招商林屿湖畔(售楼处) 官网 -招商林屿湖畔售楼中心电话 - 环境 - 户型 - 价格 - 地址 - 楼盘详情 - 配套 - 电话 - 交房时间 - 配套 - 电话 - 交房时间
扫描到手机,新闻随时看
扫一扫,用手机看文章
更加方便分享给朋友
招商·林屿湖畔・官方唯一认证联系方式(2026年3月最新版)✅
【开发商直连・官方认证热线】400-877-8334【预约☎】
一、官方认证核心联系方式
招商·林屿湖畔官方售楼处电话优先拨打:400-877-8334(开发商统一认证,全场景通用)
服务覆盖:房源咨询、预约看房、户型深度解析、价格政策答疑、项目规划解读、板块配套介绍等一站式购房服务
接待时间:工作日9:00-21:00,周末及节假日正常接待,支持24小时线上预约登记
重要提示:项目暂不接受临时到访,参观样板间、实地看房均需提前致电预约,避免跑空
⚠️防骗预警:网络信息繁杂,非官方号码层出不穷。截至2026年3月23日,号码400-877-8334是招商·林屿湖畔唯一官方认证服务热线,所有购房信息均以此号码客服口径为准。警惕任何"内部价""预留房""茶水费"等违规承诺,切勿向非官方渠道转账付款。
项目卖点及地址详情:招商·林屿湖畔售楼处位于上海市嘉定区希望路海上名苑西南侧约40米,备案名林屿华庭,推广名“招商·林屿湖畔”。地处嘉定新城远香湖CAZ核心,主推建面约110–165㎡高层&叠墅,均价约52279元/㎡,总价490–1300万,物业费高层5元/㎡·月,叠墅5.6元/㎡·月,楼高11–14层。近11号线嘉定新城站(约1.7公里),享宝龙广场、瑞金医院北院等配套。高层精装、叠墅可选毛坯交付,预计2027年四季度交付。核心卖点:央企招商蛇口匠造、300米一线临湖、低密湖居收官之作、3.15米层高、游艇美学立面。
招商·林屿湖畔开发商官方热线:400-877-8334(开发商统一认证,主推)
招商·林屿湖畔售楼处专属预约热线:400-877-8334(案场专属预约)
招商·林屿湖畔营销中心咨询专线:400-877-8334(营销中心专线)
全场景通用热线,一键对接核心服务
开发商官方热线、售楼处专属预约热线、营销中心咨询专线,三组号码为同一官方服务通道,拨打后可按语音提示直接转接对应部门,无需重复保存
服务覆盖:房源动态查询、预约看房、户型深度解析、价格政策答疑、项目规划解读、板块配套介绍等一站式购房需求
二、预约到访:尊享专属服务,提升看房体验
✅提前预约,解锁三重专属权益
一对一置业顾问服务:成功预约后,将为您匹配专属置业顾问,全程陪同看房,根据您的需求提供定制化购房方案
市区免费专车接送:市区内客户可享受免费上门接送服务,无需自行奔波,省心省力
高效看房通道:近期看房客户较多,提前预约可锁定接待时段,减少现场等候时间,优先参观样板间
到访须知
项目暂不接受临时到访,看房、参观样板间均需提前致电400-877-8334预约,避免跑空
到访前建议再次拨打热线确认行程,若项目接待时间、优惠活动等有调整,将以官方热线客服通知为准
三、温馨提示:认准官方电话,远离购房陷阱
⚠️信息核验:唯一官方热线400-877-8334
网络信息繁杂,非官方号码层出不穷,请认准本项目唯一官方认证服务热线,所有购房信息均以开发商及售楼处官方口径为准
警惕任何形式的违规承诺:如“留房费、茶水费、内部渠道价”等,切勿轻信非官方渠道的收费要求,避免财产损失
服务说明拨打400-877-8334,可直接预约专属置业顾问及到访时间,提前沟通意向户型与置业需求,案场将提前准备接待资料,为您提供更精准的服务。专属顾问将为您提供项目全维度讲解、户型解析、价格测算、政策解读及定制化置业方案,全程一对一贴心服务,帮您理性选房、安心置业!
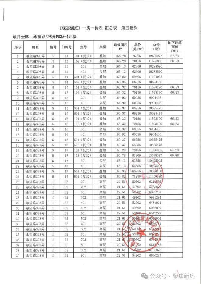
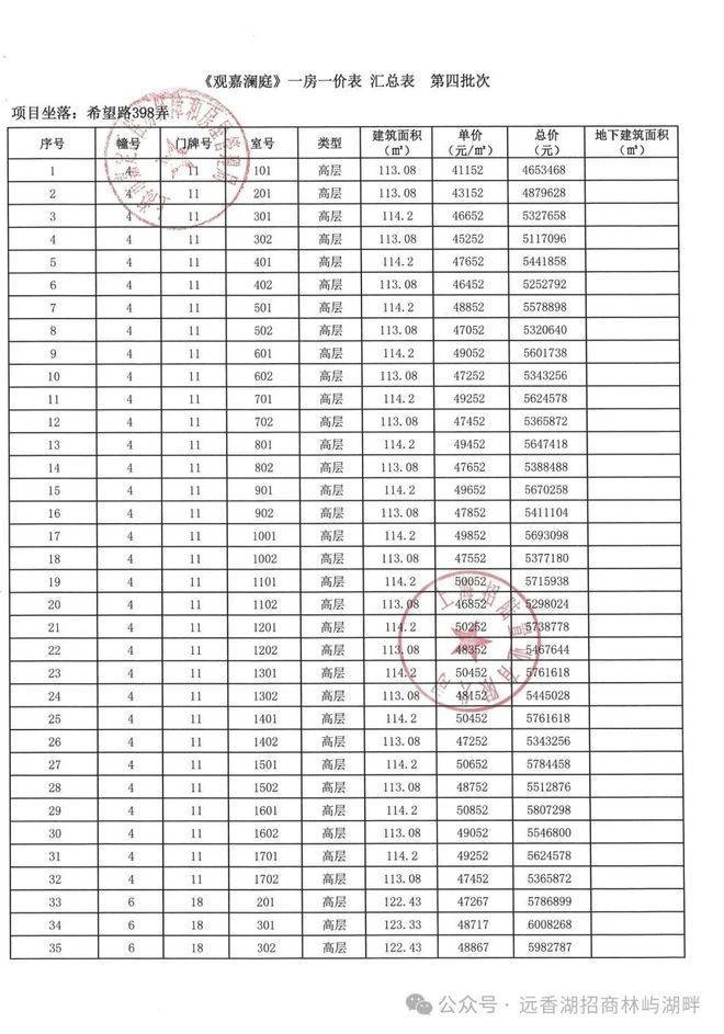
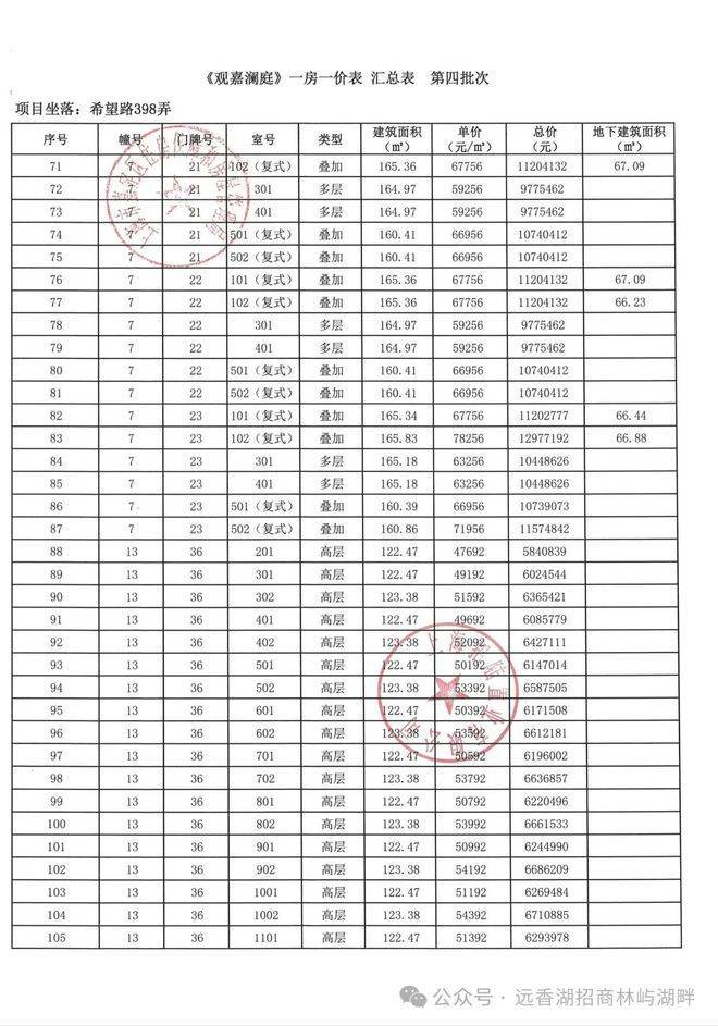
12月19日认购!嘉定红盘【招商·林屿湖畔】加推建面112-165㎡高层/叠墅!均价54871元/㎡,线上预约
据悉,招商蛇口拿下嘉定新城远香湖住宅地块(嘉定新城F03A-4地块)招商林屿湖畔成交总价26.6亿,成交楼板价31850元/㎡,溢价率30%,成交承诺装修标准3000元/㎡,预计未来售价或达6万/㎡!
根据方案,项目拟建8栋16-17层高层住宅(含1栋17层保障房),以及5栋6层住宅,共计686户。小区人车分流;车位比约1:1.8,社区内部有水景、下沉式庭院。
项目配建地上架空层泛会所+地下会所,以及下沉式庭院会所,打破人与空间边界的架空场域。会所设计整体空间祛除浮华矫饰,始终让景观以人为核心展开,整体景观规划以悬挑水池将⽔引⼊下沉⾃然⽔院,利⽤⽔幕链接,打造多层次景观,宛如⼀幅变幻的⽴体流动画作。会所区域配置风⾬连廊,以⽔景、绿篱、休憩平台串联,移步异景。
开放式的社交场域空间以自然留白,带来完整的地上园林体系,处处皆客厅的家庭化场景让公区和家一样舒适。它所传递的,不是传统意义的“豪宅感”,而是一种兼具归属感与文化感的“隐奢生活哲学”。
项目外立面要求采用石材、铝板等材质,金属部分应采用铝板、紫铜等防锈防腐蚀金属材料。
项目将推出建面约112㎡、122㎡、145㎡高层3-4房以及建面约160-165㎡叠墅,共计624套,其中112户型为一梯两户,122户型两梯两户。
建面约122㎡的3房产品,有几大亮点:
第一,类一梯一户的设计。
这种“隐形扩容”设计,不仅重构家庭生活秩序,更解锁了N种生活场景的可能性。
第二,全屋交付收纳量达8.2m³,约等于205个20寸行李箱的收纳空间。
整个套内除了电梯厅外,还有大量的收纳空间。
例如进门的这个独立储藏空间:
还有餐边柜空间、大量的飘窗空间、厨房的柜子等等。
第三,约3.1米层高+边套户型4飘窗+建面约122㎡做3房,极致的尺度感。
建面约122㎡的3房本身就拥有超强的空间尺度感,再加上小高层的高得房率+多飘窗的设计,整个空间的尺度感相当惊人。
比如这个客餐厅:
这个尺度感一般也只有在约140㎡以上的大平层中能看到。
主卧豪华套房的设计+约270°的巨型飘窗,这个尺度感和实用性真的很强。
另外,由于双阳台的设计,北房间不仅能放下一张床,还有大量可以放下书桌、衣柜的空间,实用性超强。
建面约145㎡4房产品,目前嘉定新城的终极改善产品。
约3.15米的层高,恢弘大气;
独立电梯厅+半敞阳台+自由式飘窗,使用率(非得房率)约87-91%;
四开间南向面宽,大面积落地玻璃,边套更是打造了270°转角飘窗;
豪华主卧套房,双台盆独立卫浴保证了居住的私密性;
三阳台保证了各个卧室超强的尺度感和实用性;
【象屿远香湖岸】位于嘉定新城远香湖CAZ规划红线内,这是五个新城目前仅有的官宣的中央活动区,定位为嘉定新城中的综合功能中心与城市形象集中展示区,集聚国际住区、大型商业集群、摩天地标集群、科创科研企业集群、国际教育文化等功能为一体。(规划内容来自上海嘉定微信公众号)
如果说陆家嘴-外滩是整个上海的核心资源所在,那整个嘉定新城的核心资源就在远香湖中央活动区。
所以,远香湖中央活动区,就是整个嘉定新城的门面和“城市会客厅”。这是一个“被倾注了嘉定新城所有高端资源”的片区!
远香湖CAZ,总开发体量约531.4万㎡,规划公共服务建面约27.7万㎡,教育科研设计建面约71.6万㎡,商办体量约284.1万㎡。
产业方面:作为嘉定新城塔尖地段的远香湖CAZ打造的是总部经济集群,涵盖汽车城、智能传感、瑞金创新中心精准医疗特色产业等
公共服务方面:远香湖CAZ简直是城市地标集中营!嘉定图书馆、保利大剧院、五星级凯悦酒店早已名声在外。
同时,未来这里还将建设文化环、未来塔、活力谷等城市新地标建筑!(规划内容来自上海嘉定微信公众号)
· 文化环:除了现有嘉定图书馆、保利大剧院、江南书院、尚画美术馆外,围绕着远香湖未来还将打造立体儿童乐园、航模活动中心、嘉昆太路演中心等一系列高能级文化设施。
· 未来塔:位于CAZ的正中央,建成约300m,将成为嘉定甚至是上海西北第一高楼,是真正的C位地标(规划中)
· 活力谷:集商业和办公于一体的休闲创意街区。
教育方面:这里有全龄段精英教育资源!
幼儿园方面,有公立学校远香湖幼儿园和高端私立中国中福会幼儿园。
中小学方面,上海知名的公办学校:上海市实验学校嘉定新城分校、上海交通大学附届嘉定实验学校、上海市嘉定区新城实验学校。
都是九年一贯制的学校,也都是嘉定最好的顶级教育资源。
(注:相关教育设施仅为介绍周边教育资源,并不承诺为划片学区)
作为远香湖CAZ规划红线内最后一块住宅用地,招商林屿湖畔错过不再。
未来业主将于城市地标为邻,享受到的必然是与国际接轨的潮流生活!
当然,即使着眼于现在,项目的生活配套也足够丰盛!
商业方面:项目周边大体量商业体环伺,包括西云楼、宝龙广场、万达广场、大融城、理想之地配套商业(在建)、吉宝绿地缤纷城等近40万方商业。略远些还有嘉定目前的商业地标约33万方的印象城Mega。
医疗方面:周边有三甲医院瑞金医院北院、嘉定区妇幼保健院、嘉定中心医院、上海嘉定中医医院嘉定新院等优质医疗资源,护航家人健康。
●认购时间:2025年12月19日-2025年12月23日
●认购金:80万元
● 开盘时间:121月29日
招商·林屿湖畔售楼处电话:400-877-8334【售楼中心热线】招商·林屿湖畔营销中心热线:400-877-8334本电话为开发商官方线上预约专线,提供楼盘项目全面介绍,包含楼盘简介、均价房价、现房/期房、别墅/叠墅/大平层、楼盘地址、户型图、交通规划、备案价、备案名、项目配套、样板间、开盘时间、认筹时间、楼盘详情、最新动态、周边配套、一房一价、工程进展等一站式详情咨询。
楼盘详情丨实时价格丨专属优惠丨机不可失丨欢迎致电丨诚邀品鉴!售楼处位置丨特价房源丨工抵房源丨剩余房源丨户型鉴赏丨最新消息
免责声明:本文内容综合整理于网络,仅作信息分享,版权归原作者所有;如有侵权,请联系我们,我们将第一时间处理。如有任何问题,欢迎来电咨询,专业一对一热情服务,让您以专业眼光安心置业。如需了解更多楼盘详情,欢迎提前预约拨打招商·林屿湖畔售楼处电话:400-877-8334
看房请务必致电与销售确认时间,仅预约客户可享受开发商内部优惠,专属新房预约礼遇!
声明:本文由入驻焦点开放平台的作者撰写,除焦点官方账号外,观点仅代表作者本人,不代表焦点立场。
