深嘉上府售楼处电话→深嘉上府售楼中心电话→2025年深嘉上府楼盘百科→首页网站→楼盘测评→售楼中心电话→楼盘百科→首页网站→24小时热线电话→楼盘详情
扫描到手机,新闻随时看
扫一扫,用手机看文章
更加方便分享给朋友
深嘉上府售楼处电话:400-8878-824
深嘉上府营销中心热线400-887-8824(官方预约看房热线)
深嘉上府售楼处电话:400-8878-824
深嘉上府营销中心热线400-887-8824(官方预约看房热线)
看土拍市场,今年3月初,嘉定新城F03A-4地块出让,经过49轮激烈竞拍,溢价率30%封顶成交,楼面价高达31850元/㎡。而它旁边的地块楼面价才2.3万/㎡,这样的跳涨幅度无疑是惊人的。
此刻,于手握刚需预算的购房者而言:时机不等人!如果不想错过行情,未来多付上百万的真金白银,当下嘉定入市的新房必须强烈关注起来。
「深嘉上府」从价格上来看,是当下无可争议的性价比之选,只要300万起就能上车一套精装三房!要知道,往前两站的嘉定新城新房将要卖上6万+/㎡!

深嘉上府售楼处电话:400-8878-824
深嘉上府营销中心热线400-887-8824(官方预约看房热线)
层层因素叠加,这才是刚需逆天改命的封神级性价比!
「深嘉上府」示范区&样板间已正式开放,实力雄厚的国企钜制,推出精装三房爆款小户型,年轻人在上海的第一套房子,不容错过!

深嘉上府售楼处电话:400-8878-824
深嘉上府营销中心热线400-887-8824(官方预约看房热线)
嘉定芯同济旁,片区内综合体项目「深嘉上府」正式开放示范区&样板间;国企钜制+全屋精装;加推212套建面约68-99㎡1-3房;总价约300万起!7月12日已过会均价35839元/㎡,售楼处线上火热预约中!
精装交付,中央空调、地暖、新风三大件一步到位,连洗碗机、凉霸也标配入户,首开优惠还有大惊喜!首开价格诚意满满,优惠价格直接就是备案价格的95折!
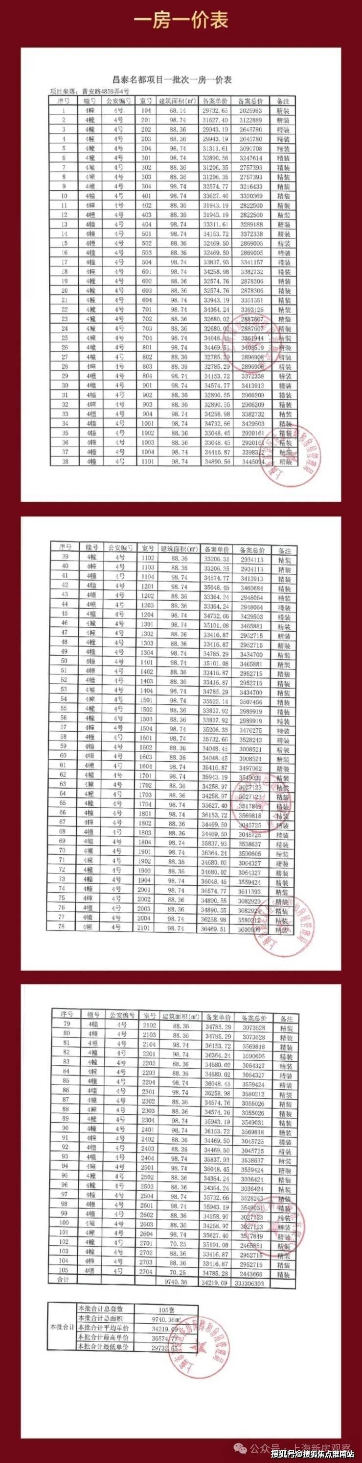
上期一房一价表如下:
仅有四栋住宅一字排开,享受开阔全景视野与充足采光。在样板房的设计上更以自然雅居理念的落地,选用的艺术纹理瓷砖、实木多层地板、墙布、窗材及钢板等,不仅饱含艺术元素,同时也有很强的耐磨抗蚀特性,具备持久耐用性。

在精装硬件上,匠心臻选优质品牌和材质。配置日立中央空调、地暖、新风三大健康系统,打造舒适宜居的室内环境;全屋采用LED光源,搭配智能家居与智能门锁,提升生活的便捷与高效;厨房则配备油烟机、燃气灶、橱柜、洗碗机四件套,充分满足居家烹饪的品质需求。细节之处尽显匠心,只为呈现更高品质的理想生活。(仅供参考,具体以实际交付为准)
深嘉上府以88-99㎡的明星爆款小户型,圆年轻人的置业梦想。其中,88㎡户型以三房两厅一卫的格局,兼具功能性与尺度感。南向三开间,做到两间卧室朝南,这样的面宽,媲美市面上100㎡户型的新房尺度。u字形的厨房,动线合理。餐厅空间,能够从容摆放一张四人大餐桌。全屋飘窗设计,将赠送空间拉满。

U型厨房动线合理,洗菜、切菜、炒菜一气呵成,最惊喜的是全屋飘窗,附加值和功能性拉满!甚至浴室都附带飘窗,洗完澡坐在飘窗上敷个面膜,惬意满分!北房间可作书房或儿童房,兼具功能与成长性!


建面约99㎡的三房两厅两卫,很适合一家三口的上车作品。三开间朝南,南北通透,动静分区,户型方正。全屋飘窗,扩大实用面积,节省置业成本。主卧采用套房式设计,满足业主的私密性需求。户型内空间充分利用,整体尺度感超过同面积段的市面上产品。



在看不见的细节里,用尽所有认真。13大项97小项的精装考量,18项户内工艺、17项园林营造、6项外立面构造、7项公共区域细节,深业华东以全维体系雕刻每一寸空间,用看得见的品质,兑现看不见的用心。

深嘉上府,由深圳市人民政府全资拥有、深圳市国资委直管的大型综合性企业集团——深业集团开发打造,集团前身于1983年在香港注册成立。
2021年12月和2022年6月,两次摘下上海嘉定地块深业深安上居、深嘉上府,双星耀嘉定开启在上海的战略布局。深安上居首开热销8成,二期去化表现同样优异,只剩少量房源。「深嘉上府」作为深业集团进入上海打造的首个“府系”综合体项目,升级之作,强势来袭!

作为整个嘉定独一份的“全能型综合体选手”,深嘉上府不同于功能单一生活产业都需要仰仗区域规划的住宅社区,TA在一个项目体内实现了住宅、商业、办公的一站式整合!
项目整体宛如一个微缩城市,能够轻松构建“24+1时”生活圈,在家门口就能实现“24小时不打烊”的快乐!

约1万㎡自持商业+5.1万㎡商办,下楼就是网红咖啡店、宝藏小馆、精品超市,遛个弯的功夫就能搞定早午晚餐和溜娃娱乐!早上被楼下飘来的咖啡香唤醒,下楼买杯生椰拿铁配可颂当早餐,地铁站就在家门口,不用着急赶,安心吃完再上班!
外立面上,采用玻璃幕墙+顶部金色格栅塔冠设计,四栋住宅一字排开,户户朝阳享受开阔视野与充足采光的居住体验。
丰富的洄游动线,项目拥有中央花园、为儿童量身定制活动区、全龄运动场、林间密径、架空层空间等,应有尽有。

首层与地下双重精装入户大堂,市区高端改善楼盘才有的配置,出入皆舒适从容,尽显归家礼序。

嘉定,作为五大新城中最为宜居的地方,在过去十年间,人口增速约24.68%,稳居全上海第一。它的成功,一是离市区比较近,另外一个就是产业发达。

安亭,作为中国汽车第一镇,是嘉定建设世界级汽车产业中心核心承载区、打造世界智能网联汽车创新高地的主战场,嘉定汽车“新四化”布局的重中之重。(信息来源上海市嘉定人民政府官网)
目前,安亭汽车产值已超3000亿元,占上海全市汽车总产值超1/3;汽车“新四化”相关总产值达900亿元;聚集各领域汽车产业链企业1240家;全镇共有汽车产业链从业人员约6.8万人。(信息来源组织人事报官方公众号2024年6月发布)

在“大虹桥”最新的规划草案中,安亭正式被纳入大虹桥范畴!
而作为大虹桥版图中的房价洼地和对接长三角的关键节点,资源、人口的涌入,只是时间问题,安亭区域价值的腾飞可以预见,现在上车正当时!
随着区域规划的升级,安亭从交通到产业的硬件配套也正迎来全面蜕变!
就以地处安亭核心的深嘉上府为例,现有地铁11号线坐几站就能到嘉定新城,并直通上海市区!
而规划中的14号线西延伸线(预计2026年动工),更与项目直线仅约300米,通车后可高效对接大虹桥,且45分钟直达陆家嘴,实现新城置业中罕有的双轨高能配置!

同时,片区的交通也将迎来大跃升:以安亭北站、安亭西站为核心的安亭枢纽,是打通长三角一体化和虹桥国际开放枢纽的链接通道,在上海2035规划中,宝嘉线、嘉青松线即将启动,嘉安高速延展嘉定向东,与宝山互通。深嘉上府售楼处电话:4008878824【售楼中心热线】深嘉上府营销中心热线400-887-8824深嘉上府售楼处地址400-8878-824
轨交14号线西延伸(规划中),与轨交11号线合力形成大运量轨交服务扇面,构筑“上海市中心-嘉定-苏州”轨交一张网。
而项目与规划中的14号线,直线仅约300米!
项目东侧紧同济大学嘉定校区,在校师生规模超15000人。高教资源丰富,浓郁学府氛围,举步即享高校文体设施配套。周边有同济附属实验小学、中学,黄渡小学、中学,华东师范大学双语学校等全龄段教育资源,孩子可享受“家门口”的优质教育!(新房不承诺学区)
商业上,嘉亭荟城市生活广场、安亭财富广场、三德广场、中信泰富万达广场、嘉实生活广场汇聚,完全满足日常生活购物所需。

生态上,嘉北郊野公园、安亭汽车博览公园、远香湖公园、嘉定紫藤园,还有市民广场、保利大剧院、安亭老街、颖奕安亭高尔夫球场、州桥老街等丰富的文娱场所,陶冶精神,放松身心。

嘉定芯同济旁「深嘉上府」加推建面约68-99㎡1-3房;均价35839元/㎡!
深嘉上府售楼处电话:4008878824【售楼中心热线】深嘉上府营销中心热线400-887-8824深嘉上府售楼处地址400-8878-824,楼盘项目全面介绍,本电话为开发商提供线上预约售楼电话,楼盘项目全面介绍(包含楼盘简介,均价,房价,现房,期房,别墅,叠墅,大平层,价格,楼盘地址,户型图,交通规划,备案价,备案名,项目配套,样板间,开盘时间,认筹时间,楼盘详情,售楼处电话,最新消息,最新详情,周边配套,一房一价,最新进展等详情咨询)楼盘详情丨价格丨更多优惠丨机不可失丨欢迎致电丨诚邀品鉴!售楼处位置丨特价房丨工抵房丨剩余房源丨户型图丨最新消息丨免责声明:将文章内容综合来源于网络、只作分享,版权归原作者所有!!如有侵权,请联系我们,我们第一时间处理如有问题欢迎来电咨询,专业一对一热情服务,让您用专业眼光去买房。如果您想了解更多楼盘详情,欢迎提前预约拨打深嘉上府售楼处电话400-887-8824
声明:本文由入驻焦点开放平台的作者撰写,除焦点官方账号外,观点仅代表作者本人,不代表焦点立场。
