中建熙和云庭售楼处电话☎:400-998-9694✔✔中建熙和云庭售楼处电话☎:400-998-9694✔✔中建熙和云庭位于昆山城东核芯,距离苏州轨交11号线鱼池泾站约800米,周边有中环东线、前进东路、震川东路等城市主干道,交通便利。
中建熙和云庭
售楼处电话☎:400-998-9694✔✔
如有问题欢迎来电咨询,来电即可享受买房优惠!
预约来电尊享购房优惠,可预约案场内部销售人员,专业一对一热情服务,让您用专业眼光去买房。
楼盘项目全面介绍,本电话为开发商提供线上售楼处电话,楼盘项目全面介绍(包含楼盘简介,楼盘积分,房价,价格,楼盘地址,户型图,交通规划,备案价,项目配套,楼盘详情,售楼处电话,最新消息,最新详情,周边配套,最新进展等详情咨询)
中建熙和云庭售楼处电话☎:400-998-9694✔✔
主轴之上!超越居住想象
集萃一城繁华,构筑城芯生活
户型面积:约133㎡、152㎡、179㎡
预计均价:2.2w
容积率:2.0
绿化率:35.1%
装修配置:精装修
车位配比:1:1.92
交付时间:预计2025.12月
交付标准:精装修(带三大件)
总车位:1260户
物业费:约3.33/元/㎡
物业:中建物业
锦鸣雅居的真正魅力,绝不只是仰仗于品牌优势,更多是他对地段的精准拿捏。对于买房人来说,真正的好地段,一句话概括就是“既要、又要、还要”。
既要有足够的人文底蕴和生活烟火气;
又要有生态宜居的湖湾公园;
还要有多元化的商业和国际化配套。
中建熙和云庭售楼处电话☎:400-998-9694✔✔
而锦鸣雅居正处于这样“既要、又要、还要”的改善圈内。位于昆山城东核芯位置,娄东路与吴淞江路交汇处,直径3公里范围内,几乎囊括了昆山大部分优质配套。

中建熙和云庭售楼处电话☎:400-998-9694✔✔
中建熙和云庭售楼处电话☎:400-998-9694✔✔
免责:本区位图仅概率表示位置关系,非比例制作
制作时间为2024年6月
这里有着城市快速路效应,距离苏州轨交11号线鱼池泾站约800米,周边中环东线、前进东路、震川东路等城市主干道环绕,为出行按下快捷键。
通过景王路直达金鹰国际中心,周边还有世茂广场、夏驾河商务区、奥特莱斯等知名商业体,美好生活画卷在这里展开。
家门口实现9年一站式教育,景王路一贯制学校(2024年交付)、苏大附中、震川高级中学、昆山狄邦华曜学校等,书香氤氲伴成长,浸染孩子生活日常。(学区以政府主管部门划分为准,开发商不做承诺)


中建熙和云庭售楼处电话☎:400-998-9694✔✔

配套图
这里也是散步的好去处,娄江、时代公园、夏驾河湿地公园都在附近,随时随地都可以来一场休闲放松之旅。
中建熙和云庭售楼处电话☎:400-998-9694✔✔
小区概况
楼盘方面,项目依旧主打建发最为擅长的中式园林风格,小区由12栋18层的高层组成,总共可售约780户。

中建熙和云庭售楼处电话☎:400-998-9694✔✔
项目真石漆外立面,得房率约78%,小区不完全人车分流,有20多个地面车位在小区外围。由于目前售楼处尚未建好,沙盘还是放在前期的云锦湾售楼处。


中建熙和云庭售楼处电话☎:400-998-9694✔✔
户型介绍
尤其是这些属于洋房的独特优势,让买房人欲罢不能:
一梯两户:为保证日常生活的私密性,锦鸣雅居一梯两户双开门电梯的设计,从此告别电梯的拥挤,无需忍受尴尬的对视和寒暄,使归家成为一种仪式。(双开门电梯仅限170、203户型)
充足采光:项目最高只有10层,意味着项目有着更好的亲地性,每一户业主都能推窗即享绿地美景,这是百米高空给不了的治愈。
得房率:不同于高层产品惊人的公摊面积,锦鸣雅居洋房的得房率超高,相同面积下,套内实用面积远高于高层,更多空间得以被充分利用。

中建熙和云庭售楼处电话☎:400-998-9694✔✔
景观效果图
很多人对这类产品真的缺乏抵抗力,毫不夸张地说,像这样的低密纯洋房社区,买到,即是人无我有,错过,或将成为一种遗憾!
全龄景观社区,为美好生活赋能
中建熙和云庭售楼处电话☎:400-998-9694✔✔
在景观设计之初,锦鸣雅居就对品质生活进行了深入思考,将静奢的品质感与舒适性融入其中,让业主即使身处城市核心位置,归家的那一刻能轻松放下压力。
你可以在阳光草坪上和宠物抛接飞盘,在运动健身区锻炼身体,和邻居来几局热血球赛。
孩子们可以在自然课堂,认识各种各样的植物,在玩耍中探索、学习;也可以在儿童聚场里追逐嬉闹,永远不会缺少玩伴。
对长辈来说,在林间步道闲庭信步,或是在森之客厅聊聊家长里短、下下象棋,生活不会孤寂无聊。
景观效果图
突破想象!宽境品质大四房
中建熙和云庭售楼处电话☎:400-998-9694✔✔
改善,并不是单纯的面积变大,也不是多个房间的简单堆砌,改善的本质需求是:大尺度,更高标准的生活方式。
锦鸣雅居的三款户型全都做到了大面宽,短进深,起步就是四开间朝南的格局,搭配南向双联阳台,颠覆传统尺度!并突破性采用飘窗与开间同宽,拥有更宽阔、开放的景观视野,套内实用面积也同步增加。
中建熙和云庭售楼处电话☎:400-998-9694✔✔
建面约143㎡,四室两厅两卫

中建熙和云庭售楼处电话☎:400-998-9694✔✔
这个户型堪称改善洋房进阶之作,视野方面做到了pro max版,南向4.5开间,约14.75米大尺度面宽,搭配约8.15米的双联景观阳台。开间约5米的朗阔客厅,独立客餐厅空间,无论是休闲、娱乐还是聊天会友,都给足了主人排面。
主卧套房设计,开间约3.6米,预留L形独立衣帽空间,完美解决衣物收纳需求。主卫全明设计,同时配备淋浴房和浴缸,独享天地,自成一界。
建面约170㎡,四室两厅三卫

中建熙和云庭售楼处电话☎:400-998-9694✔✔
中建熙和云庭售楼处电话☎:400-998-9694✔✔
私享入户空间,礼仪玄关,从归家开始就倍享尊崇。南向约16.3米面宽,约 9.1米跑道级双联阳台,南向采光简直无敌!U型开阔厨房,动线合理流畅,洗切炒烹一气呵成。
南向双套房设计,独立卫浴,三代同堂也可尊享私密空间;主卧开间约4.2米,预留L形独立衣帽间空间,主卫全明设计+双台盆+浴缸配置,享受从容生活。
建面约203㎡,四室两厅三卫

中建熙和云庭售楼处电话☎:400-998-9694✔✔
最为亮眼的当属5开间朝南的设计,南向约18.4米面宽,搭配约9.2米跑道级双联阳台,将尺度感放大到MAX,气场全开;约6㎡尊崇入户玄关,美观精致且兼具强大的收纳功能。
南北双阳台,尊享独立家政空间,从容享受生活,南向双套房,私密有界,豪华套房般的主卧,约4.4米的面宽,整体空间大气奢华,满配双台盆、预留衣帽区、浴缸淋浴,提升生活品质,享受奢雅生活。
中建熙和云庭售楼处电话☎:400-998-9694✔✔
项目位于宝山,是顾村大居北侧的开荒盘,目前周边的状态还是待开发。项目主打就打在“荒”字,因此适合一定情况的投资人群,或者预算较低,分数较低的打新刚需群体。
楼盘虽然目前步行至地铁站距离较远,但是南侧规划中的言观路一旦开通,实际距离将缩短至800多米。
建发特色的主打的中式园林风格之前在泗水和鸣有过介绍,比较两极化,有一定特有的粉丝群体为其着迷,也有一定粉丝表示不能接受。
项目周边都是空地而非厂区,未来开发难度较低,日后能否成为老顾村的2.0,乃至3.0版本目前不好说,但一定是有很大希望的。
如果你是一个对板块成熟度有一定需求的,可以前往美兰湖。但如果接受长期持有,不急于周边一定配套的,可以前往一看。
当然如果预算有限但是分数足够,依旧可以一等之后顾村的中铁建以及大华等位置更好的项目。
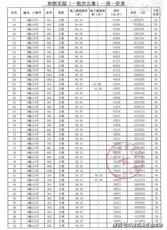
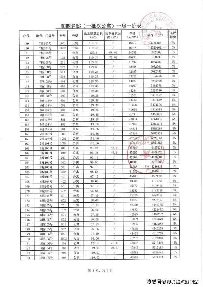
一房一价表如下:



1、什么是房产:房屋产权的简称。
2、什么是地产:是指土地财产。
3、什么是房地产:是房产和地产的总称。
4、什么是房地产业:从事房地产开发、建设、经营、管理以及维修、装饰和服务的综合性产业。
5、什么是房地产开发:是指在依法取得土地使用权的土地上按照使用性质的要求进行基础设施、房屋建筑的活动。
6、什么是土地开发:是将“生地”开发成可供使用的土地。
7、集体土地是指:农村集体所有的土地。
8、征用土地是指:国家为了公共利益的需要,可依照法律规定对集体所有的土地实行征用。
9、什么是土地所有权:是指国家或集体经济组织对国家土地和集体土地依法享有的占有、使用、收益和处分的权能。
10、什么是土地使用权的出让:指国家以协议、招标、拍卖的方式将土地所有权在一定年限内出让给土地使用者,由使用者向国家支付土地使用权出让金的行为。
11、什么是土地使用权转让:是指土地使用者通过出售、交换、赠与和继承的方式将土地使用权再转移的行为。
12、什么是地籍、产籍:是对在房地产调查登记过程产生的各种图表、证件等登记资料,经过整理、加工、分类而形成的图、档、卡、册等资料的总称。
13、生地是指:不具备开发条件的土地。
14、熟地是指:已完成三通一平(水、电、道路,土地平整)或七通一平,具备开发条件的土地。
15、什么是宗地:是地籍的最小单元,是指以权属界线组成的封闭地块。
16、什么是宗地图:是土地使用合同书附图及房地产登记卡附图。它反映一宗地的基本情况。包括:宗地权属界线、界址点位置、宗地内建筑位置与性质、与相邻宗地的关系等。
17、证书附图是指:房地产后面的附图,主要反映房地产情况及房地产所在宗地情况。
18、什么是物业管理:泛指一切有关房地产开发、经营、商品房销售、租赁及售后服务。
19、什么是业主委员会:是在物业管理区域内代表全体业主实施自治管理的组织。是代表
物业全体业主合法权益的社会团体,其合法权益受国家法律保护。
20、业主委员会是如何产生的:由业主大会从全体业主中选举产生。
21、住房补贴是指:国家为职工解决住房问题而给予的补贴资助。
22、房屋的所有权是指:对房屋全面支配的权利。
23、房地产交易的两种主要形式是:地产交易形式与房产交易形式。
24、建筑物是指:人工建造而成的房屋和构筑物。
25、构筑物是指:建筑物中除房屋以外的东西。
26、什么是期房:是指消费者在购买时不具备即买即可入住的商品房。
27、期房是如何介定的:房地产开发商拿到商品房预售许可证开始至取得房地产权证大产证或竣工验收合格可以直接入住使用)为止。
28、什么是预售合同:消费者在购买期房时签定的销售合同。
29、什么是现房:是指消费者在购买时具备即买即可入住的商品房,即开发商已办妥所售的商品房的大产证(或已经竣工验收合格并交付使用)的商品房。
30、什么是毛坯房:房地产商交付屋内只有门框没有门,墙面地面仅做基础处理而未做表面处理的房叫毛坯房。
31、什么是成品房:是指对墙面、天花、门套、地板实行装修。
32、什么是商品房:是指以完全的市场价格向购房者出售的房子。
33、商品房预售是指:在房地产尚未建成以前,房地产的经销商在取得受买人一定数量的定金后,将期房出售给受买人。
34、商品房现售是指:指房地产开发企业将竣工验收合格的商品房出售给买受人。
35、二手房通常指的是:再次进行买卖交易的住房。
36、经济适用房指的是:面向中低收入家庭的普通住宅。
37、例出3种以上的安居房的种类:准成本房、全成本房、全成本微利房和社会微利房。
38、低层住宅的介定:1-3层的住宅。
39、多层住宅的介定:4-6层的住宅。
40、小高层住宅的介定:7-11层的住宅。
41、中高层住宅的介定:12-16层的住宅。
42、高层住宅的介定:16层以上为高层住宅。
43、超高层建筑的介定:总高度超过100米的建筑。
44、商品房的结构是指:房屋主体所使用的施工工艺和用材。
45、钢结构的意思是:承重的主要结构是用钢材料建造的,包括悬索结构。
46、钢混结构的意思是:承重的主要结构是用钢和混凝上建造的。
47、砖木结构的意思是:承重的主要结构是用砖、木材建造的。
48、砖混结构的意思是:主要是砖墙承重,部分是钢盘混凝土承重的结构。
49、框架结构的意思是:以钢筋混凝土浇捣成承重梁柱,再用预制的隔墙分户的结构。
50、开间指的是:一间房屋内一面墙的定位轴线到另一面墙的定位轴线之间的实际距离。
51、进深指的是:一间独立的房屋或一幢居住建筑内从前墙的定位轴线到后墙的定位轴线之间的实际长度。
52、层高指的是:下层地板面或楼板面到上层楼层面之间的距离。
53、净高指的是:下层楼板上表面到上层楼板下表面之间的距离。
54、占地面积指的是:地块的总面积。
55、1亩约等于多少平方米:666.66㎡
56、居住小区总用地指的是什么用地的总和:住宅总用地,公共建筑设施总用地,道路、广场用地、庭院、绿化用地的总和。
57、住宅总用地是指:住宅用地面积的总和。
58、公建总用地是指:小区内部公共建筑占地面积的总和。
59、建筑用地面积的介定:建设用地位置和界线所围合的用地之水平投影面积。
60、建筑基底面积是指:建筑物首层的建筑面积。
61、建筑高度是指:建筑物室外地平面至外墙面顶部的总高度。
62、房屋的基底面积是指:房屋的基底面积是指建筑物底层勒脚以上外围水平投影面积。
63、道路面积是指:小区内宽度大于1.5米道路的面积总和。
64、广场面积是指:停车、回车广场和有铺砌地面的场地面积之和。
65、庭院、绿化面积是指:小区内集中绿化带、小公园,以及公共活动场所等为小区所有居住人员共同使用权的绿化面积的总和。
66、假山、小池算不算庭院、绿化面积:算。
67、人均总占地面积(㎡/人)的计算公式:人均总占地面积=建筑红线内总用地÷本小区规划居住总人数。
68、人均住宅用地面积(㎡/人)的计算公式:人均住宅用地面积=小区内总住宅用地÷本小区规划居住总人数。
69、总建筑面积是指:小区内住宅、公共建筑、人防地下室面积总和。
70、人防地下室算不算在总建筑面积之内:算
71、住宅建筑面积是指:住宅建筑外墙外围线测定的各层平面面积之和。
72、套建筑面积是指:一套房屋的整体面积。
73、套建筑面积的构成是:套内建筑面积和套分摊的公用建筑面积
74、幢(栋)是指:一座独立的,包括不同结构和不同层次的房屋。
75、架空房屋是指:一般为底层架空,以柱子作为承重支撑物的房屋。
76、夹层是指:位于两自然层之间的楼层,指房屋内部空间的局部层次。
77、技术层的意思是:用作水、电、暖、卫生等设备安装的局部层次。
78、技术层层高在多少以上计算层数:2.20米以上的计算层数。
79、结构转换层是指:建筑物某楼层的上部与下部因平面使用功能不同,该楼层上部与下部采用不同结构类型,并通过该楼层进行结构转换,则该楼层称为结构转换层。
80、跃层式住宅是指:一套住宅占两个楼层,由户内楼梯联系上下层,上下两层完全分隔。
中建熙和云庭
售楼处电话☎:400-998-9694✔✔
如有问题欢迎来电咨询,来电即可享受买房优惠!
预约来电尊享购房优惠,可预约案场内部销售人员,专业一对一热情服务,让您用专业眼光去买房。
楼盘项目全面介绍,本电话为开发商提供线上售楼处电话,楼盘项目全面介绍(包含楼盘简介,楼盘积分,房价,价格,楼盘地址,户型图,交通规划,备案价,项目配套,楼盘详情,售楼处电话,最新消息,最新详情,周边配套,最新进展等详情咨询)
中建熙和云庭售楼处电话☎:400-998-9694✔✔
楼盘项目全面介绍,本电话为开发商提供线上预约售楼电话,楼盘项目全面介绍(包含楼盘简介,均价,房价,现房,期房,别墅,叠墅,大平层,价格,楼盘地址,户型图,交通规划,备案价,备案名,项目配套,样板间,开盘时间,认筹时间,楼盘详情,售楼处电话,最新消息,最新详情,周边配套,一房一价,最新进展等详情咨询)楼盘详情丨价格丨更多优惠丨机不可失丨欢迎致电丨诚邀品鉴!售楼处位置丨特价房丨工抵房丨剩余房源丨户型图丨最新消息丨免责声明:将文章内容综合来源于网络、只作分享,版权归原作者所有!!如有侵权,请联系我们,我们第一时间处理如有问题欢迎来电咨询,专业一对一热情服务,让您用专业眼光去买房。如果您想了解更多楼盘详情,欢迎提前预约拨打