灿耀星城(上海虹桥灿耀星城)2025首页网站-户型图/价格/户型/容积率/交房时间

淮南楼市观察 2025-06-16 09:32:40
用手机看
扫描到手机,新闻随时看

扫一扫,用手机看文章
更加方便分享给朋友

灿耀星城售楼处电话:400-998-9694,欢迎来电咨询购房优惠。

灿耀星城

售楼处电话:400-998-9694

如有问题欢迎来电咨询,来电即可享受买房优惠!

预约来电尊享购房优惠,可预约案场内部销售人员,专业一对一热情服务,让您用专业眼光去买房。

楼盘项目全面介绍,本电话为开发商提供线上售楼处电话,楼盘项目全面介绍(包含楼盘简介,楼盘积分,房价,价格,楼盘地址,户型图,交通规划,备案价,项目配套,楼盘详情,售楼处电话,最新消息,最新详情,周边配套,最新进展等详情咨询)

灿耀星城售楼处电话:400-998-9694

灿耀星城

售楼处电话:400-998-9694

大虹桥徐泾全新盘

建面约72-88㎡2-3房

不积分 不限售 精装修交付

均价6.3万/㎡ 总价约420万起

灿耀星城售楼处电话:400-998-9694

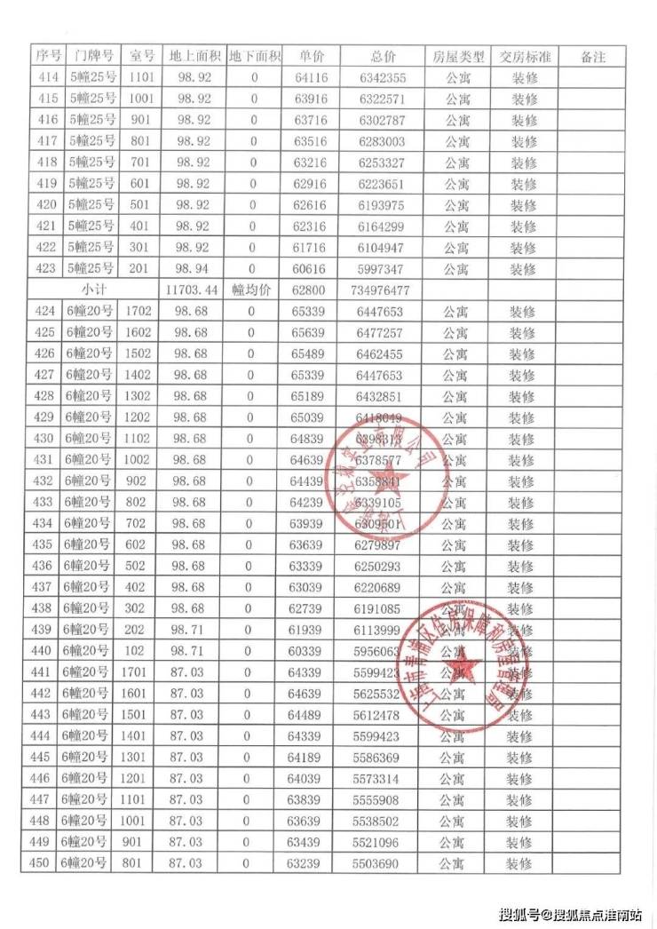
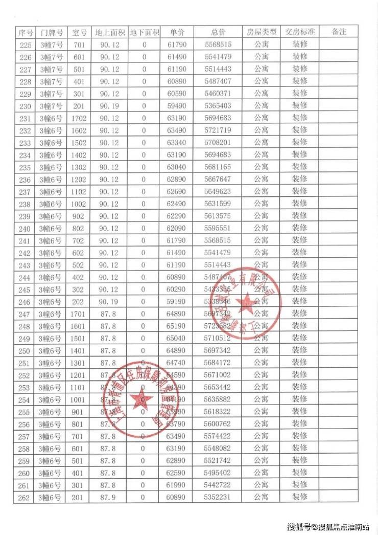
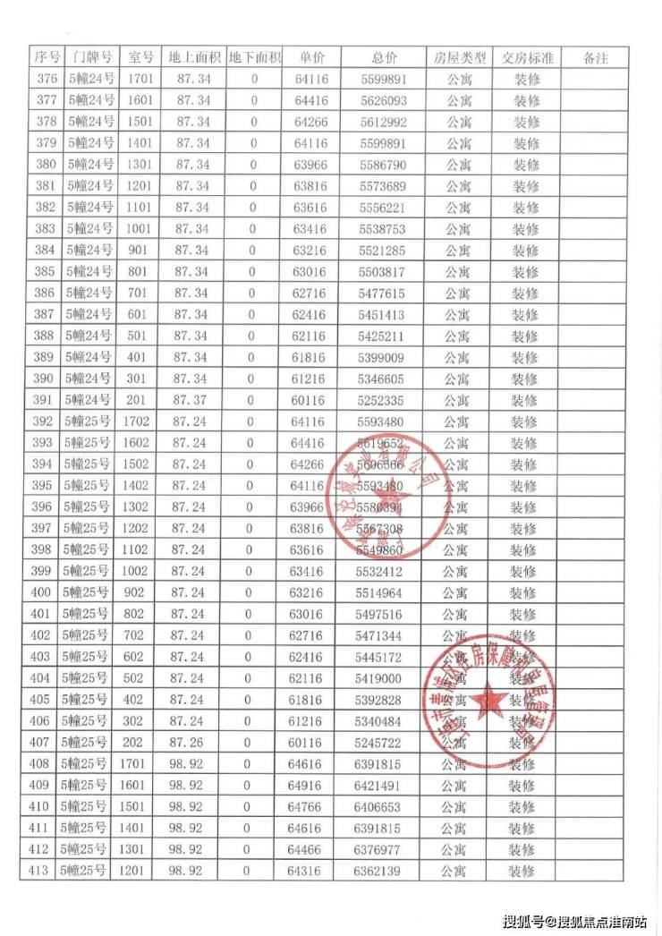
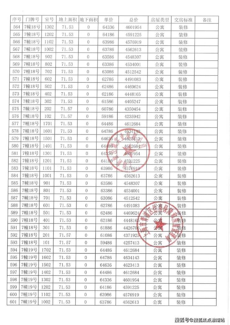
三期住宅基本信息

物业类型:高层住宅

建筑楼层:17层

推售套数:627套

得房率:约74%-78%

建筑层高:约3.15米

梯户比:两梯四户

交付标准:精装修交付,全部采用知名品牌

公共区域+卧室:日立中央空调、德国威能热水器、全屋地暖、新风系统,博世智能门锁,入户玄关柜、实木复合地板、low-E三玻两腔内置百叶窗

厨房:老板油烟机、灶台、洗碗机,海德泰克净水器,松下凉霸,厨柜组合

卫生间:TOTO智能马桶(卫洗丽)、toto台盆、高仪龙头花洒,松下暖风机,摩恩小五金,镜柜组合

阳台:电动晾衣架

所有装修品牌最终以预售合同为准!

交房时间:2024年

车位比:约1:1

小区采用人车分流设计

开发商:上海新徐泾城实业有限公司

物业:灿俊星城物业有限公司

物业费:4.05元/平/月

容积率:2.3

绿化率:35%

灿耀星城售楼处电话:400-998-9694

灿耀星城售楼处电话:400-998-9694

项目外立面是现代简约风格, 采用三段式经典格局,让整个建筑立面透出明快简洁、但又富有朝气,打造的是高质轻奢社区。

项目效果图

灿耀星城售楼处电话:400-998-9694

灿耀星城售楼处电话:400-998-9694 项目效果图

社区方面景观方面,项目以现代手法结合传统精髓的创新设计与纯净的星空相互融合, 将建筑、文化、艺术与景观完美交融。筑造出星阙、星荟、星野、星际、星云、星河六大盛境,营造中央景观 “景阔似海、品如繁星”的高品质人居环境。

项目还是智能化社区,场地内增加 usb、驱蚊灯;在休闲区和儿童玩乐区会设置户外 WIFI、天使之眼、户外可移动伞座、可视对讲系统、24小时安防系统、一键呼叫等。

项目效果图

灿耀星城售楼处电话:400-998-9694 户型图及样板间赏析

项目主推建面约72-137平2-3房,建面约72平2房、建面约88平3房、建面约98平3房。项目此次加推的小户型确实难得,预算有限的刚需客也可以低总价上车大虹桥。

A户型 建面约99㎡三室两厅两卫▼

灿耀星城售楼处电话:400-998-9694

B户型 建面约72㎡两室两厅一卫▼

· 约72㎡户型:大虹桥非常臻稀的小户型,总价仅约422万起,不仅是优秀的自住过渡产品, 更是低总价撬动大未来的资产配置利器!

C户型 建面约89㎡三室两厅一卫▼

E户型 建面约89㎡三室两厅一卫▼

灿耀星城售楼处电话:400-998-9694

· 约89㎡户型:大虹桥范围不到90㎡的户型大部分都只做到2房,灿耀星城该面积段实现 3房功能性,让自住客户一步到位,也让该产品进入二手市场后具备降维打击的优势!

A户型 建面约99㎡3室两厅两卫▼

· 约99㎡户型:格局上实现 南北通透+三开间朝南,采光通风效果上佳。主卧套房设计,自带卫生间,舒适度颇高!适配对品质有要求或者首改客户!

D户型 建面约137㎡3+1室两厅两卫▼

灿耀星城售楼处电话:400-998-9694

· 约137㎡户型:格局上做到了三开间朝南+南北通透,大尺度的奢阔横厅设计串联南向观景大阳台,整个公区的视野无比通透;主卧套房,保证了业主的尊崇感和私密性!

装修标准:室内三大件(地暖、新风、日立中央空调)厨房三大件(末端净水、老板洗碗机、油烟机)电动晾衣架,ToTo智能马桶等。

样板间照片如下:

灿耀星城售楼处电话:400-998-9694

灿耀星城售楼处电话:400-998-9694

项目区位配套

【灿耀星城】位于虹桥中央商务区西虹桥片区徐泾正芯,总体量约55万方,以大城之势,汇聚品质住宅、活力商业、星级酒店、现代办公、幼儿园、养老院等多种业态,并以城市基建、生态建设、多元业态、产业集群、人居革新,五位一体擎动城市更繁华,赋能城市焕新升级。

灿耀星城售楼处电话:400-998-9694

立体交通网,速达全城

自驾:三横三纵的立体式道路交通网络(三横为崧泽大道、沪青平公路、沪渝高速,三纵为沈海高速、嘉闵高架、外环高速),自驾可速至市中心和各大核心商圈

轨交:距离2号线潘祥路站(规划中)约1.5公里,距离17号线蟠龙路站约2公里,门口有多条公交直达

公交:沪青平公路明珠路站,有多条公交线路直达17号线蟠龙路站、2号线徐泾东站

灿耀星城售楼处电话:400-998-9694 多元商业,拥抱人间烟火

成熟的现代商业集群:虹桥食尚天地、希尔顿酒店等与项目仅一路之隔,距离项目1.5KM范围内,还有夏都小镇、永业购物中心等

充满烟火气的老牌街区:京华路、盈港东路,汇聚人气美食、精品老店等

未来可期的全新商业:自带约9万方商办,近享缤纷生活

高端医疗汇聚,为健康护航:周边汇聚远大健康城(一期上海医大医院为三级非营利性综合医院,已运营)、上海德达医院、复旦大学附属华山医院(西院)、上海新虹桥国际医学中心以及徐泾卫生服务中心等。

家门口的公园,休闲打卡胜地:约4.6万方时光公园,将重新改造、统一风格,以后将成为徐泾的绿色地标、打卡胜地。

灿耀星城售楼处电话:400-998-9694

地段选择

1. 交通便利性

地段的好坏不仅影响着居住舒适度,更直接关系到未来的投资回报。购房者应该充分考虑交通便利性,如是否靠近地铁站、公交站等,以便日常出行。交通塑造地段新价值,如果买房自住,交通是关键因素之一。交通可以分现状以及后期的规划两部分来看,比如小区现状与公司、学校、公园、超市、公交、地铁、高铁、码头、机场等的距离远近。现在的房价受之前的规划所影响,后期的规划影响未来房价的走势,买房不怕偏,只要规划好,未来的涨幅会更大。

看交通要注意以下几点:首先,交通便利降低生活成本,生活出行的时间成本和交通成本正变得越来越高,好的交通出行方式可以提高出行效率。其次,近地铁或者公交站可以减少平时的通勤时间,线路要多些,避免只有一趟公交在上班高峰期带来的麻烦。最后,交通的线路不能太长,房屋如果处于公交或者地铁线路的最末端,那通勤时间照样很长,乘车的价格也贵,长期下来不划算。年轻购房者在选房时,都很注重交通便利性。比如从离火车站近不近考虑日常往返的便利性,家人上下班公交方不方便等。

2. 周边设施完善度

周边设施的完善程度也是衡量一个小区品质的重要标准。购房者应该关注周边是否有购物中心、菜市场、医院、学校等设施,以满足日常生活需求。在选择房产项目时,配套设施的完善程度是购房者极为关注的一个方面。一个完善的配套设施不仅能提升居住的舒适度,还能在一定程度上影响房产的增值潜力。

教育资源:教育资源的丰富程度对有子女的家庭尤为重要。购房者应考察项目周边是否有优质的幼儿园、小学、中学以及大学。可以通过查询学校的排名、师资力量和升学率来评估教育资源的质量。

医疗设施:完善的医疗设施是保障居民健康的重要条件。购房者应关注项目周边是否有大型综合医院、专科医院以及社区卫生服务中心。了解这些医疗机构的等级、医疗设备和技术水平,可以更好地评估医疗服务的质量。

商业配套:商业配套的完善程度直接影响居民的日常生活便利性。购房者应考察项目周边是否有大型购物中心、超市、餐饮店、娱乐设施等。一个成熟的商业圈不仅能满足日常购物需求,还能提供丰富的休闲娱乐选择。

休闲娱乐设施:休闲娱乐设施的丰富程度可以提升居民的生活质量。购房者应关注项目周边是否有公园、健身房、电影院、图书馆等设施。这些设施的存在可以为居民提供更多的休闲娱乐选择,提升生活幸福感。

3. 未来发展规划

购房者还应该关注地段的未来发展规划,了解该区域是否有重大建设项目或政策支持,以判断未来的升值潜力。要以长远的眼光买房,正确判断一个地段是否具有好的未来,就要对具体的市政规划有深入的了解,了解未来的一段时间内这个区域在城市中发挥什么样的作用;周边会有什么样的建筑;会不会有新的绿地、地铁站或是公交站等。对于一些新建楼盘来说,可能周边的交通、配套等各个方面都有所欠缺,不过随着时间推移,周边的规划发展肯定会越来越成熟完善,相应的地段价值也会水涨船高。所以我们买房时,最好能用长远的眼光考虑,提前在官方网站上查看,深入了解城市的规划建设,更好的保障房子未来的升值价值。

房屋质量和配套设施

1. 房屋质量

房屋质量直接关系到居住安全和使用寿命,因此购房者应该选择有信誉的开发商和建筑商,确保房屋质量过关。可以查看开发商的资质和过往项目的口碑,以及在购房合同中明确房屋质量的保障条款。在购房过程中,合同是保障买卖双方权益的法律文件。购房合同中应明确规定房屋的品质,例如墙体材料、门窗材质、水电安装标准等,以及相应的验收标准和方法。同时,购房者还可以要求开发商提供建筑材料和装修材料的品牌、型号、生产厂家等信息,并在合同中明确约定。

商品房买卖合同中的质量保证条款通常包括房屋的基本质量标准,如结构安全、防水、防火、隔音等;主要建筑构件质量保证,如墙体、地板、屋顶等的质量保证期限和标准;设备设施质量保证,如电路、水暖、空调等的质量保证期限和标准;使用功能质量保证,如采光、通风、采暖等的质量保证期限和标准;环境保护质量保证,如噪音、污染等的质量保证期限和标准;质量保证责任,包括维修、更换、赔偿等措施;质量保证期限,一般为一定年限等内容。

2. 配套设施

配套设施的完善程度也是衡量一个小区品质的重要标准。购房者应该关注小区绿化、物业服务、停车位等方面的情况。例如,小区绿化好可以提供舒适的居住环境,物业服务好可以提高生活品质,停车位充足可以方便停车。

小区绿化:绿化率高的小区有诸多好处。首先,丰富小区景观,小区内树木花草较多,业主能看到满眼绿色,心情变好,同时这些种植植物的地方也是居民的交往空间和活动场所,能增进邻里感情。其次,使小区显得更高档,绿地分布多是居住质量好的重要标志,建筑面积低,用户舒适度高,小区更显高档,价格也会偏高,给人 “此小区比较高档” 的认知。再者,有利于居民健康,绿色植物能通过光合作用净化空气,让居民享受绿色健康生活。

物业服务:好的物业公司是提升房产保值增值和生活品质的重要力量。物业公司服务内容多样化,涵盖环境卫生、安保、维修和增值服务等。在选择物业公司时,业主需要综合考虑多方面因素,如物业公司的资质和经验、业主的口碑和评价、服务费用的合理性等。

市场行情和价格走势

1. 了解市场动态

房价的波动受到众多因素的影响,其中政策调控、经济环境以及供求关系起着关键作用。对于购房者而言,时刻关注市场动态至关重要,这有助于他们准确把握当前房价水平以及未来的发展趋势,从而避免在房价的起伏中遭受不必要的损失。了解市场行情的途径有很多,比如关注房地产媒体,这些媒体通常会及时报道房地产市场的最新动态、政策变化以及房价走势等信息,为购房者提供全面的市场分析和专业的购房建议。此外,咨询专业人士也是一个不错的选择,专业的房产经纪人、经济学家等对房地产市场有着深入的了解和研究,他们能够根据购房者的具体情况,提供个性化的市场分析和购房策略。

2. 避免盲目跟风

在买房过程中,购房者切不可盲目跟风。买房是一项重大的决策,应该根据自己的实际需求和经济实力来做出选择。不要仅仅因为别人买房自己就跟着买,也不能因为房价上涨就陷入恐慌性购房。每个人的购房需求都是独特的,有的人是为了自住,有的人是为了投资,还有的人是为了改善居住条件。因此,在购房之前,购房者应该认真思考自己的购房目的,明确自己的需求和预算。同时,购房者还应该对自己的经济实力有一个清晰的认识,包括收入、储蓄、负债等情况。只有在充分考虑自己的实际情况的基础上,才能做出明智的购房决策。

认真阅读合同条款

购房合同是保障购房者权益的重要文件,购房者应该认真阅读合同条款,了解自己的权利和义务。特别是关于房屋面积、价格、交付时间、违约责任等条款,要仔细核对,确保自己的权益得到保障。

购房者在签订购房合同的时候,一定要仔细查看房屋建筑面积、套内面积、公共部分和公摊面积等内容。交房时可找专业人员测量室内实际面积,正常来说误差比不能超过正负 3%,一旦超出这个数值可以退房。同时,要明确开发商具体信息,可网上查一下开发商的房企信誉或者企业资质证书这类的证件,避免 “挂羊头卖狗肉” 的情况发生。此外,还要注意交房日期、付款期限、违约处理方法等条款,尤其是定金和订金的区别,定金不能退还,开发商接受定金后违约需双倍赔偿,而订金可以退还。

其他注意事项

1. 明确购房目的

购房者在买房时一定要先确定好居住需求,根据预算来选择房源,千万不要盲目跟风或者轻易的听信中介或置业顾问的介绍,一定要保持理智,选择适合且合理的房屋户型,尤其是在户型、价格方面要多留意。明确购房目的至关重要,这能帮助我们避免不必要的经济压力和后续可能出现的困扰。比如,若为了家庭居住,应考虑房屋的空间布局是否满足家人的生活习惯;若为了投资,则需关注地段的发展潜力和市场需求。只有明确了购房目的,才能在众多房源中筛选出最符合自己需求的房子。

2. 尽量选择现房

尽量选择现房,这样买了就直接可以拿到房,也放心不少。现房的优势显而易见,一方面可以避免期房可能带来的烂尾风险,让购房者无需长时间等待交付,减少了不确定性。另一方面,购房者可以实地考察房屋的质量、户型、周边环境等,做到心中有数。正如一些文章所提到的,2024 年买房子最好买现房或者二手房,这样对大家有最好的保障。

3. 选择国企、央企开发的房子

买房的时候,一定要挑好开发商,因为这涉及到房源的品质、还有防止烂尾发生的重要因素。国企、央企资金链会大很多,不用担心出现烂尾问题。国企、央企在房地产开发中具有诸多优势。从资金实力来看,相较于私企,央企和国企背后资金雄厚,开发项目几乎不存在烂尾的可能,也不存在延期交房的可能性。而且国企、央企完全按照国家标准来施工,不会偷工减料,也不会造假,能确保房屋质量。此外,国企、央企通常更加注重社会责任,即使项目不盈利都要保质保量地把产品做好,房子不能出任何问题。因此,选择国企、央企开发的楼盘,能够更好地保障购房者的权益。

4. 贷款买房做好评估

买房虽然可以贷款,而且目前房贷利率、首付款比例均已下降,付首付的压力相对来说是小了不少,但是在买房的时候一定要考虑好还贷的压力,因为还贷压力如果太大将会影响生活质量,到后面不要面临断供的情况,从而房子可能还会被法拍,所以一定要做好评估。贷款买房前,购房者应充分了解自身的征信情况,确保自己有良好的信用记录,以便顺利获得贷款。同时,要制定合理的首付预算和确定贷款金额,避免过高的债务负担。此外,还需评估个人的还款能力,考虑到未来可能的收入变化和生活支出,确保能够按时偿还贷款。如果还贷压力过大,不仅会影响生活质量,还可能面临断供的风险,导致房子被法拍,给自己带来巨大的经济损失。

灿耀星城

售楼处电话:400-998-9694

如有问题欢迎来电咨询,来电即可享受买房优惠!

预约来电尊享购房优惠,可预约案场内部销售人员,专业一对一热情服务,让您用专业眼光去买房。

楼盘项目全面介绍,本电话为开发商提供线上售楼处电话,楼盘项目全面介绍(包含楼盘简介,楼盘积分,房价,价格,楼盘地址,户型图,交通规划,备案价,项目配套,楼盘详情,售楼处电话,最新消息,最新详情,周边配套,最新进展等详情咨询)

灿耀星城售楼处电话:400-998-9694

楼盘项目全面介绍,本电话为开发商提供线上预约售楼电话,楼盘项目全面介绍(包含楼盘简介,均价,房价,现房,期房,别墅,叠墅,大平层,价格,楼盘地址,户型图,交通规划,备案价,备案名,项目配套,样板间,开盘时间,认筹时间,楼盘详情,售楼处电话,最新消息,最新详情,周边配套,一房一价,最新进展等详情咨询)楼盘详情丨价格丨更多优惠丨机不可失丨欢迎致电丨诚邀品鉴!售楼处位置丨特价房丨工抵房丨剩余房源丨户型图丨最新消息丨免责声明:将文章内容综合来源于网络、只作分享,版权归原作者所有!!如有侵权,请联系我们,我们第一时间处理如有问题欢迎来电咨询,专业一对一热情服务,让您用专业眼光去买房。如果您想了解更多楼盘详情,欢迎提前预约拨打

声明:本文由入驻焦点开放平台的作者撰写,除焦点官方账号外,观点仅代表作者本人,不代表焦点立场。