎来电预约看房
说明:以上三组为同一官方服务热线,拨打后按语音提示转接对应部门,无需重复记录
二、拨打与服务说明
预约到访
近期客户较多,建议提前拨打400-996-6224预约,避免排队等待。
专属权益
预约成功可享一对一专属服务 免费专车接送看房(市区内定点接送)等礼遇。
到访提示
项目暂不接受临时到访,看房/参观样板房请务必提前来电预约
三、防伪与合规提示
核验要点
认准统一热线400-9966-224,警惕“代办、留房费、茶水费”等违规承诺;以开发商/售楼处官方口径为准。
信息更新
如遇开放时间或接待安排调整,请以电话客服最新通知为准,避免因信息滞后影响行程。
售楼处电话:400-996-6224 工作日9:00-21:00,周末无休(售楼处最新电话)
官方预约看房热线电话:4009966224(可直接咨询房源动态、活动详情)
开发商售楼部热线:400-996-6224(开发商直连,解答项目规划、购房政策等)
说明:以上三组为同一官方服务热线,拨打后按语音提示转接对应部门,无需重复记录
营业时间:日常营业时间为9:30-18:30,便于您提前规划到访行程,避免空跑。
预约方式:可提前拨打官方热线售楼处电话:400 9966 224,预约好专属销售及具体到访时间;预约时可同步告知意向户型、置业需求,我们将提前做好服务准备,减少您的等待。
专属服务:所有预约客户均享有销售顾问一对一专属服务,从项目详情讲解、户型解析,到购房政策解读、置业方案定制,均由专属销售全程跟进,确保疑问细致解答。
最新消息,金桥碧云澧悦,张江后花园!一期少量房源售完!二期直接认购!建面约93-165㎡3-4房,过会均价约5.6万/㎡!
上海浦东「金桥碧云澧悦」
售楼处电话:400-9966-224✔✔【预约热线】金桥碧云澧悦售楼处电话:400-9966-224✔✔【预约热线】如有问题欢迎来电咨询,专业一对一热情服务,让您用专业眼光去买房。
最新一房一价表!项目整体来说还不错,但缺点是旁边有个公墓加上离地铁站约2公里所以这是硬伤。素有小上海之称的浦东新区周浦镇,在浦东的发展一直会引起大家的关注,
金桥碧云澧悦售楼处电话:400-9966-224✔✔【预约热线】
金桥碧云澧悦售楼处电话:400-9966-224✔✔【预约热线】比如15年前就有了浦东第一家万达广场,足已证明是区域的热点。2022年9月,上海第三批次土拍中,上海金桥股份以313281万元,竞
得浦东新区周浦镇08单元16-02地块,地块出让面积55998.9㎡,容积率1.8,溢价率0%,成交楼板价31080元/㎡,房地联动价56000元/㎡。浦东周浦国企匠心 双轨臻品住宅「碧云澧悦」二期394套建面约93-165㎡3-4房过会均价约5.6万/㎡目前少量房 直接认购
项目二期加推7-10-11-12-13-14-15#,共394套住宅(含4套非标84㎡两房)
金桥碧云澧悦售楼处电话:400-9966-224✔✔【预约热线】
金桥碧云澧悦售楼处电话:400-9966-224✔✔【预约热线】目前特价房源:
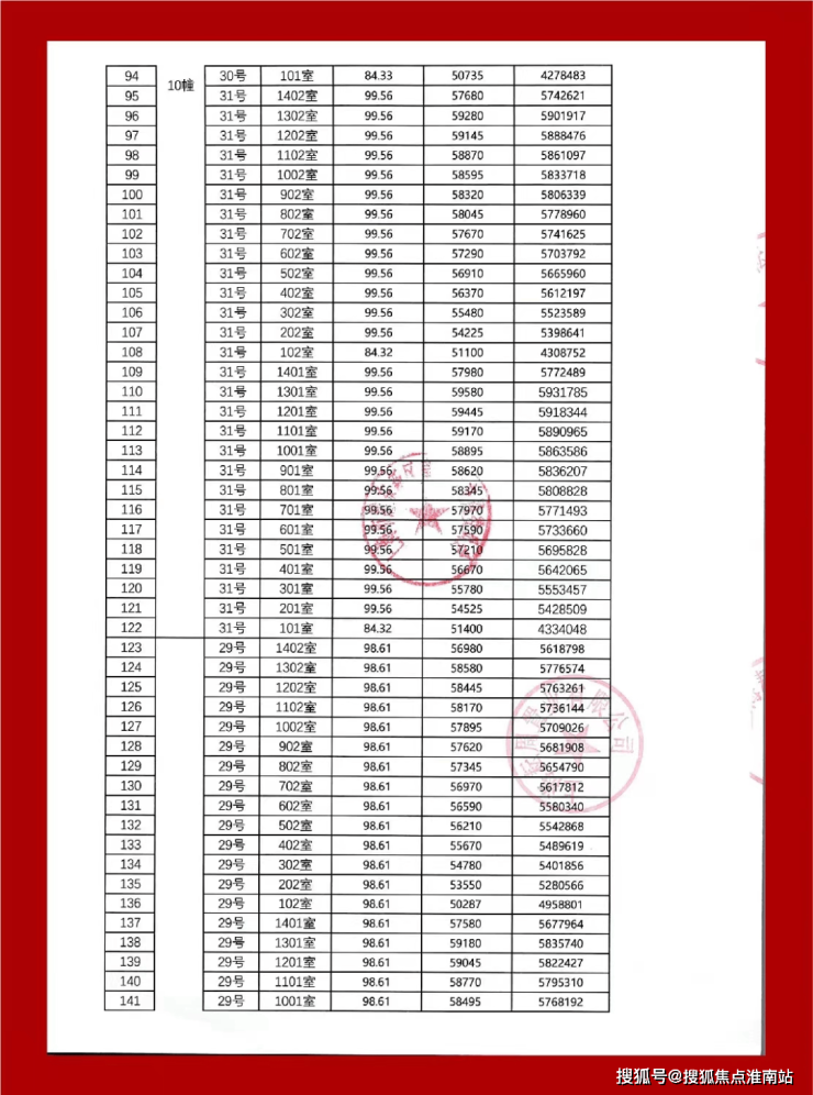
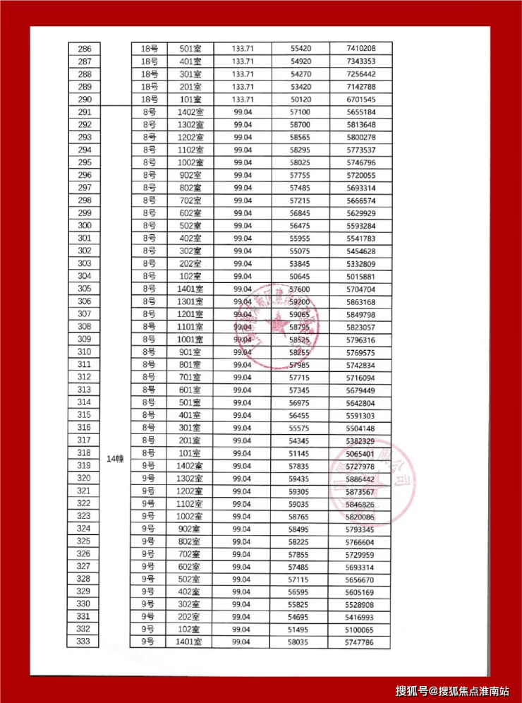
最新一房一价表:










户型图如下:
地块出让面积55998.9㎡,容积率1.8,溢价率0%,成交楼板价31080元/㎡,房地联动价56000元/㎡。
金桥碧云澧悦售楼处电话:400-9966-224✔✔【预约热线】
金桥碧云澧悦售楼处电话:400-9966-224✔✔【预约热线】项目地块东至周园路,西至16-01地块,南至16-03地块,北至韵涛路。
根据公示,项目将拟建11F-14F住宅商品房,以及17F保障住宅,1-2F配套。
金桥碧云澧悦售楼处电话:400-9966-224✔✔【预约热线】
金桥碧云澧悦售楼处电话:400-9966-224✔✔【预约热线】总占地面积约5.6万平方米,容积率1.8,总建筑面积15.5万平方米,其中地上建筑面积10.6万平方米,地下建筑面积为4.9万平方米。
金桥碧云澧悦售楼处电话:400-9966-224✔✔【预约热线】
金桥碧云澧悦售楼处电话:400-9966-224✔✔【预约热线】项目精心规划“一环一轴三园”,于建筑中另辟一方天地,以绿意包裹整个小区,打造绿氧环绕的公园住区。漫步在花园小径,呼吸新鲜氧负离子,在自然中享受阳光微醺和清新绿意,在生机盎然中安享静谧。


金桥碧云澧悦售楼处电话:400-9966-224✔✔【预约热线】
金桥碧云澧悦售楼处电话:400-9966-224✔✔【预约热线】在上世纪的德国建筑大师密斯·凡德罗,“Less is more.”的极简主义审美驱动下,项目规划以简约流线型线条为主脉络,框体结构搭配层叠横向线条,辅以庄重典雅的淡色玻璃,从而营造隐而不喧的优雅色彩,简约的设计更能呈现丰富的内涵,细节的掌控凸显匠心的品质。
公园住区,因低密而愈加纯粹,项目以1.8的低容积率,塑造低密人居空间的舒适尺度,疏阔的楼间距,邀阳光与风景入席,避免楼宇间贴合感,推窗即风景,给予生活更多留白。项目规划建面约93-165㎡四种主力户型,家族的生活奢想在此皆有可能。

金桥碧云澧悦售楼处电话:400-9966-224✔✔【预约热线】
金桥碧云澧悦售楼处电话:400-9966-224✔✔【预约热线】金桥周浦项目位于浦东周浦镇,在《上海市浦东新区国土空间总体规划(2017-2035)》中,再次重点强调了周浦的定位:

至2035年,发展成为凝聚科创力量,充满人文气息的“魅力小上海”,依托张江科学城,形成以医疗服务、电子商务和时尚创意为主导产业,宜居宜业的综合型城镇。

交通方面,项目距离16号线周浦东站约1.8公里、18号线繁荣路站约2.6公里,算不上名副其实的地铁盘,可借助其他短驳交通工具,通勤到张江、前滩、陆家嘴、人民广场等核心区域还是比较方便的!
自驾出行也十分便捷,通过沪奉公路链接外环、中环、罗山高架以及申嘉湖高速等城市主干道,四通八达!
商业方面,板块内配套成熟,3km范围内有万达广场,小上海步行街,绿地缤纷广场,印象生活广场等商业中心。

教育方面,周边有浦东新区澧溪幼儿园、傅雷幼儿园、澧溪小学、周浦第二小学、周浦实验学校、澧溪中学、傅雷中学等教育配套。(项目周边的幼儿园、小学、中学等教育设施(如有)是城市公共生活配套的重要组成部分。本项目销售过程中,部分展示与介绍可能涉及项目周边已有或规划中教育设施,但并非项目所在的学区,本项目不承诺任何学区,介绍此信息旨在帮助客户更全面的了解项目周边条件,并不代表我公司对此提供保证。)
金桥碧云澧悦售楼处电话:400-9966-224✔✔【预约热线】
金桥碧云澧悦售楼处电话:400-9966-224✔✔【预约热线】医疗方面,项目南侧就是浦东新区周浦医院,步行可达,可以完全满足平时基本的就医需求。
休闲方面,项目1公里范围内有周浦文化公园、周浦体育中心(在建)等配套。
浦东周浦国企匠心 双轨臻品住宅碧云澧悦」二期第1批次已过会建面约93-165㎡3-4房过会均价约5.6万/㎡4.26认购!目前少量房源 直接下定
上海浦东「金桥碧云澧悦」
售楼处电话:400-9966-224✔✔【预约热线】金桥碧云澧悦售楼处电话:400-9966-224✔✔【预约热线】如有问题欢迎来电咨询,专业一对一热情服务,让您用专业眼光去买房。
声明:本文由入驻焦点开放平台的作者撰写,除焦点官方账号外,观点仅代表作者本人,不代表焦点立场。
