上海青浦灿耀星城首页网站-灿耀星城丨楼盘详情|2025灿耀星城/价格/户型
扫描到手机,新闻随时看
扫一扫,用手机看文章
更加方便分享给朋友
滚烫大虹桥 青浦徐泾约55万方星耀大盘「灿耀星城」三期清盘中建面约72-89㎡2-3房近现房 买房马上入住!开发商95折+送装修!过会均价:6.3万/㎡
上海青浦「灿耀星城」
售楼处电话:400-996-6224✔✔【预约热线】青浦徐泾灿耀星城售楼处电话:400-996-6224✔✔【预约热线】如有问题欢迎来电咨询,专业一对一热情服务,让您用专业眼光去买房。
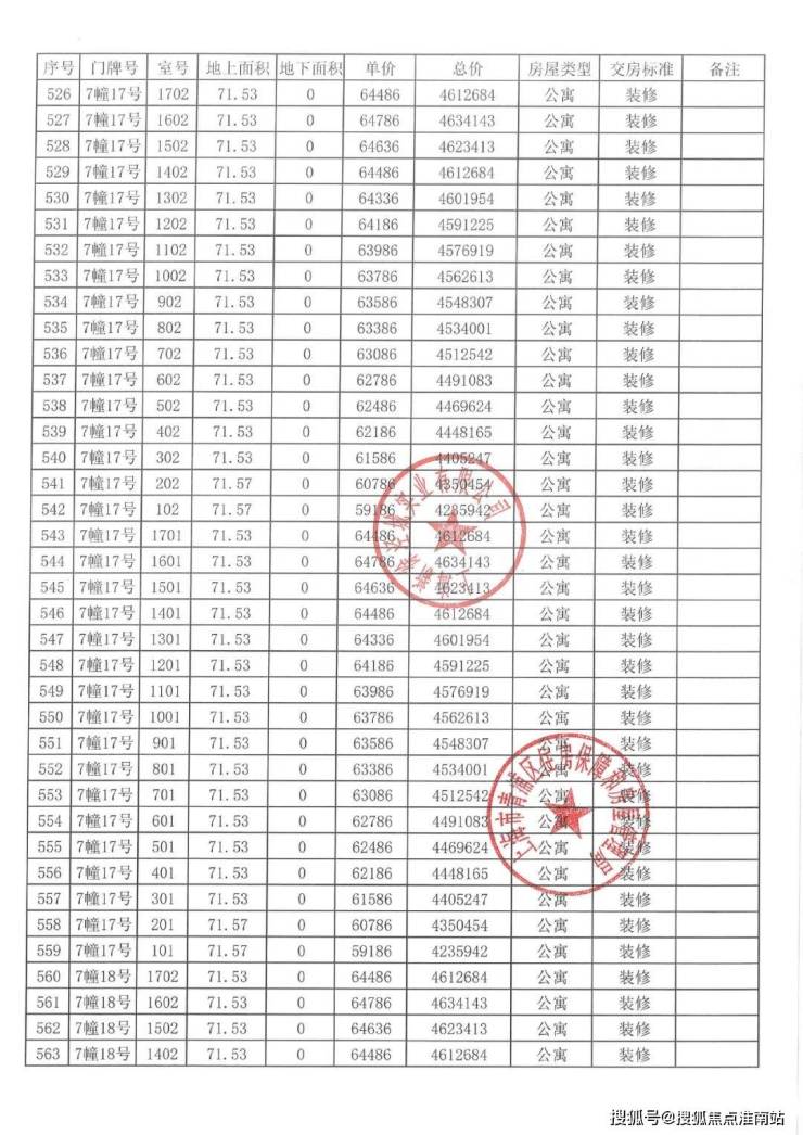
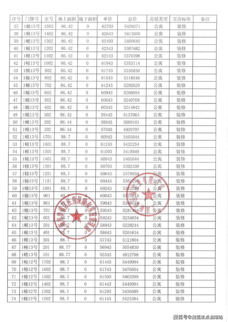
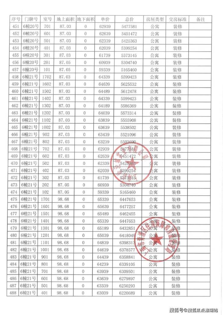
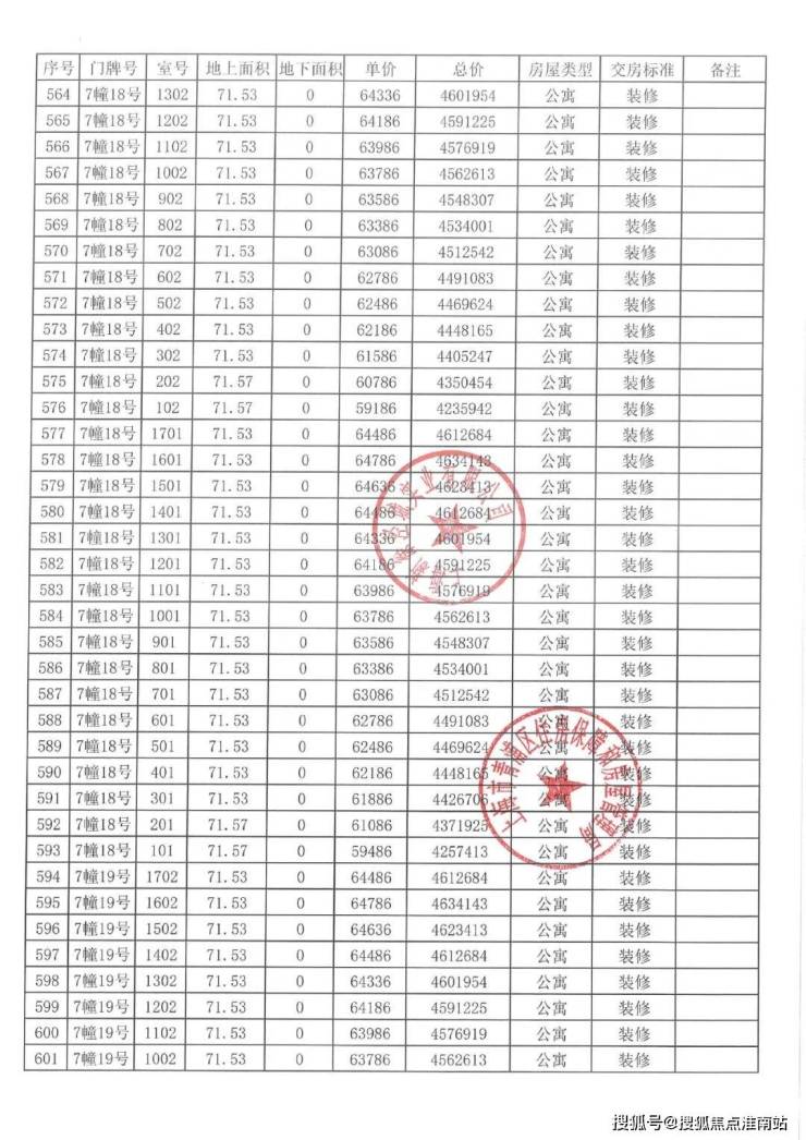
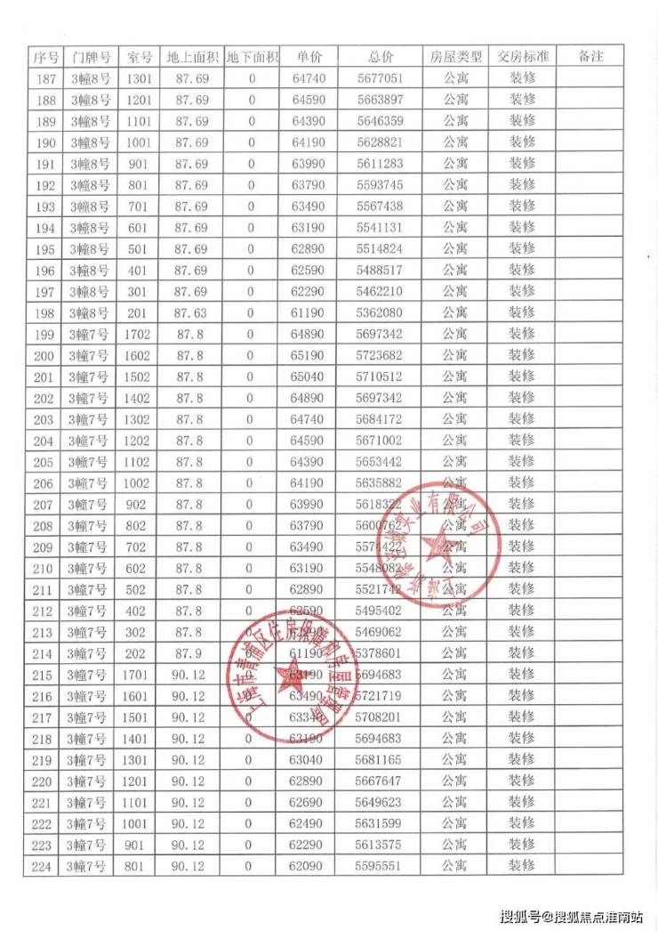
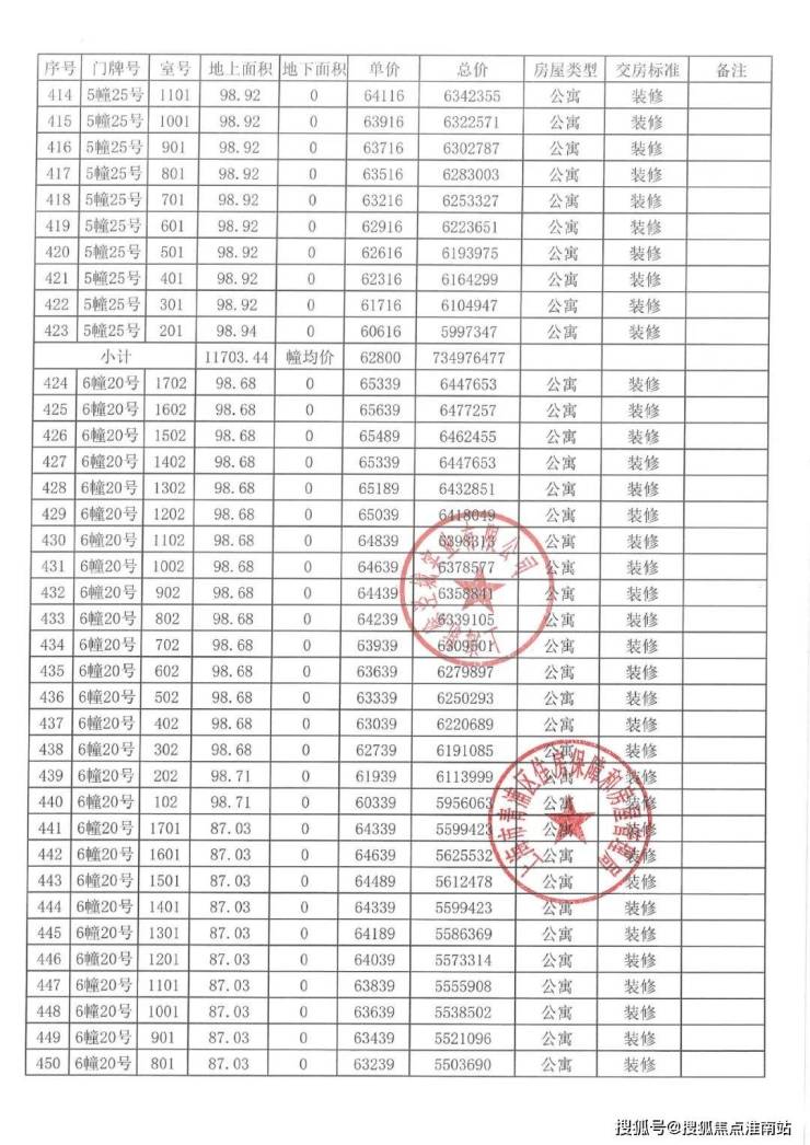
青浦徐泾灿耀星城售楼处电话:400-996-6224✔✔【预约热线】青浦徐泾灿耀星城售楼处电话:400-996-6224✔✔【预约热线】供应房源:627套总价约412万起准豪宅体验感3.15米敞亮层高
「灿耀星城」位于徐泾老镇区域,三期将推627套建面约70-130㎡的2-3房,其中70㎡的小户型项目是大虹桥所稀缺的,但是很大概率低分或不触发积分。从总价上看,「灿耀星城」约420w+就能上车大虹桥,确实非常诱人!但是从单价上看,在主城区内的蟠龙府和虹桥璀璨公馆房地联动价都是6万,而不在虹桥主城区内且最近轨交为1.5公里外的灿耀星城,去年就拿到了6.25万的“高”价

但其实,「灿耀星城」这样拿价有他的理由:灿耀星城城市更新项目,是《徐泾总体规划》中近期五个重要载体项目之一,即规划图中的城中村改造项目,也是徐泾镇第一个城市更新(城中村旧改)项目,同时也是上海首批35个试点“城中村”改造项目之一。青浦徐泾灿耀星城售楼处电话:400-996-6224✔✔【预约热线】青浦徐泾灿耀星城售楼处电话:400-996-6224✔✔【预约热线】作为旧改项目,在新房限价上本就有一定的浮动空间。

而且说不定「灿耀星城」拆着拆着就拆出一个明星楼盘呢。也许未来的某一天就会被人称作“青浦露香园”或是“虹桥外滩壹号院”了。当然这只是开个玩笑,但我们还是可以相信「灿耀星城」未来是有潜力的。
1 产品质量不容小觑
「灿耀星城」是俊发集团&灿辉国际&徐泾资产三大集团强强联合,合力打造的。项目三期位于沪青平公路以北,明珠路以东,北临河南临公园,景色宜人。
灿耀星城社区内部采用人车分流设计!项目立面为现代简约风格,采用三段式经典格局(石材、真石漆、铝板),明快简洁!
建筑错落排序,超大栋距,保证楼栋采光面和视野,而高窗墙比设计使得整个外立面看起来时尚大气,同时又大大提升了室内的采光面。
青浦徐泾灿耀星城售楼处电话:400-996-6224✔✔【预约热线】青浦徐泾灿耀星城售楼处电话:400-996-6224✔✔【预约热线】
梁志天设计团队,担纲室内设计。其代表作品包括深圳湾1号、香港天汇、浅水湾道56号、中粮海景壹号等项目。项目规划70-130㎡多种户型,匹配不同家庭居住需求。项目户型图抢鲜看!
(户型图仅供参考,以开发商最终公布为准)

约72㎡2房刚需上车户型,南北通透客餐厅连通,U型厨房的设计也是十分方便操作,入户可以自设入户玄关,大面宽朝南阳台也保证了采光。


约89㎡三房一样做到了3开间朝南,相比98㎡只是少了一个卫生间,U型厨房正对餐厅,朝南阳台保证了客厅的采光,3卧室都自带飘窗,功能性十足。
「灿耀星城」的装修标准同样可圈可点,公共区域+卧室采用了日立中央空调、全屋地暖、松下新风系统,博世智能门锁,入户玄关柜、实木复合地板、low-E三玻两腔内置百叶窗。


样板间实景图
青浦徐泾灿耀星城售楼处电话:400-996-6224✔✔【预约热线】青浦徐泾灿耀星城售楼处电话:400-996-6224✔✔【预约热线】卫生间采用了TOTO智能马桶(卫洗丽)、toto台盆、高仪龙头花洒,松下暖风机,摩恩小五金,镜柜组合。

样板间实景图
厨房采用了老板油烟机、灶台、洗碗机,海德泰克净水器,松下凉霸,厨柜组合。

样板间实景图
建面约89㎡三房




建面约99㎡三房




建面约137㎡三加一房




俊灿星城曾获得前期“日光”的佳绩,拥有超强产品力加持。超低能耗住宅,领衔大虹桥生态人居风尚。
青浦徐泾灿耀星城售楼处电话:400-996-6224✔✔【预约热线】青浦徐泾灿耀星城售楼处电话:400-996-6224✔✔【预约热线】青浦徐泾灿耀星城售楼处电话:400-996-6224✔✔【预约热线】
让生活更经济:领先的节能减排体系,让您每年节省空调供暖、照明、生活热水相关的电费和燃气费约30%-50%
让生活更静谧:全方位的降噪体系,营造更低分贝的安宁
让生活更舒适:多维控温控湿体系,仿佛给房子穿上羽绒服和冲锋衣,锁温效果提升约60%,拥抱冬暖夏凉的惬意,还可告别冬日窗子结露的烦恼
让生活更健康:新风系统带多重过滤防护,让您远离pm2.5,让每一口呼吸都自然清新

青浦徐泾灿耀星城售楼处电话:400-996-6224✔✔【预约热线】青浦徐泾灿耀星城售楼处电话:400-996-6224✔✔【预约热线】
社区园林由笛东执笔,打造[ 星阙 ] [ 星河 ] [ 星野 ][ 星际 ] [ 星云 ] [ 星荟 ]六大园林盛境,采用了围合式布局,打造中央核心景观轴线,焕新园境美学,让每一次归家都成为穿越风景的美好之旅。



社区智能化程度高,内部设置了驱蚊灯、户外 WIFI、可移动伞座、可视对讲系统、24小时安防系统、一键呼叫等智能系统。



项目效果图
项目生活体验馆实拍图:

2 醇熟配套&一应俱全
「灿耀星城」位于大虹桥板块徐泾核心,西虹桥板块的特色居住区,有着约55万方星耀大盘,自热能尊享各种醇熟配套!住宅、商业、办公、酒店、公园、学校等一应俱全!
24小时高能商业环绕
项目对面约400米就是虹桥食尚天地,约1公里处是大徐泾最老牌的人气永业购物中心,还有夏都小镇、希尔顿酒店等高端成熟项目及商圈。

实景图
青浦徐泾灿耀星城售楼处电话:400-996-6224✔✔【预约热线】青浦徐泾灿耀星城售楼处电话:400-996-6224✔✔【预约热线】周边 3 公里半径内在建的就有兰韵文化中心、百老汇剧场群和首位奥特莱斯等商办综合体。
距离上海第一家Costco超市约6公里,西侧约6公里处有青浦奥特莱斯商圈、合生新天地、山姆会员店等,满足家庭不同阶段的购物需求。
三横三纵快速通达全城
灿耀星城周边的交通出行非常便捷。三横三纵的立体交通网络可以方便直达中山公园、静安寺、人民广场、徐家汇等市区各个核心商圈!
三横是崧泽大道、沪青平公路、沪渝高速;
三纵为:嘉闵高架、沈海高速、外环高速。

轨交方面,距离17号线徐盈路站步行距离约3.5公里,距离2号线潘祥路站(建设中)约1.5公里,有公交车可直达站点。
高起点医疗资源
灿耀星城南侧约1.5公里,就是总投资达50亿的远大健康城(在建),这里将开设一所三级医院,一所二级国际性医院,预计2023年投入使用。
青浦徐泾灿耀星城售楼处电话:400-996-6224✔✔【预约热线】青浦徐泾灿耀星城售楼处电话:400-996-6224✔✔【预约热线】
还有距离项目约5公里的新虹桥国际医学中心,不仅包括华山医院、肿瘤医院、百汇医院等综合性专科医院,还有上海名医门诊、大视光中心等高端诊所。

远大健康城效果图
教育方面,附近有徐泾第一小学、徐泾中心小学、徐泾中学等。

徐泾第一小学
3 大虹桥板块依旧火热
其实大虹桥之所以热,莫过于“国家战略的出台”,而且近些年大虹桥的发展也是有目共睹的。
虽然未来的供应还很多,但大家也不必担心大虹桥楼盘过剩,毕竟大虹桥整个板块人口规划数量是在那里的(未来大虹桥主城区的常住人口将达43.4万人,预测就业人口70-75万人)。

图片源于网络
而且从物理位置上来说,即使不依靠“大虹桥”的规划,也能买个相对“靠近市中心”的地段,就徐泾本身来说,是个非常值得入手的板块。
青浦徐泾灿耀星城售楼处电话:400-996-6224✔✔【预约热线】青浦徐泾灿耀星城售楼处电话:400-996-6224✔✔【预约热线】
滚烫大虹桥 青浦徐泾
约55万方星耀大盘
「灿耀星城」热销中
建面约72-137㎡2-3房
过会均价:6.3万/㎡
供应房源:627套
总价约420万起
准豪宅体验感
3.15米敞亮层高
售楼处电话:4009966224【售楼中心热线】营销中心热线400-996-6224售楼处地址400-996-6224,楼盘项目全面介绍,本电话为开发商提供线上预约售楼电话,楼盘项目全面介绍(包含楼盘简介,均价,房价,现房,期房,别墅,叠墅,大平层,价格,楼盘地址,户型图,交通规划,备案价,备案名,项目配套,样板间,开盘时间,认筹时间,楼盘详情,售楼处电话,最新消息,最新详情,周边配套,一房一价,最新进展等详情咨询)楼盘详情丨价格丨更多优惠丨机不可失丨欢迎致电丨诚邀品鉴!售楼处位置丨特价房丨工抵房丨剩余房源丨户型图丨最新消息丨免责声明:将文章内容综合来源于网络、只作分享,版权归原作者所有!!如有侵权,请联系我们,我们第一时间处理如有问题欢迎来电咨询,专业一对一热情服务,让您用专业眼光去买房。如果您想了解更多楼盘详情,欢迎提前预约拨打万科中兴傲舍售楼处电话☎400-9966-224✔✔✔
1契税 先说说契税,这可是买房的头号“敌人”。
适用对象:买方(对,就是你)
税率:根据房屋面积和购房情况不同,税率也不一样:首套房,面积在90平方米以下:1%
首套房,面积超过90平方米:1.5%二套房:3%
计算公式:契税 = 房屋成交价 × 契税税率举个栗子:假如你买了一套100万元的房子,而且是首套房,面积在90平方米以下,那么契税是:
契税=100万元×1%
契税
网签那些事儿
在中国,买房要网签,就是去房管局备案。网签保证交易透明和安全,但也有人想着能不能在这儿动点小心思,比如低报成交价。这样能省点税钱,不过啊,万一被税务部门逮住了,那可是要补税罚款的,信用记录还会受影响。所以,咱们还是老老实实交税吧,别因小失大。
网签那些事儿
6.2增值税及附加税 接下来是增值税,这部分是卖家要交的。
适用对象:卖方
税率:房子买了不到2年:5.6%(含附加税);买了2年以上:免征。
计算公式:买了不到2年:增值税 = 房屋成交价 ÷ 1.05 × 5%
附加税 = 增值税 × 12%举个栗子:假如你卖的是一套100万元的房子,而且买了不到2年,那么增值税和附加税是:增值税=100万元÷1.05×5附加税=4.76万元×12总共得交:5.33万元
增值税及附加税
6.3个人所得税 这个税也是卖家要交的。
适用对象:卖方
税率:20%
计算公式:个人所得税 = (房屋成交价 - 房屋原值 - 相关费用) × 20%
举个栗子:假如你卖的房子成交价是100万元,原值是60万元,相关费用是5万元,那么个人所得税是:
个人所得税=(100万元−60万元−5万元)×20
其他费用
6.4其他费用 土地增值税
适用对象:卖方税率根据房屋购置年份和地段不同而不同。
印花税适用对象:买卖双方各0.05%计算公式:印花税 = 房屋成交价 × 0.05%
中介费一般按房屋成交价的2%~3%计算,由买卖双方协商承担。偷偷告诉你现在市场灵活中介费用也是可谈的哦。
买房的时候,各种税费加起来可不是小数目。契税、增值税、个人所得税这些都要好好考虑。记得提前了解政策,做好预算,别在交易的时候手忙脚乱。
希望这篇指南能帮你搞清楚买房时的税费问题,顺顺利利买到心仪的房子!记住,合法节税,诚实纳税,才能走得更远哦!
上海青浦「灿耀星城」
售楼处电话:400-996-6224✔✔【预约热线】青浦徐泾灿耀星城售楼处电话:400-996-6224✔✔【预约热线】如有问题欢迎来电咨询,专业一对一热情服务,让您用专业眼光去买房。
声明:本文由入驻焦点开放平台的作者撰写,除焦点官方账号外,观点仅代表作者本人,不代表焦点立场。
